Prognostic Relevance of Inflammatory Cytokines Il-6 and TNF-Alpha in Patients with Breast Cancer: A Systematic Review and Meta-Analysis
Abstract
1. Introduction
2. Materials and Methods
2.1. Registry
2.2. Eligibility Criteria
2.3. Search Strategy and Study Selection
2.4. Data Extraction
2.5. Risk of Bias Assessment
2.6. Statistical Analysis
2.7. Response to Treatment
- Overall response rate (ORR)
- Complete response rate (CRR)
- Partial response rate (PRR)
2.8. Qualitative Synthesis
2.8.1. Quantitative Synthesis
2.8.2. Additional Analyses
3. Results
3.1. Eligible Studies
3.2. Study Characteristics
3.3. Risk of Bias Assessment
3.4. Meta-Analysis for IL-6 and Breast Cancer
3.5. Meta-Analysis for TNF-Alpha and Breast Cancer
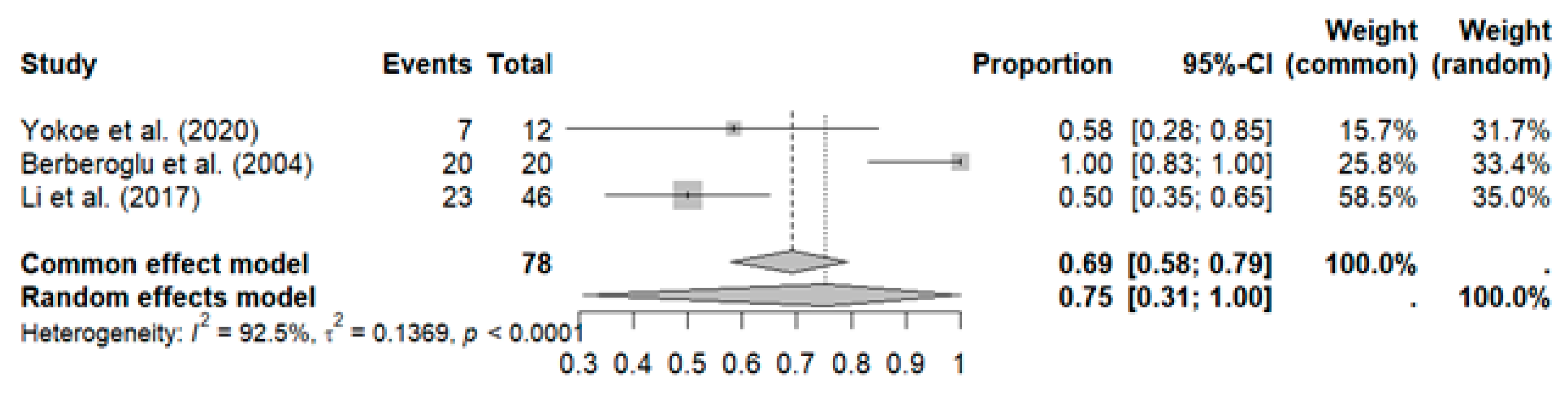
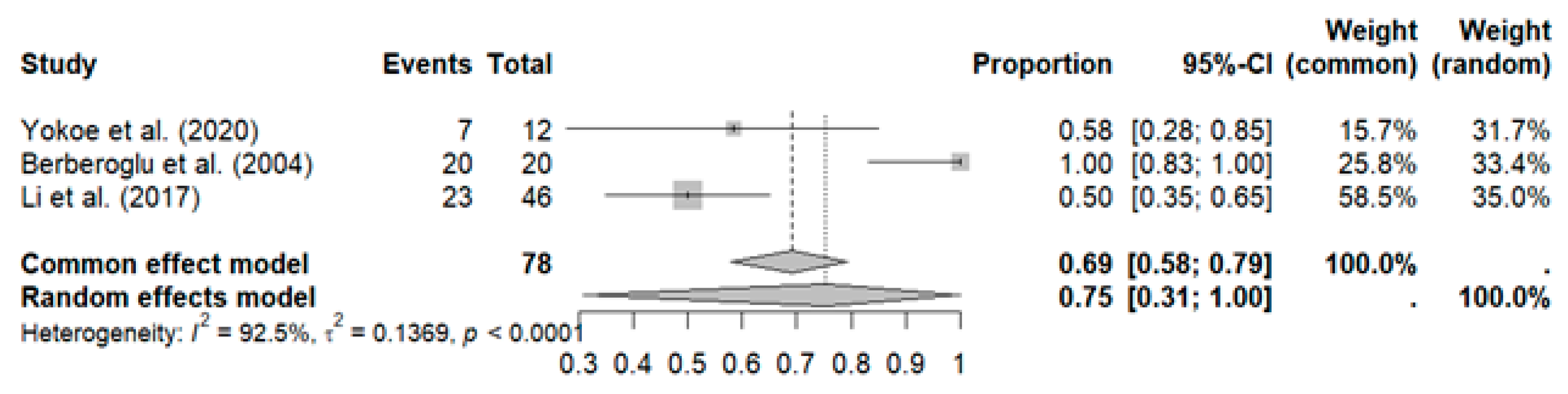
3.6. Meta-Analysis for Treatment Response
4. Discussion
4.1. Main Results
4.2. Heterogeneity
4.3. Biological Plausibility
4.4. Implications and Practical Perspectives
4.5. Limitations
5. Conclusions
Supplementary Materials
Author Contributions
Funding
Institutional Review Board Statement
Informed Consent Statement
Data Availability Statement
Conflicts of Interest
Abbreviations
| ER | Estrogen receptor |
| PR | Progesterone receptor |
| HER2 | Human epidermal growth factor receptor 2 |
| VEGF | Vascular endothelial growth factor |
| TOPOII | Topoisomerase II |
| SR | Systematic review |
| EIA | Enzyme immunoassay |
| CLIA | Chemiluminescence immunoassay |
| NOS | Newcastle–Ottawa scale |
| OS | Overall survival |
| ORR | Overall response rate |
| CRR | Complete response rate |
| PRT | Partial response rate |
References
- Chen, J.; Wei, Y.; Yang, W.; Huang, Q.; Chen, Y.; Zeng, K.; Chen, J. IL-6: The Link Between Inflammation, Immunity and Breast Cancer. Front. Oncol. 2022, 12, 903800. [Google Scholar] [CrossRef] [PubMed]
- Hoxha, I.; Sadiku, F.; Hoxha, L.; Nasim, M.; Christine Buteau, M.A.; Grezda, K.; Chamberlin, M. Breast Cancer and Lifestyle Factors: Umbrella Review. Hematol. Oncol. Clin. N. Am. 2024, 38, 137–170. [Google Scholar] [CrossRef] [PubMed]
- Dandena, F.G.; Teklewold, B.T.; Darebo, T.D.; Suga, Y.D. Epidemiology and clinical characteristics of breast cancer in Ethiopia: A systematic review. BMC Cancer 2024, 24, 1102. [Google Scholar] [CrossRef]
- Wilkinson, L.; Gathani, T. Understanding breast cancer as a global health concern. Br. J. Radiol. 2022, 95, 20211033. [Google Scholar] [CrossRef] [PubMed]
- Giaquinto, A.N.; Sung, H.; Newman, L.A.; Freedman, R.A.; Smith, R.A.; Star, J.; Jemal, A. Breast cancer statistics 2024. CA Cancer J. Clin. 2024, 74, 477–495. [Google Scholar] [CrossRef]
- Khajoei, R.; Azadeh, P.; Zohari Anboohi, S.; Ilkhani, M.; Nabavi, F.H. Breast cancer survivorship needs: A qualitative study. BMC Cancer 2024, 24, 96. [Google Scholar] [CrossRef]
- Carlino, F.; Solinas, C.; Orditura, M.; Bisceglia, M.D.; Pellegrino, B.; Diana, A. Editorial: Heterogeneity in breast cancer: Clinical and therapeutic implications. Front. Oncol. 2024, 14, 1321654. [Google Scholar] [CrossRef]
- Shuai, Y.; Ma, Z.; Ju, J.; Wei, T.; Gao, S.; Kang, Y.; Yang, Z.; Wang, X.; Yue, J.; Yuan, P. Liquid-based biomarkers in breast cancer: Looking beyond the blood. J. Transl. Med. 2023, 21, 809. [Google Scholar] [CrossRef]
