Time-Dependent Changes in Viewing Behavior on Similarly Structured Web Pages
Abstract
:1. Introduction
Within web page hypotheses (H1):
Across web pages hypotheses (H2):
2. Method
Experimental Protocols
Data Analysis
whereby x indicates the image space. Higher entropy values indicate a more spread out distribution and hence indicate a more exploratory viewing behavior (see Figure 2). Extreme values occur for singular distributions (minimum) and a flat distribution (maximum).
where m is the number of rows and n depicts the number of columns constituting the web pages. I and J indicate the FDMs of the web pages being correlated.
(c.f. Kaspar and König, 2011). This calculated how much the fixation behavior of subjects deviated from the average fixation behavior of subjects on a specific web page w. The higher V(w), the more variance between individual fixation distributions exist and the lower the inter-subject reliability of fixation distributions. In accordance with the analysis of the temporal course of the attentional focus described above, V(w) was calculated separately for the same subsets of fixations.3. Results
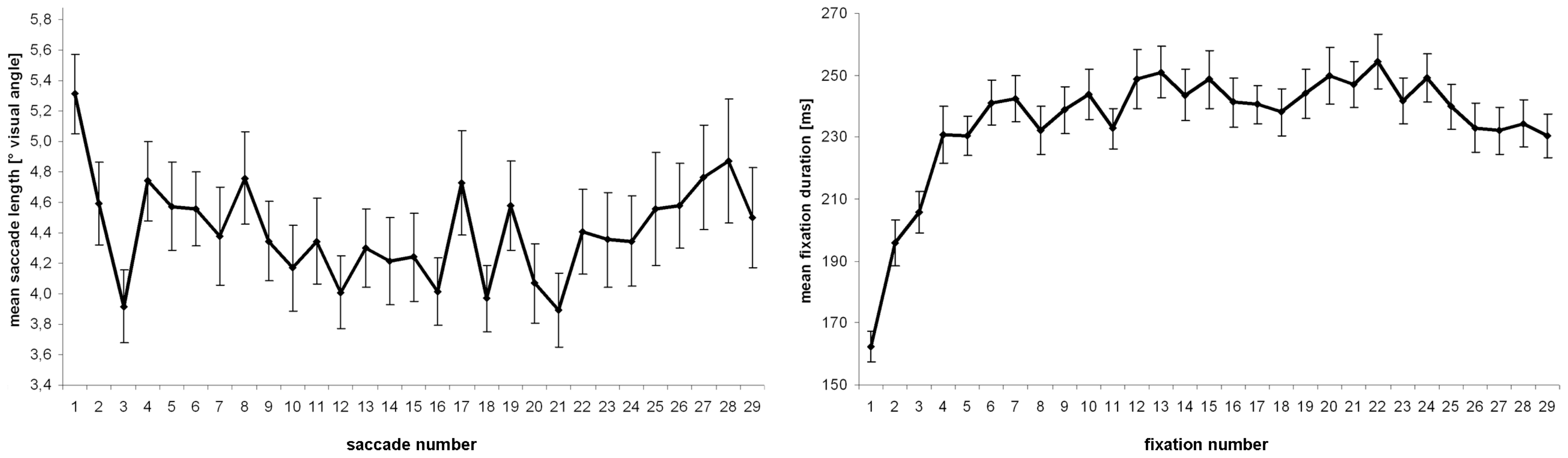
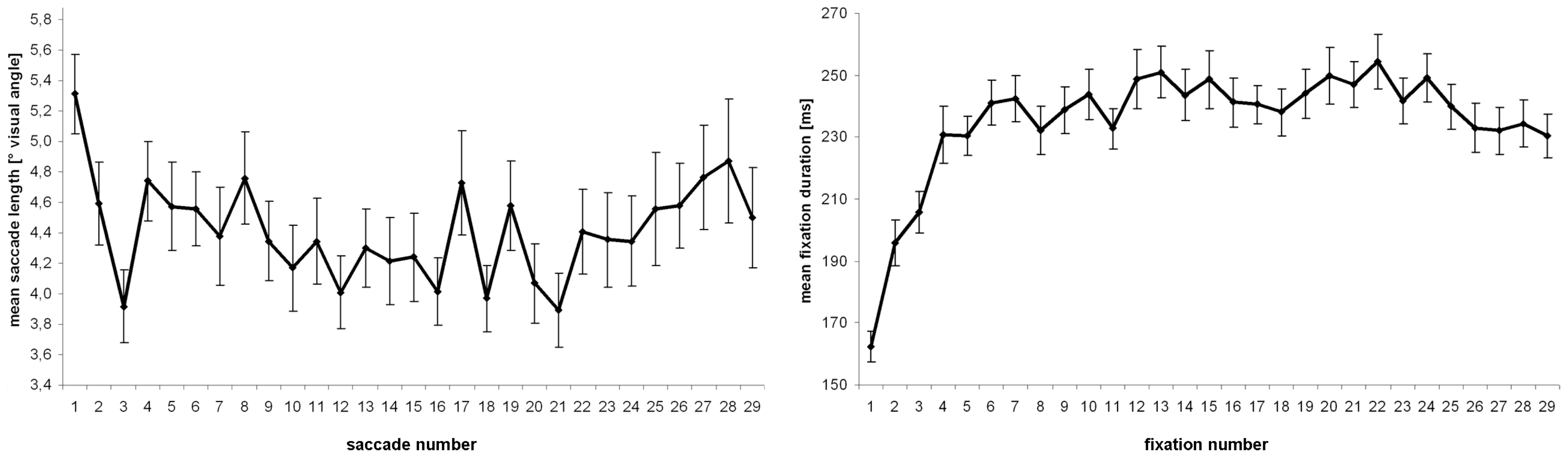
Saccade parameters and entropy
The time course of the attentional focus (H1c & H2c)
Inter-subject variance of fixation distributions (H1d & H2d)
The influence of elements’ vertical position on fixation frequency (exploratory analysis)
4. Discussion
5. Conclusion
6. References
- Acik, A., A. Sarwary, R. Schultze-Kraft, S. Onat, and P. König. 2010. Developmental changes in natural viewing behavior: bottom-up and top-down differences between children, young adults and older adults. Frontiers in Perception Science 1: Article 27. [Google Scholar]
- Antes, J. R. 1974. The time course of picture viewing. Journal of Experimental Psychology 103, 1: 62–70. [Google Scholar] [CrossRef] [PubMed]
- Bernard, M. L. 2001. Developing schemas for the location of common web objects. Proceedings of the Human Factors and Ergonomics Society-45th Annual Meeting; pp. 1161–116. [Google Scholar]
- Bernard, M. 2002. Examining user expectations for the location of common E-Commerce web objects. From http://www.surl.org/usabilitynews/41 /web_object-ecom.asp (Retrieved Nov. 7, 2011).
- Betz, T., T. C. Kietzmann, N. Wilming, and P. König. 2010. Investigating task-dependent top-down effects on overt visual attention. Journal of Vision 10: 1–14. [Google Scholar] [CrossRef] [PubMed]
- Brockmole, J. R., and J. M. Henderson. 2006. Recognition and attention guidance during contextual cueing in real-world scenes: Evidence from eye movements. The Quarterly Journal of Experimental Psychology 59, 7: 1177–1187. [Google Scholar] [CrossRef]
- Burmester, M., and M. Mast. 2010. Repeated web page visits and the scanpath theory: A recurrent pattern detection approach. Journal of Eye Movement Research 3, 4: 1–20. [Google Scholar] [CrossRef]
