Combined Ultrasound and MRI Assessment in Patients Undergoing Reoperation for Recurrent Papillary Thyroid Carcinoma: Oncological Outcomes and Surgical Safety
Simple Summary
Abstract
1. Introduction
2. Materials and Methods
2.1. Patients and PSM
2.2. Reoperation Strategy
2.3. US and MRI Image Re-Evaluation
2.4. Measures of Outcome
2.4.1. Primary Outcome Measures
- Recurrence-Free Survival (RFS): RFS was monitored during follow-up, after reoperation. Recurrence or persistent disease was defined as locoregional lesions identified by fine-needle aspiration, reoperation, or distant metastasis confirmed by radiography.
- Biochemical Response: Biochemical response was assessed via serum thyroglobulin (Tg) and thyroglobulin antibody (TgAb) levels under TSH suppression treatment (Elecsys Tg II and Elecsys Anti-Tg kit, Roche Diagnostics GmbH, Mannheim, Germany).
- Response to Therapy Classification: Response to therapy classification was categorized according to the 2025 ATA guidelines, with potential categories being excellent response (ER), indeterminate response (IDR), biochemical incomplete response (BIR), and structural incomplete response (SIR).
- Postoperative complications: Postoperative complications were recorded according to clinical records and follow-up assessments. Hypoparathyroidism was defined as biochemical or symptomatic hypocalcemia requiring calcium or calcitriol supplementation, with permanent hypoparathyroidism defined as persistence beyond 6 months. Recurrent laryngeal nerve injury was classified as transient if voice dysfunction resolved within 6 months and permanent otherwise, based on laryngoscopic or clinical follow-up. Other complications (chyle leak, wound infection, hematoma, tracheal/esophageal injury) were defined by standard clinical criteria.
2.4.2. Secondary Outcome Measures
- Extent of Reoperation: The involved compartment was determined by evaluation.
- Reoperative PLN, Reoperative LNY, and Reoperative LNR: Used as surrogates for the completeness of nodal compartment excision.
- Diagnostic Performance: Detection rates, sensitivity, specificity, positive predictive value (PPV), negative predictive value (NPV), and accuracy of US, MRI, and US+MRI were compared based on the diagnosis of nodal compartments.
2.5. Statistical Analysis
3. Results
3.1. Patient Characteristics Before and After PSM
3.2. Enhanced Lymph Node Detection with US+MRI
3.3. Enhanced Lymph Node Dissection Efficacy
3.4. The Impact of US+MRI on Reoperation Outcomes for PTC
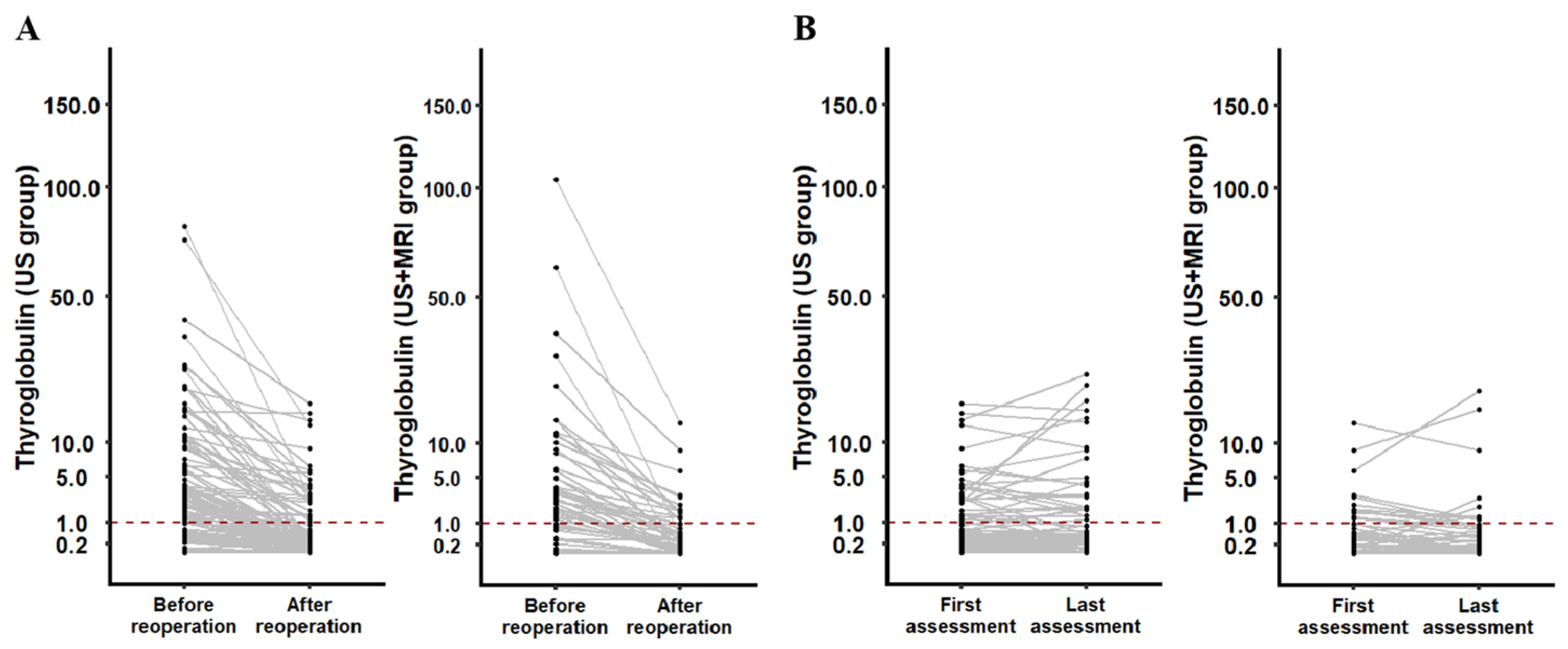
3.4.1. Biochemical Response to Reoperation
3.4.2. Response to Therapy Classification
3.4.3. Kaplan–Meier Curve Analysis
3.5. Surgical Complications and Safety Outcomes
4. Discussion
5. Conclusions
Supplementary Materials
Author Contributions
Funding
Institutional Review Board Statement
Informed Consent Statement