- Golestan, A.; Tahmasebi, A.; Maghsoodi, N.; Faraji, S.N.; Irajie, C.; Ramezani, A. Unveiling promising breast cancer biomarkers: An integrative approach combining bioinformatics analysis and experimental verification. BMC Cancer 2024, 24, 155. [Google Scholar] [CrossRef]
- Cervantes-Díaz, M.T.; Piña-Sánchez, p.; Leal-Herrera, Y.A. El uso de biomarcadores en cáncer de mama. Rev. Med. Inst. Mex. Seguro Soc. 2020, 58, 83–90. [Google Scholar] [CrossRef]
- Das, S.; Dey, M.K.; Devireddy, R.; Gartia, M.R. Biomarkers in Cancer Detection, Diagnosis, and Prognosis. Sensors 2024, 24, 37. [Google Scholar] [CrossRef]
- Lopez-Gonzalez, L.; Sanchez Cendra, A.; Sanchez Cendra, C.; Roberts Cervantes, E.D.; Espinosa, J.C.; Pekarek, T.; Fraile-Martinez, O.; García-Montero, C.; Rodriguez-Slocker, A.M.; Jiménez-Álvarez, L.; et al. Exploring Biomarkers in Breast Cancer: Hallmarks of Diagnosis, Treatment, and Follow-Up in Clinical Practice. Medicina 2024, 60, 168. [Google Scholar] [CrossRef] [PubMed]
- Krystel-Whittemore, M.; Tan, P.H.; Wen, H.Y. Predictive and prognostic biomarkers in breast tumours. Pathology 2024, 56, 186–191. [Google Scholar] [CrossRef]
- Hu, S.; Tey, S.K.; Kwong, A. Adipogenesis biomarkers as the independent predictive factors for breast cancer recurrence: A systematic review and meta-analysis. BMC Cancer 2024, 24, 1181. [Google Scholar] [CrossRef]
- Behl, T.; Kumar, A.; Vishakha Sehgal, A.; Singh, S.; Sharma, N.; Yadav, S.; Rashid, S.; Ali, N.; Ahmed, S.; Vargas de la Cruz, C.; et al. Understanding the mechanistic pathways and clinical aspects associated with protein and gene based biomarkers in breast cancer. Int. J. Biol. Macromol. 2023, 253, 126595. [Google Scholar] [CrossRef]
- Bel’skaya, L.V.; Dyachenko, E.I. Salivary Biomarkers in Breast Cancer: From Salivaomics to Salivaoncoomics. Front. Biosci. Landmark 2024, 29, 253. [Google Scholar] [CrossRef]
- Shornale Akter, M.; Uddin, M.d.H.; Atikur Rahman, S.; Hossain, M.d.A.; Ashik, M.d.A.R.; Zaman, N.N.; Faruk, O.; Hossain, S.; Parvin, A.; Rahman, H.; et al. Transcriptomic analysis revealed potential regulatory biomarkers and repurposable drugs for breast cancer treatment. Cancer Rep. 2024, 7, e2009. [Google Scholar] [CrossRef]
- Tarighati, E.; Keivan, H.; Mahani, H. A review of prognostic and predictive biomarkers in breast cancer. Clin. Exp. Med. 2023, 23, 1–16. [Google Scholar] [CrossRef] [PubMed]
- Abbasi-Dokht, T.; Malek, F.; Nafissi, N.; Mohammadlou, M.; Sheikh, M.; Akbari, S.; Zargaran, M.H.; Baharlou, R. Assessing angiogenesis factors as prognostic biomarkers in breast cancer patients and their association with clinicopathological factors. Biomarkers 2024, 29, 36–43. [Google Scholar] [CrossRef]
- Moar, K.; Pant, A.; Saini, V.; Pandey, M.; Maurya, P.K. Potential diagnostic and prognostic biomarkers for breast cancer: A compiled review. Pathol. Res. Pract. 2023, 251, 154893. [Google Scholar] [CrossRef]
- Ray, S.K.; Mukherjee, S. Breast cancer stem cells as novel biomarkers. Clin. Chim. Acta 2024, 557, 117855. [Google Scholar] [CrossRef] [PubMed]