- Buscher, G., E. Cutrell, and M. R. Morris. 2009. What do you see when you’re surfing? Using eyetracking to predict salient regions of web pages. Proceedings of CHI 2009, 21–30. [Google Scholar]
- Casthelano, M. S., M. L. Mack, and J. M. Henderson. 2009. Viewing task influences eye movement control during active scene perception. Journal of Vision 9, 3: 6. http://journalofvision.org/9/3/6/. [CrossRef]
- Chalmers, P. A. 2003. The role of cognitive theory in human-computer interface. Computers in Human Behavior 19: 593–607. [Google Scholar] [CrossRef]
- Chun, M. M. 2002. Contextual cueing of visual attention. Trends in Cognitive Science 4: 170–177. [Google Scholar] [CrossRef]
- Cockburn, A., and B. McKenzie. 2001. What do web users do? An empirical analysis of web use. International Journal of Human-Computer Studies 54: 903–922. [Google Scholar] [CrossRef]
- Einhäuser, W., M. Spain, and P. Perona. 2008. Objects predict fixations better than early saliency. Journal of Vision 8, 14: 18. http://journalofvision.org/8/14/18/. [CrossRef]
- Faulkner, X., and C. Hayton. 2011. When left might not be right. Journal of Usability Studies 6: 245–256. [Google Scholar]
- Foulsham, T., and G. Underwood. 2008. What can saliency models predict about eye movements? Spatial and sequential aspects of fixations during encoding and recognition. Journal of Vision 8, 2: 6. http://journalofvision.org/8/2/6/. [CrossRef]
- Friedman, A. 1979. Framing pictures: The role of knowledge in automatized encoding and memory for gist. Journal of Experimental Psychology: General 108: 316–355. [Google Scholar] [CrossRef] [PubMed]
- Grahame, M., J. Laberge, and C. T. Scialfa. 2004. Age differences in search of web pages: The effect of link size, link number, and clutter. Human Factors. Journal of the Human Factors and Ergonomics Society 46: 385–398. [Google Scholar] [CrossRef] [PubMed]
- Hamborg, K.-C., M. Bruns, F. Ollermann, and K. Kaspar. in press. The Effect of Banner Animation on Fixation Behavior and Recall Performance in Search Tasks. Computers in Human Behavior. [Google Scholar] [CrossRef]
- Harding, G., and M. Bloj. 2010. Real and predicted influence of image manipulations on eye movement during scene recognition. Journal of Vision 10, 2: 8. http://journalofvision.org/10/2/8/. [CrossRef] [PubMed]
- Hausser, J., and K. Strimmer. 2009. Entropy inference and the James-Stein estimator, with application to nonlinear gene association networks. Journal of Machine Learning Research 10: 1469–1484. [Google Scholar]
- Henderson, J. M., and A. Hollingworth. 1999. High-level scene perception. Annual Review of Psychology 50: 243–271. [Google Scholar] [CrossRef]
- Henderson, J. M., P. A. Weeks, Jr., and A. Hollingworth. 1999. Effects of semantic consistency on eye movements during scene viewing. Journal of Experimental Psychology: Human Perception and Performance 25: 210–288. [Google Scholar] [CrossRef]
