Predicting High-Grade Acute Urinary Toxicity and Lower Gastrointestinal Toxicity After Postoperative Volumetric Modulated Arc Therapy for Cervical and Endometrial Cancer Using a Normal Tissue Complication Probability Model
Abstract
1. Introduction
2. Materials and Methods
2.1. Patients
2.2. Radiotherapy
2.3. Chemotherapy
2.4. Toxicity Evaluation
2.5. Dosimetric Parameters Extraction
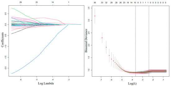
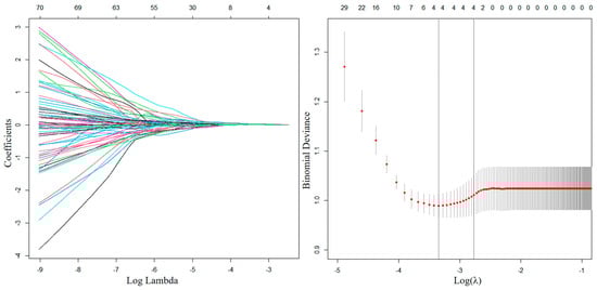
2.6. The NTCP Model
3. Results
3.1. Patients
3.2. The NTCP Model: AUT
3.3. The NTCP Model: ALGIT
4. Discussion
Limitation
5. Conclusions
Supplementary Materials
Author Contributions
Funding
Institutional Review Board Statement
Informed Consent Statement
Data Availability Statement
Conflicts of Interest
References
- Sung, H.; Ferlay, J.; Siegel, R.L.; Laversanne, M.; Soerjomataram, I.; Jemal, A.; Bray, F. Global cancer statistics 2020: GLOBOCAN estimates of incidence and mortality worldwide for 36 cancers in 185 countries. CA Cancer J. Clin. 2021, 71, 209–249. [Google Scholar] [CrossRef]
- Peiretti, M.; Zapardiel, I.; Zanagnolo, V.; Landoni, F.; Morrow, C.P.; Maggioni, A. Management of recurrent cervical cancer: A review of the literature. Surg. Oncol. 2012, 21, e59–e66. [Google Scholar] [CrossRef]
- Song, S.; Rudra, S.; Hasselle, M.D.; Dorn, P.L.; Mell, L.K.; Mundt, A.J.; Yamada, S.D.; Lee, N.K.; Hasan, Y. The effect of treatment time in locally advanced cervical cancer in the era of concurrent chemoradiotherapy. Cancer 2013, 119, 325–331. [Google Scholar] [CrossRef] [PubMed]
- Deng, X.; Han, C.; Chen, S.; Xie, C.; Yi, J.; Zhou, Y.; Zheng, X.; Deng, Z.; Jin, X. Dosimetric benefits of intensity-modulated radiotherapy and volumetric-modulated arc therapy in the treatment of postoperative cervical cancer patients. J. Appl. Clin. Med. Phys. 2017, 18, 25–31. [Google Scholar] [CrossRef]
- Ruben, J.D.; Davis, S.; Evans, C.; Jones, P.; Gagliardi, F.; Haynes, M.; Hunter, A. The effect of intensity-modulated radiotherapy on radiation-induced second malignancies. Int. J. Radiat. Oncol. Biol. Phys. 2008, 70, 1530–1536. [Google Scholar] [CrossRef] [PubMed]
- Otto, K. Volumetric modulated arc therapy: IMRT in a single gantry arc. Med. Phys. 2008, 35, 310–317. [Google Scholar] [CrossRef]
- Cozzi, L.; Dinshaw, K.A.; Shrivastava, S.K.; Mahantshetty, U.; Engineer, R.; Deshpande, D.D.; Jamema, S.V.; Vanetti, E.; Clivio, A.; Nicolini, G.; et al. A treatment planning study comparing volumetric arc modulation with RapidArc and fixed field IMRT for cervix uteri radiotherapy. Radiother. Oncol. 2008, 89, 180–191. [Google Scholar] [CrossRef]
- Qiao, L.; Cheng, J.; Liang, N.; Xie, J.; Luo, H.; Zhang, J. A comparative dosimetric study of volumetric-modulated arc therapy vs. fixed field intensity-modulated radiotherapy in postoperative irradiation of stage IB-IIA high-risk cervical cancer. Oncol. Lett. 2016, 11, 959–964. [Google Scholar] [CrossRef] [PubMed]
- Guo, M.; Huang, E.; Liu, X.; Tang, Y. Volumetric Modulated Arc Therapy versus Fixed-Field Intensity-Modulated Radiotherapy in Radical Irradiation for Cervical Cancer without Lymphadenectasis: Dosimetric and Clinical Results. Oncol. Res. Treat. 2018, 41, 105–109. [Google Scholar] [CrossRef]