- Cruceriu, D.; Baldasici, O.; Balacescu, O.; Berindan-Neagoe, I. The dual role of tumor necrosis factor-alpha (TNF-α) in breast cancer: Molecular insights and therapeutic approaches. Cell. Oncol. 2020, 43, 1–18. [Google Scholar] [CrossRef] [PubMed]
- Tripsianis, G.; Papadopoulou, E.; Anagnostopoulos, K.; Botaitis, S.; Katotomichelakis, M.; Romanidis, K.; Kontomanolis, E.; Kortsaris, T. Coexpression of IL-6 and TNF-α: Prognostic significance on breast cancer outcome. Neoplasma 2014, 61, 205–212. [Google Scholar] [CrossRef]
- Zhao, H.; Wu, L.; Yan, G.; Chen, Y.; Zhou, M.; Wu, Y.; Li, Y. Inflammation and tumor progression: Signaling pathways and targeted intervention. Signal Transduct. Target. Ther. 2021, 6, 263. [Google Scholar] [CrossRef]
- Chang, P.; Pan, Y.; Fan, C.; Tseng, W.; Huang, J.; Wu, T.; Chou, W.; Wang, C.; Yeh, K. Pretreatment serum interleukin-1 β, interleukin-6, and tumor necrosis factor- α levels predict the progression of colorectal cancer. Cancer Med. 2016, 5, 426–433. [Google Scholar] [CrossRef]
- Pawlik, W.; Pawlik, J.; Kozłowski, M.; Łuczkowska, K.; Kwiatkowski, S.; Kwiatkowska, E.; Machalinski, B.; Cymbaluk-Płoska, A. The Clinical Importance of IL-6, IL-8, and TNF-α in Patients with Ovarian Carcinoma and Benign Cystic Lesions. Diagnostics 2021, 11, 1625. [Google Scholar] [CrossRef]
- Galizia, G.; Orditura, M.; Romano, C.; Lieto, E.; Castellano, P.; Pelosio, L.; Imperatore, V.; Catalano, G.; Pignatelli, C.; De Vita, f. Prognostic Significance of Circulating IL-10 and IL-6 Serum Levels in Colon Cancer Patients Undergoing Surgery. Clin. Immunol. 2002, 102, 169–178. [Google Scholar] [CrossRef]
- Mihara, M.; Hashizume, M.; Yoshida, H.; Suzuki, M.; Shiina, M. IL-6/IL-6 receptor system and its role in physiological and pathological conditions. Clin. Sci. 2012, 122, 143–159. [Google Scholar] [CrossRef] [PubMed]
- Solinas, G.; Marchesi, F.; Garlanda, C.; Mantovani, A.; Allavena, P. Inflammation-mediated promotion of invasion and metastasis. Cancer Metastasis Rev. 2010, 29, 243–248. [Google Scholar] [CrossRef]
- Huang, W.C.; Hung, C.M.; Wei, C.T.; Chen, T.M.; Chien, P.H.; Pan, H.L.; Chen, Y.J. Interleukin-6 expression contributes to lapatinib resistance through maintenance of stemness property in HER2-positive breast cancer cells. Oncotarget 2016, 7, 62352. [Google Scholar] [CrossRef]
- Hou, L.; Xie, S.; Li, G.; Xiong, B.; Gao, Y.; Zhao, X.; Jiang, J. IL-6 Triggers the Migration and Invasion of Oestrogen Receptor-Negative Breast Cancer Cells via Regulation of Hippo Pathways. Bas. Clin. Pharmacol. Toxicol. 2018, 123, 549–557. [Google Scholar] [CrossRef]
- Moher, D.; Liberati, A.; Tetzlaff, J.; Altman, D.G.; Group, T.P. Preferred Reporting Items for Systematic Reviews and Meta-Analyses: The PRISMA Statement. PLoS Med. 2009, 6, e1000097. [Google Scholar] [CrossRef] [PubMed]
- Modesti, P.A.; Reboldi, G.; Cappuccio, F.P.; Agyemang, C.; Remuzzi, G.; Rapi, S.; Perruolo, E.; Parati, G. Panethnic Differences in Blood Pressure in Europe: A Systematic Review and Meta-Analysis. PLoS ONE 2016, 11, e0147601. [Google Scholar] [CrossRef] [PubMed]
- Yokoe, T.; Iino, Y.; Morishita, Y. Trends of IL-6 and IL-8 levels in patients with recurrent breast cancer: Preliminary report. Breast Cancer 2000, 7, 187–190. [Google Scholar] [CrossRef]