- Holmes, M. E. 1997. Optimal matching analysis of negotiation phase sequences in simulated and authentic hostage negotiations. Communication Reports 10: 1–8. [Google Scholar] [CrossRef]
- Hunter, J. E., and F. L. Schmidt. 2004. Methods of meta-analysis: Correcting error and bias in research findings. Thousand Oaks: Sage Publications. [Google Scholar]
- Josephson, S., and M. E. Holmes. 2002. Attention to repeated images on the World-Wide Web: Another look at scanpath theory. Behavior Research Methods, Instruments,& Computers 34: 539–548. [Google Scholar]
- Kalbach, J., and T. Bosenick. 2003. Web page layout: A comparison between left-and right-justified site navigation menus. Journal of Digital Information 4. [Google Scholar]
- Kaspar, K., and P. König. 2011. Overt attention and context factors: The impact of repeated presentation, image type, and individual motivation. PLoS ONE 6, 7: e21719. [Google Scholar] [CrossRef] [PubMed]
- Kaspar, K., and P. König. in press. Viewing behavior and the impact of low-level image properties across repeated presentations of complex scenes. Journal of Vision. [Google Scholar] [CrossRef]
- Lindgaard, G., G. J. Fernandes, C. Dudek, and J. Brown. 2006. Attention Web designers: You have 50 milliseconds to make a good first impression! Behaviour and Information Technology 25: 115–126. [Google Scholar] [CrossRef]
- Loftus, G. R., and N. H. Mackworth. 1978. Cognitive determinants of fixation location during picture viewing. Journal of Experimental Psychology: Human Perception and Performance 4: 565–572. [Google Scholar] [CrossRef]
- Magnusson, M. S. 2000. Discovering hidden time patterns in behavior: T-patterns and their detection. Behavior Research Methods, Instruments, & Computers 31: 93–110. [Google Scholar]
- McCarthy, J. D., M. A. Sasse, and J. Riegelsberger. 2003. Could I have the menu please? An eye tracking study of design conventions. Proceedings of HCI 2003, 8–12. [Google Scholar]
- McPhee, L. C., C. T. Scialfa, W. M. Dennis, G. Ho, and J. K. Caird. 2004. Age differences in visual search for traffic signs during a simulated conversation Human. Factors: The Journal of the Human Factors and Ergonomics Society 46: 674–685. [Google Scholar] [CrossRef] [PubMed]
- Miller, G. 1955. Edited by H. Quastler. Note on the bias of information estimates. In Information theory in psychology II-B. Glencoe, IL: Free Press. [Google Scholar]
- Nelson, J. D., G. W. Cottrell, J. R. Movellan, and M. I. Sereno. 2004. Yarbus lives: A foveated exploration of how task influences saccadic eye movement. Journal of Vision 4, 8: 741a. http://journalofvision.org/4/8/741/. [CrossRef]
- Nielsen, J. 1999. When bad design elements become the standard. From http://www.useit.com/ alertbox/991114.html (Retrieved Nov. 11, 2011).
