The Behavioural and Neurophysiological Modulation of Microsaccades in Monkeys
Abstract
Introduction
Methods
Cue-target Experiments
Recording Omnipause Neurons and Microsaccades
Microsaccade Detection
Microsaccade Analysis
Results
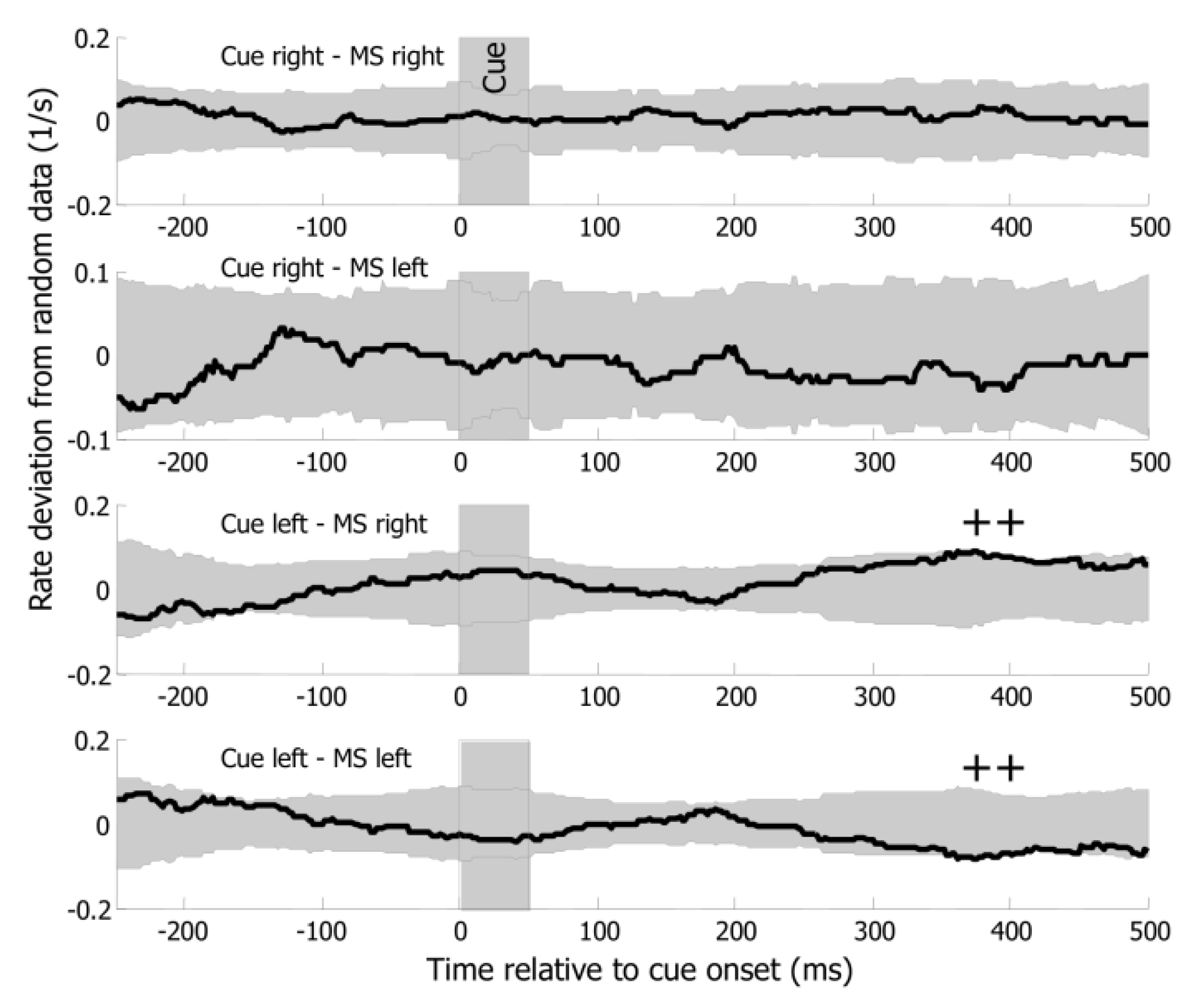
Experiment 1: non-predictive visual cues
Experiment 2: predictive visual cues
Experiment 3: non-predictive auditory cues
Experiment 4: recording from omnipause neurons
Discussion
Acknowledgments
References
- Ashe, J., T. C. Hain, D. S. Zee, and N. J. Schatz. 1991. Microsaccadic flutter. Brain 114: 461–472. [Google Scholar] [CrossRef] [PubMed]
- Barlow, H. B. 1952. Eye movements during fixation. Journal of Physiology 116: 290–306. [Google Scholar] [CrossRef]
- Bell, A. H., J. H. Fecteau, and D. P. Munoz. 2004. Using auditory and visual stimuli to investigate the beha-vioral and neuronal consequences of reflexive covert orienting. Journal of Neurophysiology 91: 2172–2184. [Google Scholar] [CrossRef] [PubMed]
- Brown, S., and M.E. Nicholls. 1997. Hemispheric asym-metries for the temporal resolution of brief auditory stimuli. Perception & Psychophysics 59: 442–447. [Google Scholar]
- Cohen, B., and V. Henn. 1972. Unit activity in the pontine reticular formation associated with eye movements. Brain Research 46: 403–410. [Google Scholar] [CrossRef]
- Coppola, D., and D. Purves. 1996. The extraordinarily rapid disappearance of entopic images. Proceedings of the National Academy of Sciences 93, 15: 8001–8004. [Google Scholar] [CrossRef]
- Corneil, B. D., D. P. Munoz, B. B. Chapman, T. Admans, and S. L. Cushing. 2008. Neuromuscular conse-quences of reflexive covert orienting. Nature Neuroscience 11, 1: 13–15. [Google Scholar] [CrossRef]
- Ditchburn, R. W., D. H. Fender, and S. Mayne. 1959. Vision with controlled movements of the retinal image. Journal of Physiology 145: 98–107. [Google Scholar] [CrossRef]
- Engbert, R., and Kliegl. 2003. Microaccades uncover the orientation of covert attention. Vision Research 43: 1035–1045. [Google Scholar] [CrossRef]
- Everling, S., M. Pare, M. C. Dorris, and D. P. Munoz. 1998. Comparison of the discharge characteristics of brain stem omnipause neurons and superior colliculus fixation neurons in monkey: implications for control of fixation and saccade behavior. Journal of Neurophysiology 79: 511–528. [Google Scholar] [CrossRef]
- Fecteau, J. H., A. H. Bell, and D. P. Munoz. 2004. Neur-al correlates of the automatic and goal-driven biases in orienting spatial attention. Journal of Neurophysiology 92: 1728–1737. [Google Scholar] [CrossRef] [PubMed]
- Fecteau, J. H., and D. P. Munoz. 2005. Correlates of cap-ture of attention and inhibition of return across states of visual processing. Journal of Cognitive Neuroscience 17, 11: 1714–1727. [Google Scholar] [CrossRef] [PubMed]
- Fecteau, J. H., and D. P. Munoz. 2006. Salience, relevance, and spiking neurons: a priority map governs target selection. Trends in Cognitive Science 10: 382–390. [Google Scholar]
- Fuchs, A. F., C. R. S. Kaneko, and C. A. Scudder. 1985. Brainstem control of saccadic eye movements. An-nual Review of Neuroscience, 307–337. [Google Scholar]
