Estimation of a Focused Object Using a Corneal Surface Image for Eye-Based Interaction
Abstract
:Introduction
Related work
Wearable device for capturing corneal surface images
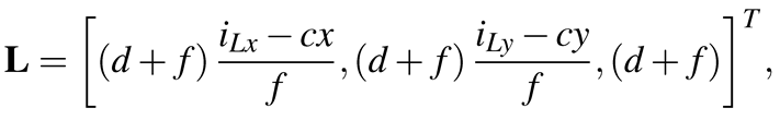
Extracting scene images from corneal surface images
(1)
(2)
(3)
(4)
(5)
(6)
(7)
(8)
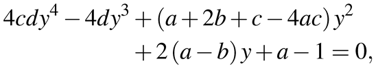
Model-based tracking to generate unwarped images
(9)
Specific object recognition using the unwarped corneal surface image
(10)
Extracting the focused object
Experimental conditions
Results and discussion
Conclusions
Acknowledgments
References
- Buchsbaum, G. 1980. A spatial processor model for object colour perception. Journal of the Franklin Institute 310, 1: 1–26. [Google Scholar] [CrossRef]
- Bulling, A., D. Roggen, and G. Tröster. 2009. Wearable EOG goggles: Seamless sensing and context-awareness in everyday environments. Journal of Ambient Intelligence and Smart Environments 1, 2: 8386. [Google Scholar]
- Calonder, M., V. Lepetit, C. Strecha, and P. Fua. 2010. Brief: Binary robust independent elementary features. In Proceedings of the 11th european conference on computer vision. pp. 778–792. [Google Scholar]
- Eberly, D. 2008. Computing a point of reflection on a sphere. http://www.geometrictools.com. (Online; accessed 7-Feb-2014).
- Fischler, M. A., and R. C. Bolles. 1981. Random sample consensus: a paradigm for model fitting with applications to image analysis and automated cartography. Communications of the ACM 24, 6: 381–395. [Google Scholar]
- Guestrin, E. D., and E. Eizenman. 2006. General theory of remote gaze estimation using the pupil center and corneal reflections. IEEE Transactions on Biomedical Engineering 53, 6: 1124–1133. [Google Scholar] [PubMed]
- Ishiguro, Y., A. Mujibiya, T. Miyaki, and J. Rekimoto. 2010. Aided eyes: eye activity sensing for daily life. In Proceedings of the 1st augmented human international conference. pp. 25:1–25:7. [Google Scholar]
- Lowe, D. G. 2004. Distinctive image features from scale-invariant keypoints. International Journal of Computer Vision 60, 2: 91–110. [Google Scholar]
- Morimoto, C. H., and M. R. M. Mimica. 2005. Eye gaze tracking techniques for interactive applications. Computer Vision Image Understanding 98, 1: 4–24. [Google Scholar] [CrossRef]
- Nagamatsu, T., J. Kamahara, T. Iko, and N. Tanaka. 2008. Onepoint calibration gaze tracking based on eyeball kinematics using stereo cameras. In Proceedings of the 2008 symposium on eye tracking research & applications. pp. 95–98. [Google Scholar]
- Nagamatsu, T., J. Kamahara, and N. Tanaka. 2009. Calibrationfree gaze tracking using a binocular 3d eye model. In Chi ’09 extended abstracts on human factors in computing systems. pp. 3613–3618. [Google Scholar]
- Nishino, K., and S. Nayar. 2004b. The world in an eye. In Proceedings of the 2004 ieee computer society conference on computer vision and pattern recognition. pp. I-444–I-451. [Google Scholar]
- Nishino, K., and S. K. Nayar. 2004a. Eyes for relighting. ACM Trans. Graph. 23, 3: 704–711. [Google Scholar] [CrossRef]
- Nitschke, C., and A. Nakazawa. 2012. Super-resolution from corneal images. In Proceedings of the 23rd british machine vision conference. pp. 22.1–22.12. [Google Scholar]
- Nitschke, C., A. Nakazawa, and H. Takemura. 2011. Displaycamera calibration using eye reflections and geometry constraints. Computer Vision and Image Understanding 115, 6: 835–853. [Google Scholar]
- Ohno, T. 2006. One-point calibration gaze tracking method. In Proceedings of the 2006 symposium on eye tracking research & applications. pp. 34–34. [Google Scholar]
- Ohno, T., and N. Mukawa. 2004. A free-head, simple calibration, gaze tracking system that enables gaze-based interaction. In Proceedings of the 2004 symposium on eye tracking research & applications. pp. 115–122. [Google Scholar]
- Tsukada, A., and T. Kanade. 2012. Automatic acquisition of a 3d eye model for a wearable first-person vision device. In Proceedings of the symposium on eye tracking research & applications. pp. 213–216. [Google Scholar]
- Wang, H., S. Lin, X. Liu, and S. B. Kang. 2005. Separating reflections in human iris images for illumination estimation. In Proceedings of the tenth ieee international conference on computer vision. pp. 1691–1698. [Google Scholar]




















![]() |
Copyright © 2014. This article is licensed under a Creative Commons Attribution 4.0 International License.
Share and Cite
Takemura, K.; Yamakawa, T.; Takamatsu, J.; Ogasawara, T. Estimation of a Focused Object Using a Corneal Surface Image for Eye-Based Interaction. J. Eye Mov. Res. 2014, 7, 1-9. https://doi.org/10.16910/jemr.7.3.4
Takemura K, Yamakawa T, Takamatsu J, Ogasawara T. Estimation of a Focused Object Using a Corneal Surface Image for Eye-Based Interaction. Journal of Eye Movement Research. 2014; 7(3):1-9. https://doi.org/10.16910/jemr.7.3.4
Chicago/Turabian StyleTakemura, Kentaro, Tomohisa Yamakawa, Jun Takamatsu, and Tsukasa Ogasawara. 2014. "Estimation of a Focused Object Using a Corneal Surface Image for Eye-Based Interaction" Journal of Eye Movement Research 7, no. 3: 1-9. https://doi.org/10.16910/jemr.7.3.4
APA StyleTakemura, K., Yamakawa, T., Takamatsu, J., & Ogasawara, T. (2014). Estimation of a Focused Object Using a Corneal Surface Image for Eye-Based Interaction. Journal of Eye Movement Research, 7(3), 1-9. https://doi.org/10.16910/jemr.7.3.4