Data Availability Statement
Acknowledgments
Conflicts of Interest
Abbreviations
| BCR | Biochemical complete remission |
| BIR | Biochemical incomplete response |
| BMI | Body Mass Index |
| CND | Central neck dissection |
| ER | Excellent response |
| FNA | Fine-needle aspiration |
| IDR | Indeterminate response |
| IQR | Interquartile ranges |
| LN | Lymph node |
| LND | Lateral neck dissection |
| LNM | Lymph node metastasis |
| LNR | Lymph node ratio |
| LNY | Lymph node yield |
| ND | Neck dissection |
| NPV | Negative predictive value |
| PLN | positive lymph nodes |
| PPV | Positive predictive value |
| PSM | Propensity score matching |
| PTC | Papillary thyroid carcinoma |
| RAI | Radioactive iodine |
| SIR | Structural incomplete response |
| SMD | Standardized mean difference |
| Tg | Thyroglobulin |
| TgAb | Thyroglobulin antibody |
| US | Ultrasound |
References
- Chen, D.W.; Lang, B.H.H.; McLeod, D.S.A.; Newbold, K.; Haymart, M.R. Thyroid Cancer. Lancet 2023, 401, 1531–1544. [Google Scholar] [CrossRef]
- de Carvalho, A.Y.; Kohler, H.F.; Gomes, C.C.; Vartanian, J.G.; Kowalski, L.P. Predictive Factors for Recurrence of Papillary Thyroid Carcinoma: Analysis of 4,085 Patients. Acta Otorhinolaryngol. Ital. 2021, 41, 236–242. [Google Scholar] [CrossRef]
- Sun, W.; Di, L.; Chen, L.; Li, D.; Wu, Y.; Xiang, J.; Zhou, S.; Sun, T. The Outcomes and Prognostic Factors of Patients Who Underwent Reoperation for Persistent/Recurrent Papillary Thyroid Carcinoma. BMC Surg. 2022, 22, 374. [Google Scholar] [CrossRef] [PubMed]
- Lee, E.K.; Kim, M.J.; Kang, S.H.; Koo, B.S.; Kim, K.; Kim, M.; Kim, B.H.; Kim, J.-H.; Moon, S.; Back, K.; et al. 2025 Korean Thyroid Association Clinical Management Guideline on Active Surveillance for Low-Risk Papillary Thyroid Carcinoma. Endocrinol Metab 2025, 40, 307–341. [Google Scholar] [CrossRef]
- Tufano, R.P.; Clayman, G.; Heller, K.S.; Inabnet, W.B.; Kebebew, E.; Shaha, A.; Steward, D.L.; Tuttle, R.M.; for the American Thyroid Association Surgical Affairs Committee Writing Task Force. Management of Recurrent/Persistent Nodal Disease in Patients with Differentiated Thyroid Cancer: A Critical Review of the Risks and Benefits of Surgical Intervention Versus Active Surveillance. Thyroid 2015, 25, 15–27. [Google Scholar] [PubMed]
- Dong, W.; Horiuchi, K.; Tokumitsu, H.; Sakamoto, A.; Noguchi, E.; Ueda, Y.; Okamoto, T. Time-Varying Pattern of Mortality and Recurrence from Papillary Thyroid Cancer: Lessons from a Long-Term Follow-Up. Thyroid 2019, 29, 802–808. [Google Scholar] [CrossRef]
- Lee, H.S.; Roh, J.-L.; Gong, G.; Cho, K.-J.; Choi, S.-H.; Nam, S.Y.; Kim, S.Y. Risk Factors for Re-Recurrence After First Reoperative Surgery for Locoregional Recurrent/Persistent Papillary Thyroid Carcinoma. World J. Surg. 2015, 39, 1943–1950. [Google Scholar] [CrossRef]