- Salib, M.Y.; Russell, J.H.B.; Stewart, V.R.; Sudderuddin, S.A.; Barwick, T.D.; Rockall, A.G.; Bharwani, N. 2018 FIGO Staging Classification for Cervical Cancer: Added Benefits of Imaging. Radiographics 2020, 40, 1807–1822. [Google Scholar] [CrossRef] [PubMed]
- Creasman, W. Revised FIGO staging for carcinoma of the endometrium. Int. J. Gynecol. Obstet. 2009, 105, 109. [Google Scholar] [CrossRef] [PubMed]
- Morris, M.; Eifel, P.J.; Lu, J.; Grigsby, P.W.; Levenback, C.; Stevens, R.E.; Rotman, M.; Gershenson, D.M.; Mutch, D.G. Pelvic radiation with concurrent chemotherapy compared with pelvic and para-aortic radiation for high-risk cervical cancer. N. Engl. J. Med. 1999, 340, 1137–1143. [Google Scholar] [CrossRef] [PubMed]
- Sedlis, A.; Bundy, B.N.; Rotman, M.Z.; Lentz, S.S.; Muderspach, L.I.; Zaino, R.J. A randomized trial of pelvic radiation therapy versus no further therapy in selected patients with stage IB carcinoma of the cervix after radical hysterectomy and pelvic lymphadenectomy: A Gynecologic Oncology Group Study. Gynecol. Oncol. 1999, 73, 177–183. [Google Scholar] [CrossRef]
- Oaknin, A.; Bosse, T.J.; Creutzberg, C.L.; Giornelli, G.; Harter, P.; Joly, F.; Lorusso, D.; Marth, C.; Makker, V.; Mirza, M.R.; et al. Endometrial cancer: ESMO Clinical Practice Guideline for diagnosis, treatment and follow-up. Ann. Oncol. 2022, 33, 860–877. [Google Scholar] [CrossRef]
- Small, W., Jr.; Bosch, W.R.; Harkenrider, M.M.; Strauss, J.B.; Abu-Rustum, N.; Albuquerque, K.V.; Beriwal, S.; Creutzberg, C.L.; Eifel, P.J.; Erickson, B.A.; et al. NRG Oncology/RTOG Consensus Guidelines for Delineation of Clinical Target Volume for Intensity Modulated Pelvic Radiation Therapy in Postoperative Treatment of Endometrial and Cervical Cancer: An Update. Int. J. Radiat. Oncol. Biol. Phys. 2021, 109, 413–424. [Google Scholar] [CrossRef] [PubMed]
- Collins, G.S.; Reitsma, J.B.; Altman, D.G.; Moons, K.G. Transparent reporting of a multivariable prediction model for individual prognosis or diagnosis (TRIPOD): The TRIPOD statement. BMJ 2015, 350, g7594. [Google Scholar] [CrossRef]
- Mundt, A.J.; Lujan, A.E.; Rotmensch, J.; Waggoner, S.E.; Yamada, S.D.; Fleming, G.; Roeske, J.C. Intensity-modulated whole pelvic radiotherapy in women with gynecologic malignancies. Int. J. Radiat. Oncol. Biol. Phys. 2002, 52, 1330–1337. [Google Scholar] [CrossRef] [PubMed]
- Portelance, L.; Chao, K.S.; Grigsby, P.W.; Bennet, H.; Low, D. Intensity-modulated radiation therapy (IMRT) reduces small bowel, rectum, and bladder doses in patients with cervical cancer receiving pelvic and para-aortic irradiation. Int. J. Radiat. Oncol. Biol. Phys. 2001, 51, 261–266. [Google Scholar] [CrossRef] [PubMed]
- Roeske, J.C.; Bonta, D.; Mell, L.K.; Lujan, A.E.; Mundt, A.J. A dosimetric analysis of acute gastrointestinal toxicity in women receiving intensity-modulated whole-pelvic radiation therapy. Radiother. Oncol. 2003, 69, 201–207. [Google Scholar] [CrossRef]
- Vandecasteele, K.; Tummers, P.; Makar, A.; van Eijkeren, M.; Delrue, L.; Denys, H.; Lambert, B.; Beerens, A.S.; Van den Broecke, R.; Lambein, K.; et al. Postoperative intensity-modulated arc therapy for cervical and endometrial cancer: A prospective report on toxicity. Int. J. Radiat. Oncol. Biol. Phys. 2012, 84, 408–414. [Google Scholar] [CrossRef] [PubMed]