- Bachelot, T.; Ray-Coquard, I.; Menetrier-Caux, C.; Rastkha, M.; Duc, A.; Blay, J.Y. Prognostic value of serum levels of interleukin 6 and of serum and plasma levels of vascular endothelial growth factor in hormone-refractory metastatic breast cancer patients. Br. J. Cancer 2003, 88, 1721–1726. [Google Scholar] [CrossRef]
- Berberoglu, U.; Yildirim, E.; Celen, O. Serum levels of tumor necrosis factor alpha correlate with response to neoadjuvant chemotherapy in locally advanced breast cancer. Int. J. Bio.l Markers 2004, 19, 130–134. [Google Scholar] [CrossRef]
- Papadopoulou, E.; Tripsianis, G.; Anagnostopoulos, K.; Tentes, I.; Kakolyris, S.; Galazios, G.; Sivridis, E.; Simopoulos, K.; Kortsaris, A. Significance of serum tumor necrosis factor-alpha and its combination with HER-2 codon 655 polymorphism in the diagnosis and prognosis of breast cancer. Int. J. Biol. Markers 2010, 25, 126–135. [Google Scholar] [CrossRef] [PubMed]
- Noman, A.S.; Uddin, M.; Chowdhury, A.A.; Nayeem, M.J.; Raihan, Z.; Rashid, M.I.; Azad, A.K.; Rahman, M.L.; Barua, D.; Sultana, A. Serum sonic hedgehog (SHH) and interleukin-(IL-6) as dual prognostic biomarkers in progressive metastatic breast cancer. Sci. Rep. 2017, 7, 1796. [Google Scholar] [CrossRef]
- Fuksiewicz, M.; Kowalska, M.; Kotowicz, B.; Rubach, M.; Chechlinska, M.; Pienkowski, T.; Kaminska, J. Serum soluble tumour necrosis factor receptor type I concentrations independently predict prognosis in patients with breast cancer. Clin. Chem. Lab. Med. 2010, 48, 1481–1486. [Google Scholar] [CrossRef]
- Tripsianis, G.; Papadopoulou, E.; Romanidis, K.; Katotomichelakis, M.; Anagnostopoulos, K.; Kontomanolis, E.; Botaitis, S.; Tentes, I.; Kortsaris, A. Overall survival and clinicopathological characteristics of patients with breast cancer in relation to the expression pattern of HER-2, IL-6, TNF-α and TGF-β1. Asian Pac. J. Cancer Prev. 2013, 14, 6813–6820. [Google Scholar] [CrossRef]
- Li, F.; Wei, L.; Li, S.; Liu, J. Indoleamine-2,3-dioxygenase and Interleukin-6 associated with tumor response to neoadjuvant chemotherapy in breast cancer. Oncotarget 2017, 8, 107844–107858. [Google Scholar] [CrossRef][Green Version]
- Sparano, J.A.; O’Neill, A.; Graham, N.; Northfelt, D.W.; Dang, C.T.; Wolff, A.C.; Sledge, G.; Miller, K. Inflammatory cytokines and distant recurrence in HER2-negative early breast cancer. NPJ Breast Cancer 2022, 8, 16. [Google Scholar] [CrossRef]
- Trédan, O.; Ray-Coquard, I.; Chvetzoff, G.; Rebattu, P.; Bajard, A.; Chabaud, S.; Bachelot, T. Validation of prognostic scores for survival in cancer patients beyond first-line therapy. BMC Cancer 2011, 11, 1–9. [Google Scholar] [CrossRef][Green Version]
- Bozcuk, H.; Uslu, G.; Samur, M.; Yıldız, M.; Özben, T.; Özdoğan, M.; Savaş, B. Tumour necrosis factor-alpha, interleukin-6, and fasting serum insulin correlate with clinical outcome in metastatic breast cancer patients treated with chemotherapy. Cytokine 2004, 27, 58–65. [Google Scholar] [CrossRef]
- Salgado, R.; Junius, S.; Benoy, I.; Van Dam, P.; Vermeulen, P.; Van Marck, E.; Dirix, L.Y. Circulating interleukin-6 predicts survival in patients with metastatic breast cancer. Int. J. Cancer 2003, 103, 642–646. [Google Scholar] [CrossRef]