- Galfano, G., E. Betta, and M. Turatto. 2004. Inhibition of return in microsaccades. Experimental Brain Research 159: 400–404. [Google Scholar]
- Hafed, Z.M., and J.J. Clark. 2002. Microsaccades as an overt measure of covert attention shifts. Vision Re-search 42: 2533–2545. [Google Scholar] [CrossRef]
- Hafed, Z.M., L. Goffart, and R.J. Krauzlis. 2009. A Neural Mechanism for Microsaccade Generation in the Primate Superior Colliculus. Science 323: 940–943. [Google Scholar] [CrossRef]
- Horwitz, G. D., and T. D. Albright. 2003. Short-latency fixational saccades induced by luminance increments. Journal of Neurophysiology 90: 1333–1339. [Google Scholar] [CrossRef][Green Version]
- Horowitz, T. S., E. M. Fine, D. E. Fencsik, S. Yurgenson, and J. M. Wolfe. 2007a. Fixational eye movements are not an index of covert attention. Psycological Science 18: 356–363. [Google Scholar] [CrossRef]
- Horowitz, T. S., E. M. Fine, D. E. Fencsik, S. Yurgenson, and J. M. Wolfe. 2007b. Microsaccades and attention. Does a weak correlation make an index? Reply to Laubrock, Engbert, Rolfs, and Kliegl. Psycological Science 18: 367–368. [Google Scholar]
- Jonides, J. 1981. Edited by J. Long and A. Badde-ley. Voluntary vs. automatic control over the mind’s eye’s movement. In Attention and Performance IX. Lawrence Erlbaum Associates: pp. 187–203. [Google Scholar]
- Keller, E. 1974. Participation of the medial pontine reticular formation in eye movement generation in the monkey. Journal of Neurophysiology 37: 316–332. [Google Scholar] [CrossRef] [PubMed]
- Kliegl, R., M. Rolfs, J. Laubrock, and R. Engbert. 2009. Microsaccadic modulation of response times in spatial attention tasks. Psychological Research 73: 136–146. [Google Scholar] [CrossRef] [PubMed][Green Version]
- Laubrock, J., R. Engbert, and R. Kliegl. 2004. Microsac-cade dynamics during covert attention. Vision Research 45: 721–730. [Google Scholar] [CrossRef]
- Laubrock, R., R. Engbert, M. Rolfs, and R. Kliegl. 2007. Microsaccades are an index of covert attention. Psycological Science 18: 364–366. [Google Scholar]
- Lushei, E.S., and A.F. Fuchs. 1972. Activity of brain stem neurons during eye movements of alert monkeys. Journal of Neurophysiology 35: 445–461. [Google Scholar] [CrossRef]
- Martinez-Conde, S., S. L. Macknik, and D. H. Hubel. 2000. Microsaccadic eye movements and firing of single cells in the striate cortex of macaque monkeys. Nature Neuroscience 3, 3: 251–258. [Google Scholar] [CrossRef]
- Martinez-Conde, S., S. L. Macknick, and D. H. Hubel. 2002. The function of bursts of spikes during visual fixation in the awake primate lateral geniculate nucleus and primary visual cortex. Proceedings of the National Academy of Sciences 99, 21: 13920–13925. [Google Scholar]
- Martinez-Conde, S., S. L. Macknik, and D. H. Hubel. 2004. The role of fixational eye movements in visual perception. Nature Reviews Neuroscience 5: 229–240. [Google Scholar] [CrossRef]
- Martinez-Conde, S. 2006a. Fixational eye movements in normal and pathological vision. Progress in Brain Research 154: 151–176. [Google Scholar]
- Martinez-Conde, S., S. L. Macknik, X. G. Troncoso, and T. A. Dyar. 2006b. Microsaccades counteract visual fading during fixation. Neuron 49: 297–305. [Google Scholar]