- Deo, S.; Bansal, B.; Bhoriwal, S.; Bal, C.S.; Mishra, A.; Sharma, J.; Singh, S.; Jayakumar, P.; Agarwal, S.; Bhatnagar, S.; et al. Re-operative surgery for differentiated thyroid cancer: A single institutional experience of 182 cases. Eur. J. Surg. Oncol. 2023, 49, 107042. [Google Scholar] [CrossRef]
- Bates, M.F.; Lamas, M.R.; Randle, R.W.; Long, K.L.; Pitt, S.C.; Schneider, D.F.; Sippel, R.S. Back so Soon? Is Early Recurrence of Papillary Thyroid Cancer Really Just Persistent Disease? Surgery 2018, 163, 118–123. [Google Scholar] [CrossRef] [PubMed]
- Kumbhar, S.S.; O’Malley, R.B.; Robinson, T.J.; Maximin, S.; Lalwani, N.; Byrd, D.R.; Wang, C.L. Why Thyroid Surgeons Are Frustrated with Radiologists: Lessons Learned from Pre- and Postoperative US. Radiographics 2016, 36, 2141–2153. [Google Scholar] [CrossRef]
- Ringel, M.D.; Sosa, J.A.; Baloch, Z.; Bischoff, L.; Bloom, G.; Brent, G.A.; Brock, P.L.; Chou, R.; Flavell, R.R.; Goldner, W.; et al. 2025 American Thyroid Association Management Guidelines for Adult Patients with Differentiated Thyroid Cancer. Thyroid 2025, 35, 841–985. [Google Scholar] [CrossRef]
- Cho, S.J.; Suh, C.H.; Baek, J.H.; Chung, S.R.; Choi, Y.J.; Lee, J.H. Diagnostic Performance of MRI to Detect Metastatic Cervical Lymph Nodes in Patients with Thyroid Cancer: A Systematic Review and Meta-Analysis. Clin. Radiol. 2020, 75, 562.e1–562.e10. [Google Scholar] [CrossRef]
- Zhao, H.; Li, H. Meta-Analysis of Ultrasound for Cervical Lymph Nodes in Papillary Thyroid Cancer: Diagnosis of Central and Lateral Compartment Nodal Metastases. Eur. J. Radiol. 2019, 112, 14–21. [Google Scholar] [CrossRef] [PubMed]
- Liu, Z.; Xun, X.; Wang, Y.; Mei, L.; He, L.; Zeng, W.; Wang, C.-Y.; Tao, H. MRI and Ultrasonography Detection of Cervical Lymph Node Metastases in Differentiated Thyroid Carcinoma before Reoperation. Am. J. Transl. Res. 2014, 6, 147–154. [Google Scholar]
- Wei, R.; Wang, H.; Wang, L.; Hu, W.; Sun, X.; Dai, Z.; Zhu, J.; Li, H.; Ge, Y.; Song, B. Radiomics based on multiparametric MRI for extrathyroidal extension feature prediction in papillary thyroid cancer. BMC Med. Imaging 2021, 21, 20. [Google Scholar] [CrossRef]
- Wang, X.; Zhang, H.; Fan, H.; Yang, X.; Fan, J.; Wu, P.; Ni, Y.; Hu, S. Multimodal MRI Deep Learning for Predicting Central Lymph Node Metastasis in Papillary Thyroid Cancer. Cancers 2024, 16, 4042. [Google Scholar] [CrossRef] [PubMed]
- Leboulleux, S.; Girard, E.; Rose, M.; Travagli, J.P.; Sabbah, N.; Caillou, B.; Hartl, D.M.; Lassau, N.; Baudin, E.; Schlumberger, M. Ultrasound Criteria of Malignancy for Cervical Lymph Nodes in Patients Followed Up for Differentiated Thyroid Cancer. J. Clin. Endocr. Metab. 2007, 92, 3590–3594. [Google Scholar] [CrossRef] [PubMed]