- Cho, Y.A.; Sung, M.K.; Yeon, J.Y.; Ro, J.; Kim, J. Prognostic role of interleukin-6, interleukin-8, and leptin levels according to breast cancer subtype. Cancer Res. Treat. Off. J. Korean Cancer Assoc. 2013, 45, 210–219. [Google Scholar] [CrossRef]
- Rajski, M.; Vogel, B.; Baty, F.; Rochlitz, C.; Buess, M. Global gene expression analysis of the interaction between cancer cells and osteoblasts to predict bone metastasis in breast cancer. PLoS ONE 2012, 7, e29743. [Google Scholar] [CrossRef]
- Shimura, T.; Shibata, M.; Gonda, K.; Murakami, Y.; Noda, M.; Tachibana, K.; Ohtake, T. Prognostic impact of interleukin-6 and C-reactive protein on patients with breast cancer. Oncol. Lett. 2019, 17, 5139–5146. [Google Scholar] [CrossRef]
- Garrone, O.; Michelotti, A.; Paccagnella, M.; Montemurro, F.; Vandone, A.M.; Abbona, A.; Merlano, M. Exploratory analysis of circulating cytokines in patients with metastatic breast cancer treated with eribulin: The TRANSERI-GONO (Gruppo Oncologico del Nord Ovest) study. ESMO Open 2020, 5, e000876. [Google Scholar] [CrossRef]
- Zhang, G.J.; Adachi, I. Serum interleukin-6 levels correlate to tumor progression and prognosis in metastatic breast carcinoma. Anticancer Res. 1999, 19, 1427–1432. [Google Scholar]
- Karczewska, A.; Nawrocki, S.; Brȩborowicz, D.; Filas, V.; Mackiewicz, A. Expression of interleukin-6, interleukin-6 receptor, and glycoprotein 130 correlates with good prognoses for patients with breast carcinoma. Cancer: Interdiscip. Int. J. Am. Cancer Soc. 2000, 88, 2061–2071. [Google Scholar] [CrossRef]
- Balduzzi, S.; Rücker, G.; Schwarzer, G. How to perform a meta-analysis with R: A practical tutorial. BMJ Ment. Health 2019, 22, 153–160. [Google Scholar] [CrossRef] [PubMed]
- Kelley, G.A.; Kelley, K.S. Evolution of statistical models for meta-analysis and implications for best practice. Curr. Opin. Epidemiol. Public Health 2023, 2, 39. [Google Scholar] [CrossRef]
- Buitrago Garcia, D.C. Meta-Análisis de Prevalencia: Revisión Sistemática de los Métodos Utilizados, Propuesta de una Herramienta para Evaluar la Calidad y Evaluación de los Diferentes Métodos Estadísticos Utilizados para meta Analizar Prevalencias. Master’s thesis, Universidad Nacional de Colombia, Bogotá, Colombia, 2018. Available online: https://repositorio.unal.edu.co/handle/unal/63768 (accessed on 4 December 2024).
- Spineli, L.M.; Pandis, N. Publication bias: Graphical and statistical methods. Am. J. Orthod. Dentofacial Orthop. 2021, 159, 248–251. [Google Scholar] [CrossRef]
- Ding, N.; Geurts, S.M.E.; Tol, J.; Vriens, B.E.P.J.; Aaldering, K.N.A.; Boon, E.; Dercksen, M.W.; Van den Berkmortel, F.; Pepels, M.J.A.E.; Peters, N.A.J.B.; et al. 202P Complete response rates, treatment patterns and survival outcomes in patients treated with first-line pertuzumab-based therapy in HER2-positive advanced breast cancer: A SONABRE study. ESMO Open 2024, 9, 103224. [Google Scholar] [CrossRef]
- Enzyme Linked Immunosorbent Assay—StatPearls—NCBI Bookshelf. Available online: https://www.ncbi.nlm.nih.gov/books/NBK555922/ (accessed on 25 July 2024).