- Ollermann, F., K.-C. Hamborg, and Reinecke. 2004. Edited by R. Keil-Slawik, H. Selke and G. Szwillus. Visuelles Orientierungsverhalten bei der Betrachtung von Internetseiten. In Mensch & Computer 2004: Allgegenwärtige Interaktion. München: Oldenbourg Verlag. [Google Scholar]
- Pan, B., H. A. Hembrooke, G. K. Gay, L. A. Granka, M. K. Feusner, and J. K. Newman. 2004. The determinants of web page viewing behavior: An eyetracking study. Proc. ETRA ’04: Proceedings of the Eye tracking research & applications symposium on Eye tracking research & applications; pp. 147–154. [Google Scholar]
- Rayner, K. 1998. Eye movements in reading and information processing: 20 years of research. Psychological Bulletin 124: 372–422. [Google Scholar] [CrossRef] [PubMed]
- Rothkopf, C. A., D. H. Ballard, and M. M. Hayhoe. 2007. Task and context determine where you look. Journal of Vision 7, 14: 16. http://journalofvision.org/7/14/16/. [CrossRef]
- Silver, N. C., and W. P. Dunlap. 1987. Averaging correlation coefficients: Should Fisher’s z tranformation be used? Journal of Applied Psychology 72: 146–148. [Google Scholar] [CrossRef]
- Strube, M. J. 1988. Averaging correlation coefficients: Influence of heterogeneity and set size. Journal of Applied Psychology 73: 559–568. [Google Scholar] [CrossRef]
- Tabachnick, B. G., and L. S. Fidell. 2007. Using multivariate statistics. Boston: Pearson. [Google Scholar]
- Tatler, B. W., R. J. Baddeley, and I. D. Gilchrist. 2005. Visual correlates of fixation selection: Effects of scale and time. Vision Research 45, 5: 643–659. [Google Scholar] [CrossRef] [PubMed]
- Thorndike, R. M. 2007. Edited by Neil J. Salkind. Fischer’s Z transformation. In Encyclopedia of Measurement and Statistics. Thousand Oaks: Sage Publications: Vol. 2. [Google Scholar]
- Triesch, J., D. H. Ballard, M. M. Hayhoe, and B. T. Sullivan. 2003. What you see is what you need. Journal of Vision 3, 1: 86–94. [Google Scholar] [CrossRef]
- Underwood, G., and T. Foulsham. 2006. Visual saliency and semantic incongruency influence eye movements when inspecting pictures. Quarterly Journal of Experimental Psychology 59, 11: 1931–1949. [Google Scholar] [CrossRef]
- Underwood, G., T. Foulsham, and K. Humphrey. 2009. Saliency and scan patterns in the inspection of real-world scenes: Eye movements during encoding and recognition. Visual Cognition 17, 6–7: 812–834. [Google Scholar] [CrossRef]
- Wilming, N., T. Betz, T. C. Kietzmann, and P. König. in press. Measures and limits of models of fixation selection. PloS One 6: e24038. [Google Scholar] [CrossRef]








Copyright © 2011. This article is licensed under a Creative Commons Attribution 4.0 International License.
Share and Cite
Kaspar, K.; Ollermann, F.; Hamborg, K.-C. Time-Dependent Changes in Viewing Behavior on Similarly Structured Web Pages. J. Eye Mov. Res. 2011, 4, 1-16. https://doi.org/10.16910/jemr.4.2.4
Kaspar K, Ollermann F, Hamborg K-C. Time-Dependent Changes in Viewing Behavior on Similarly Structured Web Pages. Journal of Eye Movement Research. 2011; 4(2):1-16. https://doi.org/10.16910/jemr.4.2.4
Chicago/Turabian StyleKaspar, Kai, Frank Ollermann, and Kai-Christoph Hamborg. 2011. "Time-Dependent Changes in Viewing Behavior on Similarly Structured Web Pages" Journal of Eye Movement Research 4, no. 2: 1-16. https://doi.org/10.16910/jemr.4.2.4
APA StyleKaspar, K., Ollermann, F., & Hamborg, K.-C. (2011). Time-Dependent Changes in Viewing Behavior on Similarly Structured Web Pages. Journal of Eye Movement Research, 4(2), 1-16. https://doi.org/10.16910/jemr.4.2.4