- Sun, J.; Li, B.; Li, C.; Li, Y.; Su, F.; Gao, Q.; Wu, F.; Yu, T.; Lang, W. Computed Tomography versus Magnetic Resonance Imaging for Diagnosing Cervical Lymph Node Metastasis of Head and Neck Cancer: A Systematic Review and Meta-Analysis. Oncotargets Ther. 2015, 8, 1291–1313. [Google Scholar]
- Perrier, N.D.; Brierley, J.D.; Tuttle, R.M. Differentiated and Anaplastic Thyroid Carcinoma: Major Changes in the American Joint Committee on Cancer Eighth Edition Cancer Staging Manual: Differentiated and Anaplastic Thyroid Carcinoma: AJCC Staging Manual Eighth Edition Changes. CA. Cancer J. Clin. 2018, 68, 55–63. [Google Scholar]
- Eskander, A.; Merdad, M.; Freeman, J.L.; Witterick, I.J. Pattern of Spread to the Lateral Neck in Metastatic Well-Differentiated Thyroid Cancer: A Systematic Review and Meta-Analysis. Thyroid. 2013, 23, 583–592. [Google Scholar] [CrossRef]
- van de Berg, D.J.; Rodriguez Schaap, P.M.; Jamaludin, F.S.; van Santen, H.M.; Clement, S.C.; Vriens, M.R.; van Trotsenburg, A.S.P.; Mooij, C.F.; Bruinstroop, E.; Kruijff, S.; et al. The Definition of Recurrence of Differentiated Thyroid Cancer: A Systematic Review of the Literature. Thyroid. 2024, 34, 1324–1334. [Google Scholar] [CrossRef]
- Qin, H.; Que, Q.; Lin, P.; Li, X.; Wang, X.; He, Y.; Chen, J.; Yang, H. Magnetic Resonance Imaging (MRI) Radiomics of Papillary Thyroid Cancer (PTC): A Comparison of Predictive Performance of Multiple Classifiers Modeling to Identify Cervical Lymph Node Metastases before Surgery. Radiol. Med. 2021, 126, 1312–1327. [Google Scholar] [CrossRef]
- Roh, J.-L.; Park, J.-Y.; Rha, K.S.; Park, C.I. Is Central Neck Dissection Necessary for the Treatment of Lateral Cervical Nodal Recurrence of Papillary Thyroid Carcinoma? Head. Neck 2007, 29, 901–906. [Google Scholar] [CrossRef]
- Zhang, H.; Hu, S.; Wang, X.; Liu, W.; He, J.; Sun, Z.; Ge, Y.; Dou, W. Using Diffusion-Weighted MRI to Predict Central Lymph Node Metastasis in Papillary Thyroid Carcinoma: A Feasibility Study. Front. Endocrinol. 2020, 11, 326. [Google Scholar] [CrossRef]
- Renkonen, S.; Lindén, R.; Bäck, L.; Silén, R.; Mäenpää, H.; Tapiovaara, L.; Aro, K. Accuracy of Preoperative MRI to Assess Lateral Neck Metastases in Papillary Thyroid Carcinoma. Eur. Arch. Otorhinolaryngol. 2017, 274, 3977–3983. [Google Scholar] [CrossRef] [PubMed]
- Lamartina, L. Surgery for Neck Recurrence of Differentiated Thyroid Cancer: Outcomes and Risk Factors. J. Clin. Endocr. Metab. 2017, 102, 1020–1031. [Google Scholar]
- Onuma, A.E.; Beal, E.W.; Nabhan, F.; Hughes, T.; Farrar, W.B.; Phay, J.; Ringel, M.D.; Kloos, R.T.; Shirley, L.A. Long-Term Efficacy of Lymph Node Reoperation for Persistent Papillary Thyroid Cancer: 13-Year Follow-Up. Ann. Surg. Oncol. 2019, 26, 1737–1743. [Google Scholar] [CrossRef]
- Park, S.C.; Jo, S.H.; Ryu, H.W.; Ma, H.Y.; Kwon, Y.B.; Na, Y.M.; Cho, J.S.; Park, M.H.; Yoo, S.W.; Kwon, S.Y.; et al. Predictive Factors for Re-Recurrence in Papillary Thyroid Carcinoma Following Reoperation: A Retrospective Analysis. Gland. Surg. 2025, 14, 1753–1762. [Google Scholar] [CrossRef]