- Mahadevarao Premnath, S.; Zubair, M. Electrochemiluminescence Method; StatPearls Publishing: Treasure Island, FL, USA, 2024. Available online: http://www.ncbi.nlm.nih.gov/books/NBK594228/ (accessed on 25 July 2024).
- Romano, F.; Lanzilao, L.; Russo, E.; Infantino, M.; Nencini, F.; Cappelli, G.; Dugheri, S.; Manfredi, M.; Fanelli, A.; Amedei, A.; et al. Comparison of ELISA with automated ECLIA for IL-6 determination in COVID-19 patients: An Italian real-life experience. Pract. Lab. Med. 2024, 39, e00392. [Google Scholar] [CrossRef] [PubMed]
- Chung, A.W.; Kozielski, A.J.; Qian, W.; Zhou, J.; Anselme, A.C.; Chan, A.A.; Pan, P.Y.; Lee, D.J.; Chang, J.C. Tocilizumab overcomes chemotherapy resistance in mesenchymal stem-like breast cancer by negating autocrine IL-1A induction of IL-6. NPJ Breast Cancer 2022, 8, 1–10. [Google Scholar] [CrossRef]
- Miller, K.A. Phase II Trial of Carboplatin +/− Tocilizumab As Initial Therapy for Metastatic Triple Negative and ER-low Breast Cancers. September 2024. Report No.: NCT05846789. Available online: https://clinicaltrials.gov/study/NCT05846789 (accessed on 26 November 2024).
- University of Michigan Rogel Cancer Center. A Phase 1 Multi-Center Trial of Trastuzumab and Pertuzumab in Combination With Tocilizumab in Subjects With Metastatic HER2 Positive Breast Cancer Resistant to Trastuzumab. September 2021. Report No.: NCT03135171. Available online: https://clinicaltrials.gov/study/NCT03135171 (accessed on 26 November 2024).
- Al-Tweigeri, T.; Alraouji, N.; Tulbah, A.; Akhtar, S.; Alzahrani, M.; Najjar, S.; Ajarim, D.; Suleman, K.; Al Sayed, A.; Aboussekhra, A. Abstract PO3-25-11: Unprecedented responses to neoadjuvant sequential administration of Tocilizumab followed by cisplatin/docetaxel for locally advanced triple negative breast cancer patients. Cancer Res. 2024, 84 (Suppl. S9), PO3-25-11. [Google Scholar] [CrossRef]



| Author, Years | Selection | Comparability | Result | Score | Final Judgment | |||||
|---|---|---|---|---|---|---|---|---|---|---|
| Representativeness of the Sample 1 | Selection of the Unexposed Cohort 2 | Determination of Exposure 3 | Outcome of Interest NOT Present at Baseline 4 | The Study Controls for the Most Important Factor or Additional Factors 5 | Outcome Assessment 6 | Adequate Follow-Up Time 7 | Adequacy of Cohort Follow Up 8 | |||
| Yokoe et al., 2000 [34] | - | - | ![]() | ![]() | - | ![]() | - | ![]() | 4 | High Risk |
| Bachelot et al., 2003 [35] | - | - | ![]() | ![]() | - | ![]() | - | ![]() | 4 | High Risk |
| Berberoglu et al., 2004 [36] | - | - | ![]() | ![]() | ![]() | ![]() | - | ![]() | 5 | High Risk |
| Papadopoulou et al., 2010 [37] | - | - | ![]() | ![]() | ![]() | ![]() | ![]() | ![]() | 6 | High Risk |
| Noman et al., 2017 [38] | - | - | ![]() | - | ![]() | ![]() | ![]() | ![]() | 5 | High Risk |
| Fuksiewicz et al., 2010 [39] | - | - | ![]() | - | ![]() | ![]() | ![]() | ![]() | 5 | High Risk |
| Tripsianis et al., 2013 [40] | - | - | ![]() | ![]() | - | ![]() | ![]() | ![]() | 5 | High Risk |
| Tripsianis et al., 2014 [23] | - | - | ![]() | ![]() | ![]() | ![]() | ![]() | ![]() | 6 | High Risk |
| Li et al., 2017 [41] | - | - | ![]() | ![]() | - | ![]() | ![]() | ![]() | 5 | High Risk |
| Sparano et al., 2022 [42] | - | - | ![]() | ![]() | ![]() | ![]() | ![]() | - | 5 | High Risk |
| Trédan et al., 2011 [43] | ![]() | - | ![]() | ![]() | ![]() | ![]() | ![]() | ![]() | 7 | Low Risk |
| Bozcuk et al., 2004 [44] | ![]() | - | ![]() | ![]() | - | ![]() | - | - | 5 | High Risk |
| Salgado et al., 2003 [45] | ![]() | - | ![]() | ![]() | ![]() | ![]() | ![]() | ![]() | 7 | Low Risk |
| Cho et al., 2013 [46] | ![]() | - | ![]() | ![]() | - | ![]() | ![]() | ![]() | 6 | High Risk |
| Rajski et al., 2012 [47] | - | - | ![]() | - | ![]() | ![]() | - | - | 3 | High Risk |
| Shimura et al., 2019 [48] | ![]() | - | ![]() | ![]() | - | ![]() | - | - | 5 | High Risk |