- Martinez-Conde, S., and S. L. Macknik. 2007. Windows on the Mind. Scientific American 297, 2: 56–63. [Google Scholar] [CrossRef] [PubMed]
- Martinez-Conde, S., and S. L. Macknik. 2008. Fixational eye movements across vertebrates: Comparative dynamics, physiology, and perception. Journal of Vi-sion 8, 14: 1–16. [Google Scholar] [CrossRef] [PubMed]
- Martinez-Conde, S., S. L. Macknik, X. G. Troncoso, and D. H. Hubel. 2009. Microsaccades: A neurophysio-logical analysis. Trends in Neurosciences 32, 9: 463–475. [Google Scholar] [CrossRef]
- Maylor, E. A., and R. Hockey. 1985. Inhibitory component of externally controlled covert orienting in visual space. Journal of Experimental Psychology: Human Perception and Performance 11: 777–787. [Google Scholar]
- Nicholls, M. E., M. Schier, C.K. Stough, and A. Box. 1999. Psychophysical and electrophysiological support for a left hemisphere temporal processing advantage. Neuropsychiatry, Neuropsychology, & Behavioral Neurology 12: 11–16. [Google Scholar]
- Otero-Millan, J, X. G. Troncoso, S. L. Macknik, I. Serra-no-Pedraza, and S. Martinez-Conde. 2008. Saccades and microsaccades during visual fixation, exploration, and search: Foundations for a common saccadic generator. Journal of Vision 8, (14):21: 1–18. [Google Scholar] [CrossRef]
- Posner, M. I. 1980. Orientation of attention. The VIIth Sir Frederic Bartlett lecture. Quarterly Journal of Experimental Psychology 32A: 3–25. [Google Scholar] [CrossRef]
- Posner, M. I., and Y. Cohen. 1984. Components of visual orienting. In At-tention and performance X. Edited by H. Bouma and G. Bouwhuis D. Lawrence Erlbaum Associates: pp. 531–556. [Google Scholar]
- Posner, M. I., R. D. Rafal, L. S. Choate, and J. Vaughan. 1985. Inhibition of return: Neural basis and function. Cognitive Neuropsychology 2: 221–228. [Google Scholar] [CrossRef]
- Ratliff, F., and L. A. Riggs. 1950. Involuntary motions of the eye during monocular fixation. Journal of Experimental Psychology 40: 687–701. [Google Scholar] [CrossRef]
- Reingold, E. M., and D. M. Stampe. 2002. Saccadic inhibition in voluntary and reflexive saccades. Journal of Cognitive Neuroscience 14: 371–388. [Google Scholar] [CrossRef]
- Remington, R. W., J. C. Johnston, and S. Yantis. 1992. Involuntary attentional capture by abrupt onsets. Percept Psychophys 51: 279–290. [Google Scholar] [CrossRef] [PubMed]
- Reuter-Lorenz, P.A., A.P. Jha, and J.N. Rosenquist. 1990. Hemispheric control of spatial attention. Brain and Cognition 12: 240–266. [Google Scholar] [PubMed]
- Riggs, L. A., F. Ratliff, J. C. Cornsweet, and T. N. Cornsweet. 1953. The disappearance of steadily fixated test objects. Journal of the Optical Society of America 43: 495–501. [Google Scholar]
- Rolfs, M., R. Engbert, and R. Kliegl. 2004. Microsaccade orientation supports attentional enhancement opposite a peripheral cue. Commentary on Tse, Shein-berg, and Logothetis (2003). Psychological Science 15: 705–707. [Google Scholar]
- Rolfs, M., R. Engbert, and R. Kliegl. 2005. Crossmodal coupling of oculomotor control and spatial attention in vision and audition. Experimental Brain Research 166: 427–439. [Google Scholar]