- Hung, M.L.; Wu, J.X.; Li, N.; Livhits, M.J.; Yeh, M.W. Association of Radioactive Iodine Administration After Reoperation with Outcomes Among Patients with Recurrent or Persistent Papillary Thyroid Cancer. JAMA Surg. 2018, 153, 1098. [Google Scholar] [CrossRef] [PubMed]
- Kuo, P.; Mehra, S.; Sosa, J.A.; Roman, S.A.; Husain, Z.A.; Burtness, B.A.; Tate, J.P.; Yarbrough, W.G.; Judson, B.L. Proposing prognostic thresholds for lymph node yield in clinically lymph node-negative and lymph node-positive cancers of the oral cavity. Cancer 2016, 122, 3624–3631. [Google Scholar] [CrossRef] [PubMed]
- Divi, V.; Harris, J.; Harari, P.M.; Cooper, J.S.; McHugh, J.; Bell, D.; Sturgis, E.M.; Cmelak, A.J.; Suntharalingam, M.; Raben, D.; et al. Establishing quality indicators for neck dissection: Correlating the number of lymph nodes with oncologic outcomes (NRG Oncology RTOG 9501 and RTOG 0234). Cancer 2016, 122, 3464–3471. [Google Scholar] [CrossRef]
- Heaton, C.M.; Chang, J.L.; Orloff, L.A. Prognostic Implications of Lymph Node Yield in Central and Lateral Neck Dissections for Well-Differentiated Papillary Thyroid Carcinoma. Thyroid 2016, 26, 434–440. [Google Scholar] [CrossRef]
- Schneider, D.F.; Mazeh, H.; Chen, H.; Sippel, R.S. Lymph node ratio predicts recurrence in papillary thyroid cancer. Oncologist 2013, 18, 157–162. [Google Scholar] [CrossRef]
- Yu, S.-T.; Ge, J.; Wei, Z.; Sun, B.; Xiao, Z.; Li, T.; Zhang, Z.; Chen, W.; Lei, S.-T. The Lymph Node Yield in the Initial Lateral Neck Dissection Predicts Recurrence in the Lateral Neck of Papillary Thyroid Carcinoma: A Revision Surgery Cohort Study. Int. J. Surg. 2023, 109, 1264–1270. [Google Scholar] [CrossRef] [PubMed]
- Sanabria, A.; Betancourt, C.; Sánchez, J.G.; García, C. Prophylactic Central Neck Lymph Node Dissection in Low-Risk Thyroid Carcinoma Patients Does Not Decrease the Incidence of Locoregional Recurrence: A Meta-Analysis of Randomized Trials. Ann. Surg. 2022, 276, 66–73. [Google Scholar] [CrossRef]
- Hedman, C.; Strang, P.; Djärv, T.; Widberg, I.; Lundgren, C.I. Anxiety and Fear of Recurrence Despite a Good Prognosis: An Interview Study with Differentiated Thyroid Cancer Patients. Thyroid 2017, 27, 1417–1423. [Google Scholar] [CrossRef] [PubMed]
- Palazzo, F.F.; Gosnell, J.; Savio, R.; Reeve, T.S.; Sidhu, S.B.; Sywak, M.S.; Robinson, B.; Delbridge, L.W. Lymphadenectomy for Papillary Thyroid Cancer: Changes in Practice over Four Decades. Eur. J. Surg. Oncol. 2006, 32, 340–344. [Google Scholar] [CrossRef]
- Kavutarapu, S.K.; Ankathi, S.K.; Thiagarajan, S.; Deshmukh, A.; Nair, D.; Pai, P.S.; Chaukar, D.A.; Pantvaidya, G. Diagnostic Accuracy of Ultrasonography in Revision Thyroid Surgery: Can It Predict Disease Outcomes? Indian. J. Surg. Oncol. 2024, 15, 684–692. [Google Scholar] [CrossRef]