| Garrone et al., 2020 [49] | ![]() | - | ![]() | ![]() | ![]() | ![]() | ![]() | ![]() | 7 | Low Risk |
| Zhang and Adachi, 1999 [50] | - | - | ![]() | - | - | ![]() | - | - | 3 | High Risk |
| Karczewska et al., 2000 [51] | - | - | ![]() | ![]() | - | ![]() | ![]() | - | 4 | High Risk |
| Author, Year | Country | Study Type | Sample | Measurement of IL-6 and TNF-α | Cutoff Point for IL-6 and TNF-α | Type of Breast Cancer * | Follow-Up Time | Outcome | Response to Treatment |
|---|---|---|---|---|---|---|---|---|---|
| Zhang and Adachi (1999) [50] | Japan | Observational | 46 women with metastatic breast cancer | IL-6: CL-EIA, TNF-α | 4 pg/mL | Metastatic | Up to 32 months | Overall survival, response to treatment | High IL-6 = lower OSand response |
| Karczewska et al. (2000) [51] | Poland | Retrospective observational | 75 women with breast carcinoma | IL-6/IL-6R/gp130 (ARNm in tissue) | Positive vs. negative expression | Early and advanced | 61 months (median) | Overall survival, Progression- free survival | Not specified |
| Yokoe et al., 2000 [34] | Japan | Cohort study | 12 women with recurrent breast cancer, with an average age of 51 years | IL-6: CLIA chemiluminescent immunoassay (blood) | Does not report | ER+ (7), PR (3) | 70 months | Response to treatment (partial or null) | Partial response (n = 7) |
| Bachelot et al., 2003 [35] | France | Cohort study | 87 women with metastatic breast cancer (median 54) | IL-6: serum enzyme immunoassay kit | IL-6: <13 and 55 pg/mL ≥13 and 55 pg/mL | ER+ (58) ER− (23) It is not known (6) | Does not indicate | Overall survival | Did not report |
| Salgado et al. (2003) [45] | Belgium | Prospective observational study | 96 women with previously untreated metastatic cancer | IL-6 serum (ELISA) | 6.6 pg/mL (median) | metastatic | 12 months (median) | Overall survival | IL-6 high = worse prognosis |
| Berberoglu et al., 2004 [36] | Turkey | Prospective cohort study | 20 women with locally advanced breast cancer (median 45 years) and 12 healthy women as controls (median 43 years) | TNF-α: ELISA (serum) | Does not report | ER+ (13), ER− (7), PR+ (11), PR− (9) | Does not indicate | Response to treatment (complete or partial) | Partial response (n = 17) and complete response (n = 3) |
| Bozcuk et al. (2004) [44] | Turkey | Prospective | 43 women with metastatic breast cancer | IL-6 and TNF-α serum | Non-specific (continuous) | Metastatic | Does not indicate | Overall survival, Progression- free survival | Association with progression |
| Trédan et al. (2011) [43] | France | Prospective observational | 299 women with advanced or metastatic cancer | IL-6 serum (immunoassay) | Does not report | Advanced/metastatic | 12 months (median) | Overall survival | Did not report |
| Papadopoulou et al., 2010 [37] | Greece | Prospective cohort study (case–control) | 56 women with primary breast cancer (median 64 years) and 45 healthy women (median 59 years) | TNF-α: ELISA (serum) | TNF-α: <11 pg/mL ≥11 pg/mL | ER+ (37), ER− (19), PR+ (25), PR− (31) HER-2− (25) HER-2+ (31) | 30 months (median) | Overall survival | Did not report |
| Fuksiewicz et al., 2010 [39] | Poland | Prospective cohort study | 210 women with breast cancer (median age 54 years) | TNF-α and IL-6: ELISA (serum) | IL6 (2.4 pg/mL) TNF-α (4.4 pg/mL) | Does not report | 9 years (median) | Overall survival and disease-free survival | Did not report |
| Rajski et al. (2012) [47] | Switzerland | Experimental + clinical in silico | 295 tumors (co-culture and in silico) | IL-6 expression induced in co-culture | High vs. low gene expression | Early (bone metastasis) | 12.6 years (median) | Time to bone metastasis, | Not applicable (bioinformatics) |
| Tripsianis et al., 2013 [40] | Greece | Prospective cohort study | 130 women with primary breast cancer (median age 65 years) | TNF-α and IL-6: ELISA (serum) | IL-6: <7.12 pg/mL ≥7.12 pg/mL TNF-α: <18.80 pg/mL ≥18.80 pg/mL | ER+ (81), PR+ (62) | 31 months (median) | Overall survival | Did not report |