- Rolfs, M., J. Laubrock, and R. Kliegl. 2006. Shortening and prolongation of saccade latencies following microsaccades. Experimental Brain Research 169: 369–376. [Google Scholar]
- Rolfs, M., J Laubrock, and R. Kliegl. 2008a. Microsaccade-induced prolongation of saccade latencies depends on microsaccade amplitude. Journal of Eye Movement Research 1(3), Art. 5: 1–8. [Google Scholar]
- Rolfs, M., R. Kliegl, and R. Engbert. 2008b. Toward a model of microsaccade generation: The case of microsaccadic inhibition. Journal of Vision 8, (11), Art. 5: 1–23. [Google Scholar]
- Rolfs, M. 2009. Microsaccades: Small steps on a long way. Vision Research 49: 2415–2441. [Google Scholar] [CrossRef]
- Scudder, C. A., C. S. Kaneko, and A. F. Fuchs. 2002. The brainstem burst generator for saccadic eye movements. A modern synthesis. Experimental Brain Research 142: 439–462. [Google Scholar]
- Steinman, R. M., G. M. Haddad, A. A. Skavenski, and D. Wyman. 1973. Miniature eye movements. Science 181: 810–819. [Google Scholar] [CrossRef] [PubMed]
- Troncoso, X. G., S. L. Macknik, and S. Martinez-Conde. 2008. Microsaccades counteract perceptual filling-in. Journal of Vision 8, 14: 1–9. [Google Scholar] [CrossRef] [PubMed]
- Van Gisbergen, J. A. M., D. A. Robinson, and S. Gielen. 1981. A Quantitative Analysis of Generation of Saccadic Eye Movements by Burst Neurons. Journal of Neurophysiology 45, 3: 417–438. [Google Scholar] [CrossRef] [PubMed]
- Valsecchi, M., and M. Turatto. 2007. Microsaccadic response to visual events that are invisible to the superior colliculus. Behavioral Neuroscience 121: 786–793. [Google Scholar] [CrossRef][Green Version]
- Zuber, B. L., L. Stark, and G. Cook. 1965. Microsaccades and the velocity-amplitude relationship for saccadic eye movements. Science 150: 1459–1460. [Google Scholar] [CrossRef]







Disclaimer/Publisher’s Note: The statements, opinions and data contained in all publications are solely those of the individual author(s) and contributor(s) and not of MDPI and/or the editor(s). MDPI and/or the editor(s) disclaim responsibility for any injury to people or property resulting from any ideas, methods, instructions or products referred to in the content. |
Copyright © 20O9. This article is licensed under a Creative Commons Attribution 4.0 International license.
Share and Cite
Brien, D.C.; Corneil, B.D.; Fecteau, J.H.; Bell, A.H.; Munoz, D.P. The Behavioural and Neurophysiological Modulation of Microsaccades in Monkeys. J. Eye Mov. Res. 2009, 3, 1-12. https://doi.org/10.16910/jemr.3.2.4
Brien DC, Corneil BD, Fecteau JH, Bell AH, Munoz DP. The Behavioural and Neurophysiological Modulation of Microsaccades in Monkeys. Journal of Eye Movement Research. 2009; 3(2):1-12. https://doi.org/10.16910/jemr.3.2.4
Chicago/Turabian StyleBrien, Donald C., Brian D. Corneil, Jillian H. Fecteau, Andrew H. Bell, and Douglas P. Munoz. 2009. "The Behavioural and Neurophysiological Modulation of Microsaccades in Monkeys" Journal of Eye Movement Research 3, no. 2: 1-12. https://doi.org/10.16910/jemr.3.2.4
APA StyleBrien, D. C., Corneil, B. D., Fecteau, J. H., Bell, A. H., & Munoz, D. P. (2009). The Behavioural and Neurophysiological Modulation of Microsaccades in Monkeys. Journal of Eye Movement Research, 3(2), 1-12. https://doi.org/10.16910/jemr.3.2.4