- Hlozek, J.; Pekova, B.; Rotnágl, J.; Holý, R.; Astl, J. Genetic Changes in Thyroid Cancers and the Importance of Their Preoperative Detection in Relation to the General Treatment and Determination of the Extent of Surgical Intervention—A Review. Biomedicines 2022, 10, 1515. [Google Scholar] [CrossRef] [PubMed]
- Medas, F.; Tuveri, M.; Canu, G.L.; Erdas, E.; Calo, P.G. Complications after Reoperative Thyroid Surgery: Retrospective Evaluation of 152 Consecutive Cases. Updates Surg. 2019, 71, 705–710. [Google Scholar] [CrossRef]




| Characteristics | Before Matching | After Matching | ||||||
|---|---|---|---|---|---|---|---|---|
| US Group (n = 299) | US+MRI Group (n = 76) | p-Value | SMD | US Group (n = 103) | US+MRI Group (n = 63) | p-Value | SMD * | |
| Age (year, median [IQR]) | 37.67 [28.41, 46.38] | 35.50 [28.06, 42.71] | 0.418 | 0.113 | 35.58 [27.17, 44.92] | 34.04 [27.40, 41.61] | 0.718 | 0.057 |
| Gender, n (%) | ||||||||
| Female | 222 (74.25) | 48 (63.16) | 0.075 | 0.241 | 71 (70.30) | 47 (75.81) | 0.560 | 0.124 |
| Male | 77 (25.75) | 28 (36.84) | 30 (29.70) | 15 (24.19) | ||||
| BMI (median [IQR]) | 23.00 [20.60, 25.45] | 22.50 [21.17, 25.08] | 0.999 | 0.011 | 22.30 [20.40, 25.20] | 22.50 [21.12, 24.85] | 0.697 | 0.067 |
| Hashimoto’s thyroiditis, n (%) | 87 (29.10) | 20 (26.32) | 0.736 | 0.062 | 30 (29.70) | 17 (27.42) | 0.893 | 0.051 |
| Primary operation type, n (%) | ||||||||
| Total thyroidectomy | 272 (90.97) | 68 (89.47) | 0.857 | 0.05 | 92 (91.09) | 55 (88.71) | 0.822 | 0.079 |
| Lobectomy/Other | 27 (9.03) | 8 (10.53) | 9 (8.91) | 7 (11.29) | ||||
| Tumor size, n (%) | ||||||||
| ≤10 mm | 53 (17.73) | 16 (21.05) | 0.791 | 0.132 | 19 (18.81) | 13 (20.97) | 0.733 | 0.181 |
| 10–20 mm | 103 (34.45) | 28 (36.84) | 35 (34.65) | 22 (35.48) | ||||
| 20–40 mm | 112 (37.46) | 24 (31.58) | 41 (40.59) | 21 (33.87) | ||||
| >40 mm | 31 (10.37) | 8 (10.53) | 6 (5.94) | 6 (9.68) | ||||
| Primary LN metastasis, n (%) | ||||||||
| N0 | 23 (7.69) | 6 (7.89) | 0.974 | 0.03 | 10 (9.90) | 5 (8.06) | 0.923 | 0.065 |
| N1a | 150 (50.17) | 37 (48.68) | 49 (48.51) | 31 (50.00) | ||||
| N1b | 126 (42.14) | 33 (43.42) | 42 (41.58) | 26 (41.94) | ||||
| Primary PLN ≥ 5, n (%) | 170 (56.86) | 41 (53.95) | 0.744 | 0.059 | 58 (57.43) | 33 (53.23) | 0.718 | 0.085 |
| RAI before reoperation, n (%) | 196 (65.55) | 46 (60.53) | 0.494 | 0.104 | 69 (68.32) | 38 (61.29) | 0.455 | 0.148 |
| Tg before reoperation, n (%) | ||||||||
| <0.2 | 49 (16.39) | 13 (17.11) | 0.792 | 0.169 | 16 (15.84) | 13 (20.97) | 0.871 | 0.180 |
| 0.2–1 | 45 (15.05) | 11 (14.47) | 17 (16.83) | 9 (14.52) | ||||
| 1–5 | 102 (34.11) | 31 (40.79) | 38 (37.62) | 25 (40.32) | ||||
| 5–10 | 42 (14.05) | 8 (10.53) | 9 (8.91) | 4 (6.45) | ||||
| ≥10 | 61 (20.40) | 13 (17.11) | 21 (20.79) | 11 (17.74) | ||||