| Cho et al. (2013) [46] | Korea | Prospective | 240 women with breast cancer | IL-6, IL-8, serum leptin | By subgroups | HER2–, ER+ /PR+ | 6 years | Progression-free survival (recurrence) | Associated with recurrence |
| Tripsianis et al., 2014 [23] | Greece | Prospective cohort study | 112 women with primary breast cancer (median 65 years) and 45 healthy women | IL-6 and TNF-α: ELISA (serum) | IL-6: <6.81 pg/mL TNF-α: <18.93 pg/mL | ER+ (78), ER- (34), PR+ (48), PR− (64) HER-2− (51) HER-2+ (61) | 30 months (median) | Survival | Did not report |
| Li et al., 2017 [41] | China | Retrospective cohort study | 46 women with breast cáncer | IL-6: ELISA (serum) | Does not report | Luminal, (30) HER-2 (10), Basal (6) | 5 years | Response to treatment (complete, partial, null) Overall survival | Partial response + Complete response (n = 23) |
| Noman et al., 2017 [38] | Bangladesh | Prospective cohort study | 110 patients (65 with untreated progressive metastatic breast cancer) and 30 healthy women | IL-6: ELISA (serum) | Does not report | Does not report | 3 years | and event-free survival | Did not report |
| Shimura et al. (2019) [48] | Japan | Retrospective observational | 55 women with invasive breast cancer | Serum IL-6 and PCR | IL-6 ≥ 10 pg/mL; PCR ≥ 0.12 mg/dl | Invasive | Not specified | Overall survival, Recurrence- free survival | Not reported |
| Garrone et al. (2020) [49] | Italy | Prospective translational | 41 patients with metastatic cancer (treated with eribulin) | IL-6, TNF-α, IL-8, IL-10, IL-21 (plasma) | By median | Metastatic | During treatment | Overall survival, Progression-free survival | Evaluation by progression |
| Sparano et al., 2022 [42] | USA | Prospective retrospective cohort study | 532 women | IL-6 and TNF-α: V-human cytokine plex, (serum) | Does not report | ER and PR− (180) ER and PR+ (318) | Approx. 5 years | Remote recurrence | Did not report |
Disclaimer/Publisher’s Note: The statements, opinions and data contained in all publications are solely those of the individual author(s) and contributor(s) and not of MDPI and/or the editor(s). MDPI and/or the editor(s) disclaim responsibility for any injury to people or property resulting from any ideas, methods, instructions or products referred to in the content. |
© 2025 by the authors. Licensee MDPI, Basel, Switzerland. This article is an open access article distributed under the terms and conditions of the Creative Commons Attribution (CC BY) license (https://creativecommons.org/licenses/by/4.0/).
Share and Cite
De La Cruz-Vargas, J.A.; Gómez, H.; Talavera, J.E.; Gonzales-Rospigliosi, C.; Córdova Salazar, A.A.; Pichardo-Rodriguez, R. Prognostic Relevance of Inflammatory Cytokines Il-6 and TNF-Alpha in Patients with Breast Cancer: A Systematic Review and Meta-Analysis. Curr. Oncol. 2025, 32, 344. https://doi.org/10.3390/curroncol32060344
De La Cruz-Vargas JA, Gómez H, Talavera JE, Gonzales-Rospigliosi C, Córdova Salazar AA, Pichardo-Rodriguez R. Prognostic Relevance of Inflammatory Cytokines Il-6 and TNF-Alpha in Patients with Breast Cancer: A Systematic Review and Meta-Analysis. Current Oncology. 2025; 32(6):344. https://doi.org/10.3390/curroncol32060344
Chicago/Turabian StyleDe La Cruz-Vargas, Jhony A., Henry Gómez, Jesus E. Talavera, Cristhian Gonzales-Rospigliosi, Ariana Alessandra Córdova Salazar, and Rafael Pichardo-Rodriguez. 2025. "Prognostic Relevance of Inflammatory Cytokines Il-6 and TNF-Alpha in Patients with Breast Cancer: A Systematic Review and Meta-Analysis" Current Oncology 32, no. 6: 344. https://doi.org/10.3390/curroncol32060344
APA StyleDe La Cruz-Vargas, J. A., Gómez, H., Talavera, J. E., Gonzales-Rospigliosi, C., Córdova Salazar, A. A., & Pichardo-Rodriguez, R. (2025). Prognostic Relevance of Inflammatory Cytokines Il-6 and TNF-Alpha in Patients with Breast Cancer: A Systematic Review and Meta-Analysis. Current Oncology, 32(6), 344. https://doi.org/10.3390/curroncol32060344


