Numerical Investigation of Periodic Fluctuations in Energy Efficiency in Centrifugal Pumps at Different Working Points
Abstract
:1. Introduction
2. Numerical Procedure
2.1. Pump Geometry and Design Parameters
2.2. Numerical Model and Sliding Technology
2.3. Transient Calculations
3. Numerical Data Processing and Validation
3.1. Regression Analysis
3.2. Curve Comparison after Normalization
3.3. Test Validation
4. Results and Discussion
4.1. Performance Curve Verification
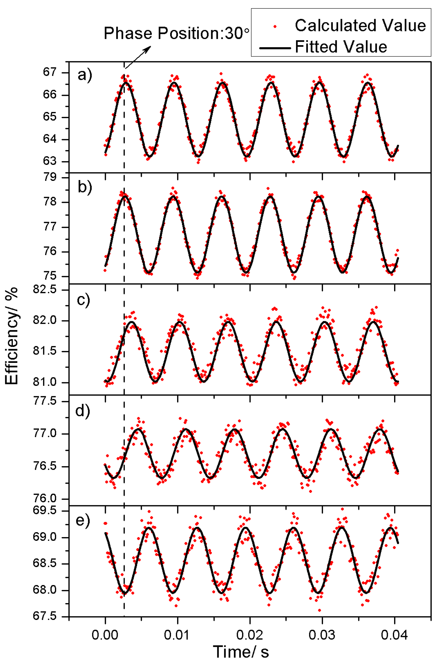
4.2. Periodic Fluctuation Behavior
4.3. Flow Structures Analysis
5. Conclusions
- (1)
- Centrifugal pumps show efficiency fluctuation with common dominant frequency equaling the blade passing frequency. However, the initial phase of the fluctuation curves is different for each working point.
- (2)
- The efficiency fluctuation level is significant, and its value varies for different working points. It is relatively higher for the part-load point, however high efficiency does not necessarily result in low efficiency fluctuation.
- (3)
- The efficiency fluctuation is caused by the impeller–volute interaction, and its effect is strong on the part-load condition. When the flow flux rises, its effect becomes less obvious and the level of efficiency fluctuation becomes relatively smaller.
- (4)
- Compared with the head, the torque acting on the impeller provides greater influence on the efficiency fluctuation.
Acknowledgments
Author Contributions
Conflicts of Interest
References
- Zhang, H.H.; Deng, S.X.; Qu, Y.J. High working efficiency of rapid custom design. World Pumps 2016, 3, 34–36. [Google Scholar] [CrossRef]
- Shah, S.R.; Jain, S.V.; Patel, R.N.; Lakhera, V.J. CFD for centrifugal pumps: A review of the state-of-the-art. Proc. Eng. 2013, 51, 715–720. [Google Scholar] [CrossRef]
- Lei, T.; Zhu, B.S.; Cao, S.L.; Wang, Y.C.; Wang, B.B. Influence of prewhirl regulation by inlet guide vanes on cavitation performance of a centrifugal pump. Energies 2014, 7, 1050–1065. [Google Scholar]
- Ding, H.; Visser, F.C.; Jiang, Y.; Furmanczyk, M. Demonstration and validation of a 3D CFD simulation tool predicting pump performance and cavitation for industrial applications. J. Fluids Eng. 2011, 133. [Google Scholar] [CrossRef]
- Kean, W.C.; Winoto, S.L.; Cheah, K.W. Numerical study of inlet and impeller flow structures in centrifugal pump at design and off-design points. Int. J. Fluid Mach. Syst. 2011, 4, 25–32. [Google Scholar]
- Sten, M.; Martin, G. Experimental and numerical investigation of centrifugal pumps with asymmetric inflow conditions. J. Therm. Sci. 2015, 24, 516–525. [Google Scholar]
- Wang, C.L.; Zeng, C.; Peng, X.Y.; Peng, H.B.; Liu, D. Numerical simulation of internal flow field and performance prediction of reversible double suction pump. J. Drain. Irrig. Mach. Eng. 2015, 33, 577–582. [Google Scholar]
- Shi, W.D.; Chen, K.Q.; Zhang, D.S.; Xing, J. Numerical optimization and regression analysis of forward-extended double-blade sewage pump. J. Huazhong Univ. Sci. Technol. 2015, 43, 49–63. [Google Scholar]
- González, J.; Fernández, J.; Blanco, E.; Santolaria, C. Numerical simulation of the dynamic effects due to impeller-volute interaction in a centrifugal pump. J. Fluids Eng. 2002, 124, 348–355. [Google Scholar] [CrossRef]
- Treutz, G. Numerische Simulation der instationären Strömung in einer Kreiselpumpe. Ph.D. Thesis, University of Damstadt, Damstadt, Germany, 2002. [Google Scholar]
- Guo, S.J.; Okamoto, H. An experimental study on the fluid forces induced by rotor-stator interaction in a centrifugal pump. Int. J. Rotating Mach. 2003, 9, 135–144. [Google Scholar] [CrossRef]
- Cheah, K.W.; Lee, T.S.; Winoto, S.H. Unsteady fluid flow study in a centrifugal pump by CFD Method. In Proceedings of the 7th Asean ANSYS Conference, Biopolos, Singapore, 30–31 October 2008.