| FNA confirmation before reoperation, n (%) | 94 (31.44) | 31 (40.79) | 0.159 | 0.196 | 38 (37.62) | 23 (37.10) | 1.000 | 0.011 |
| First reoperation, n (%) | 241 (80.60) | 59 (77.63) | 0.676 | 0.073 | 83 (82.18) | 49 (79.03) | 0.771 | 0.080 |
| Reoperation interval ≥1 year, n (%) | 185 (61.87) | 42 (55.26) | 0.357 | 0.134 | 62 (61.39) | 37 (59.68) | 0.959 | 0.035 |
| Initial operation institutions, n (%) | ||||||||
| WHUH | 120 (40.13) | 21 (27.63) | 0.061 | 0.266 | 39 (38.61) | 20 (32.26) | 0.514 | 0.133 |
| Others | 179 (59.87) | 55 (72.37) | 62 (61.39) | 42 (67.74) | ||||
| Variables After PSM | US Group | US+MRI Group | p-Value |
|---|---|---|---|
| Size of focus (median [IQR]) | 1.00 [0.67, 1.60] | 1.10 [0.70, 1.60] | 0.441 |
| Thyroid bed recurrence, n (%) | 9 (8.91) | 4 (6.45) | 0.791 |
| Extranodal extension, n (%) | 18 (17.82) | 12 (19.35) | 0.970 |
| Central neck dissection, n (%) | |||
| without | 55 (54.46) | 22 (34.92) | 0.018 |
| unilateral | 21 (20.79) | 24 (38.10) | |
| bilateral | 25 (24.75) | 17 (26.98) | |
| Lateral neck dissection, n (%) | |||
| without | 4 (3.96) | 3 (4.84) | 0.698 |
| unilateral | 63 (62.38) | 42 (67.74) | |
| bilateral | 34 (33.66) | 17 (27.42) | |
| Reoperative LNY *, (median [IQR]) | |||
| central | 5.50 [2.25, 10.75] | 6.00 [4.00, 13.00] | 0.279 |
| lateral | 18.00 [13.00, 27.00] | 24.00 [17.00, 42.00] | 0.001 |
| Total | 20.00 [13.00, 30.00] | 29.00 [22.25, 45.75] | <0.001 |
| Reoperative PLN *, (median [IQR]) | |||
| central | 2.00 [1.00, 4.00] | 1.00 [0.00, 3.00] | 0.139 |
| lateral | 3.00 [1.00, 7.50] | 3.00 [2.00, 5.50] | 0.994 |
| Total | 4.00 [2.00, 9.00] | 5.00 [3.00, 7.00] | 0.218 |
| Reoperative LNR *, (median [IQR]) | |||
| central | 0.48 [0.25, 0.66] | 0.22 [0.00, 0.50] | 0.019 |
| lateral | 0.20 [0.08, 0.33] | 0.13 [0.10, 0.24] | 0.258 |
| Total | 0.24 [0.14, 0.38] | 0.14 [0.10, 0.28] | 0.004 |
| Disease Status | N (%) of Patients | p-Value * | |
|---|---|---|---|
| US Group | US+MRI Group | ||
| After Reoperation: first assessment | |||
| Excellent response | 28 (27.72) | 31 (50.00) | 0.017 |
| Indeterminate response | 40 (39.60) | 15 (24.19) | |
| Biochemical Incomplete response | 28 (27.72) | 11 (17.74) | |
| Structural Incomplete response | 5 (4.95) | 5 (8.06) | |
| After Reoperation: last assessment | |||
| Excellent response | 38 (37.62) | 36 (58.06) | 0.078 |
| Indeterminate response | 25 (24.75) | 12 (19.35) | |
| Biochemical Incomplete response | 15 (14.85) | 5 (8.06) | |
| Structural Incomplete response | 23 (22.77) | 9 (14.52) |
| Complications After Reoperation | Before Matching | After Matching | ||||
|---|---|---|---|---|---|---|
| US Group (n = 299) | US+MRI Group (n = 76) | p Value | US Group (n = 103) | US+MRI Group (n = 63) | p Value | |
| Hypoparathyroidism *, n (%) | ||||||
| Transient (<6 months) | 18 (6.02%) | 7 (9.21) | 0.296 | 11 (10.68) | 5 (7.94) | 0.554 |