- Lucius, A.; Brenner, G. Unsteady CFD simulations of a pump in part load conditions using scale-adaptive simulation. Int. J. Heat Fluid Flow 2010, 31, 1113–1118. [Google Scholar] [CrossRef]
- Huang, S.; Yang, F.X.; Guo, J. Numerical simulation of 3D unsteady flow in centrifugal pump by dynamic mesh technique. Proc. Eng. 2013, 61, 270–275. [Google Scholar]
- Dai, C.; Kong, F.Y.; Dong, L. Pressure fluctuation and its influencing factors in circulating water pump. J. Cent. South Univ. 2013, 20, 149–155. [Google Scholar] [CrossRef]
- Yuan, S.Q.; Zhou, J.J.; Yuan, J.P.; Zhang, J.F.; Xu, Y.P.; Li, T. Characteristic analysis of pressure fluctuation of unsteady flow in screw-type centrifugal pump with small blade. Trans. Chin. Soc. Agric. Mach. 2012, 43, 83–87. [Google Scholar]
- Zhang, J.F.; Wang, W.J.; Fang, Y.J.; Ye, L.T.; Yuan, S.Q. Influence of splitter blades on unsteady flow and structural dynamic characteristics of a molten salt centrifugal pump. J. Vib. Shock 2014, 33, 37–41. [Google Scholar]
- Barrio, R.; Parrondo, J.; Blanco, E. Numerical analysis of the unsteady flow in the near-tongue region in a volute-type centrifugal pump for different operating points. Comput. Fluids 2010, 39, 859–870. [Google Scholar] [CrossRef]
- Pei, J.; Yuan, S.Q.; Li, X.J.; Yuan, J.P. Numerical prediction of 3-D periodic flow unsteadiness in a centrifugal pump under part-load condition. J. Hydrodyn. 2014, 26, 257–263. [Google Scholar] [CrossRef]
- Liu, H.L.; Liu, D.X.; Wang, Y.; Wu, X.F.; Wang, J.; Du, H. Experimental investigation and numerical analysis of unsteady attached sheet cavitation flows in a centrifugal pump. J. Hydrodyn. 2013, 25, 370–378. [Google Scholar] [CrossRef]
- ANSYS, Inc. ANSYS Help System; ANSYS, Inc.: Canonsburg, PA, USA, 2011. [Google Scholar]
- Menter, F.R. Two-equation eddy-visocity turbulence models for engineering applications. AIAA J. 1994, 32, 1598–1605. [Google Scholar] [CrossRef]
- The International Standards Organization for Standardization. ISO 9906–2012. Rotodynamic Pumps—Hydraulic Performance Acceptance Tests—Grades 1, 2 and 3, 2nd ed.; The International Standards Organization for Standardization: Geneva, Switzerland, 2015. [Google Scholar]
- Kim, J.H.; Oh, K.T.; Pyun, K.B.; Kim, C.K.; Choi, Y.S. Design optimization of a centrifugal pump impeller and volute using computational fluid dynamics. In Proceedings of the 26th IAHR Symposium on Hydraulic Machinery and Systems, Beijing, China, 19–23 August 2012.
- Zhao, W.G.; Sheng, J.P.; Yang, J.H.; Song, Q.C. Optimization design and experiment of centrifugal pump based on CFD. Trans. Chin. Soc. Agric. Mach. 2015, 31, 125–131. [Google Scholar]













| Structural Parameter | Value |
|---|---|
| Suction diameter | Ds = 0.35 m |
| Exit diameter | De = 0.35 m |
| Impeller inlet diameter | d1 = 0.08 m |
| Impeller outlet diameter | d2 = 0.29 m |
| Impeller outlet width | b2 = 0.136 m |
| Rated flow | Qdes = 0.35 m3/s |
| Rated head | Hdes = 17 m |
| Rotation speed | n = 1480 rpm |
| NPSHr | Δhr = 3.2 m |
| Fluid Zone | Number of Elements | Number of Nodes |
|---|---|---|
| Suction chamber | 832,871 | 2,966,467 |
| Extruding chamber | 1,105,902 | 4,331,943 |
| Impeller | 999,772 | 3,474,289 |
| Total | 2,938,544 | 10,772,699 |
| 0.6Qdes | 0.8Qdes | 1.0Qdes | 1.2Qdes | 1.4Qdes | |
|---|---|---|---|---|---|
| B | 12.10 | 11.50 | 5.51 | 5.04 | 8.96 |
| ω | 940.1 | 942.0 | 940.1 | 940.1 | 940.1 |
| φ | 2.33 | 2.34 | 1.93 | 1.15 | 0.18 |
| C | 457.5 | 453.0 | 478.0 | 497.0 | 475.0 |
| R2 | 0.93 | 0.92 | 0.90 | 0.94 | 0.91 |
| 0.6Qdes | 0.8Qdes | 1.0Qdes | 1.2Qdes | 1.4Qdes | |
|---|---|---|---|---|---|
| B | 0.159 | 0.135 | 0.130 | 0.101 | 0.180 |
| ω | 942.9 | 951.5 | 940.1 | 940.1 | 940.1 |
| φ | −2.70 | 2.95 | 2.37 | 1.63 | 0.66 |
| C | 23.4 | 20.1 | 17.7 | 15.2 | 11.5 |
| R2 | 0.92 | 0.95 | 0.94 | 0.91 | 0.92 |
| 0.6Qdes | 0.8Qdes | 1.0Qdes | 1.2Qdes | 1.4Qdes | |
|---|---|---|---|---|---|
| B | 1.66 | 1.54 | 0.484 | 0.374 | 0.617 |
| ω | 940.1 | 940.1 | 940.1 | 940.1 | 943.0 |
| φ | −1.09 | −0.97 | −1.81 | −2.64 | 2.16 |
| C | 64.9 | 76.7 | 81.5 | 76.7 | 68.6 |
| R2 | 0.91 | 0.92 | 0.89 | 0.84 | 0.88 |
| Flow Flux | 0.6Qdes | 1.0Qdes | 1.4Qdes | |||
|---|---|---|---|---|---|---|
| Phase Position | 0° | 30° | 0° | 30° | 0° | 30° |
| Maximum Value | 29.33 | 24.57 | 34.4 | 36.57 | 41.81 | 43.21 |
| Average Value | 8.21 | 8.97 | 14.84 | 13.18 | 20.85 | 19.22 |
© 2017 by the authors. Licensee MDPI, Basel, Switzerland. This article is an open access article distributed under the terms and conditions of the Creative Commons Attribution (CC BY) license ( http://creativecommons.org/licenses/by/4.0/).
Share and Cite
Zhang, H.; Deng, S.; Qu, Y. Numerical Investigation of Periodic Fluctuations in Energy Efficiency in Centrifugal Pumps at Different Working Points. Energies 2017, 10, 342. https://doi.org/10.3390/en10030342
Zhang H, Deng S, Qu Y. Numerical Investigation of Periodic Fluctuations in Energy Efficiency in Centrifugal Pumps at Different Working Points. Energies. 2017; 10(3):342. https://doi.org/10.3390/en10030342
Chicago/Turabian StyleZhang, Hehui, Shengxiang Deng, and Yingjie Qu. 2017. "Numerical Investigation of Periodic Fluctuations in Energy Efficiency in Centrifugal Pumps at Different Working Points" Energies 10, no. 3: 342. https://doi.org/10.3390/en10030342
APA StyleZhang, H., Deng, S., & Qu, Y. (2017). Numerical Investigation of Periodic Fluctuations in Energy Efficiency in Centrifugal Pumps at Different Working Points. Energies, 10(3), 342. https://doi.org/10.3390/en10030342