| Permanent (≥6 months) | 7 (2.34) | 3 (3.95) | 0.429 | 4 (3.88) | 3 (4.76) | 0.780 |
| Recurrent Laryngeal Nerve Injury, n (%) | ||||||
| Transient (<6 months) | 5 (1.67) | 2 (2.63) | 0.635 | 4 (3.88) | 2 (3.17) | 0.999 |
| Permanent (≥6 months) | 3 (1.00) | 2 (2.63) | 0.272 | 3 (2.91) | 2 (3.17) | 1.000 |
| Bilateral injury | 1 (0.33) | 1 (1.32) | 0.329 | 1 (0.97) | 1 (1.59) | 0.998 |
| Wound infection, n (%) | 12 (4.01) | 4 (5.26) | 0.621 | 5 (4.85) | 3 (4.76) | 1.000 |
| Chyle leak, n (%) | 3 (1.00) | 1 (1.32) | 1.000 | 2 (1.94) | 1 (1.59) | 1.000 |
| Hematoma, n (%) | 8 (2.68) | 4 (5.26) | 0.267 | 5 (4.85) | 4 (6.35) | 0.731 |
| Tracheal/Esophageal Injury, n (%) | 1 (0.33) | 0 (0.00) | 1.000 | 1 (0.97) | 0 (0.00) | 1.000 |
| Total complication rate, n (%) | 45 (15.05) | 15 (19.74) | 0.316 | 26 (25.24) | 14 (22.22) | 0.665 |
Disclaimer/Publisher’s Note: The statements, opinions and data contained in all publications are solely those of the individual author(s) and contributor(s) and not of MDPI and/or the editor(s). MDPI and/or the editor(s) disclaim responsibility for any injury to people or property resulting from any ideas, methods, instructions or products referred to in the content. |
© 2026 by the authors. Licensee MDPI, Basel, Switzerland. This article is an open access article distributed under the terms and conditions of the Creative Commons Attribution (CC BY) license.
Share and Cite
Tang, Z.; Liu, J.; Wang, R.; Tian, G.; Ren, A.; Li, J.; Wang, Y.; Yang, W.; Sun, P.; Huang, T.; et al. Combined Ultrasound and MRI Assessment in Patients Undergoing Reoperation for Recurrent Papillary Thyroid Carcinoma: Oncological Outcomes and Surgical Safety. Curr. Oncol. 2026, 33, 98. https://doi.org/10.3390/curroncol33020098
Tang Z, Liu J, Wang R, Tian G, Ren A, Li J, Wang Y, Yang W, Sun P, Huang T, et al. Combined Ultrasound and MRI Assessment in Patients Undergoing Reoperation for Recurrent Papillary Thyroid Carcinoma: Oncological Outcomes and Surgical Safety. Current Oncology. 2026; 33(2):98. https://doi.org/10.3390/curroncol33020098
Chicago/Turabian StyleTang, Zimei, Jie Liu, Rong Wang, Gang Tian, Anwen Ren, Jiexiao Li, Yiran Wang, Wen Yang, Peng Sun, Tao Huang, and et al. 2026. "Combined Ultrasound and MRI Assessment in Patients Undergoing Reoperation for Recurrent Papillary Thyroid Carcinoma: Oncological Outcomes and Surgical Safety" Current Oncology 33, no. 2: 98. https://doi.org/10.3390/curroncol33020098
APA StyleTang, Z., Liu, J., Wang, R., Tian, G., Ren, A., Li, J., Wang, Y., Yang, W., Sun, P., Huang, T., Zhang, X., & Ming, J. (2026). Combined Ultrasound and MRI Assessment in Patients Undergoing Reoperation for Recurrent Papillary Thyroid Carcinoma: Oncological Outcomes and Surgical Safety. Current Oncology, 33(2), 98. https://doi.org/10.3390/curroncol33020098