- Luo, W.; Li, Y.; Ke, G.; Wu, X.; Huang, X. Extended field or pelvic intensity-modulated radiotherapy with concurrent cisplatin chemotherapy for the treatment of post-surgery multiple pelvic lymph node metastases in cervical cancer patients: A randomized, multi-center phase II clinical trial. Transl. Cancer Res. 2021, 10, 361–371. [Google Scholar] [CrossRef]
- Improta, I.; Palorini, F.; Cozzarini, C.; Rancati, T.; Avuzzi, B.; Franco, P.; Degli Esposti, C.; Del Mastro, E.; Girelli, G.; Iotti, C.; et al. Bladder spatial-dose descriptors correlate with acute urinary toxicity after radiation therapy for prostate cancer. Phys. Med. 2016, 32, 1681–1689. [Google Scholar] [CrossRef]
- Manea, E.; Escande, A.; Bockel, S.; Khettab, M.; Dumas, I.; Lazarescu, I.; Fumagalli, I.; Morice, P.; Deutsch, E.; Haie-Meder, C.; et al. Risk of late urinary complications following image-guided adaptive brachytherapy for locally advanced cervical cancer: Refining bladder dose-volume parameters. Int. J. Radiat. Oncol. Biol. Phys. 2018, 101, 411–420. [Google Scholar] [CrossRef] [PubMed]
- Abu-Rustum, N.R.; Yashar, C.M.; Arend, R.; Barber, E.; Bradley, K.; Brooks, R.; Campos, S.M.; Chino, J.; Chon, H.S.; Crispens, M.A.; et al. NCCN Guidelines® Insights: Cervical Cancer, Version 1.2024. J. Natl. Compr. Canc. Netw. 2023, 21, 1224–1233. [Google Scholar] [CrossRef]
- Koh, W.J.; Greer, B.E.; Abu-Rustum, N.R.; Apte, S.M.; Campos, S.M.; Chan, J.; Cho, K.R.; Cohn, D.; Crispens, M.A.; Dupont, N.; et al. Uterine neoplasms, version 1.2014. J. Natl. Compr. Canc. Netw. 2014, 12, 248–280. [Google Scholar] [CrossRef] [PubMed]
- Isohashi, F.; Mabuchi, S.; Yoshioka, Y.; Seo, Y.; Suzuki, O.; Tamari, K.; Yamashita, M.; Unno, H.; Kinose, Y.; Kozasa, K.; et al. Intensity-modulated radiation therapy versus three-dimensional conformal radiation therapy with concurrent nedaplatin-based chemotherapy after radical hysterectomy for uterine cervical cancer: Comparison of outcomes, complications, and dose-volume histogram parameters. Radiat. Oncol. 2015, 10, 180. [Google Scholar] [PubMed]
- Simpson, D.R.; Song, W.Y.; Moiseenko, V.; Rose, B.S.; Yashar, C.M.; Mundt, A.J.; Mell, L.K. Normal tissue complication probability analysis of acute gastrointestinal toxicity in cervical cancer patients undergoing intensity modulated radiation therapy and concurrent cisplatin. Int. J. Radiat. Oncol. Biol. Phys. 2012, 83, e81–e86. [Google Scholar] [CrossRef] [PubMed]
- Kavanagh, B.D.; Pan, C.C.; Dawson, L.A.; Das, S.K.; Li, X.A.; Ten Haken, R.K.; Miften, M. Radiation dose-volume effects in the stomach and small bowel. Int. J. Radiat. Oncol. Biol. Phys. 2010, 76, S101–S107. [Google Scholar] [CrossRef] [PubMed]
- de Boer, S.M.; Powell, M.E.; Mileshkin, L.; Katsaros, D.; Bessette, P.; Haie-Meder, C.; Ottevanger, P.B.; Ledermann, J.A.; Khaw, P.; Colombo, A.; et al. Toxicity and quality of life after adjuvant chemoradiotherapy versus radiotherapy alone for women with high-risk endometrial cancer (PORTEC-3): An open-label, multicentre, randomized, phase 3 trial. Lancet Oncol. 2016, 17, 1114–1126. [Google Scholar] [CrossRef]
- Maduro, J.H.; Pras, E.; Willemse, P.H.; de Vries, E.G. Acute and long-term toxicity following radiotherapy alone or in combination with chemotherapy for locally advanced cervical cancer. Cancer Treat. Rev. 2003, 29, 471–488. [Google Scholar] [CrossRef] [PubMed]
- Michalski, J.M.; Gay, H.; Jackson, A.; Tucker, S.L.; Deasy, J.O. Radiation dose-volume effects in radiation-induced rectal injury. Int. J. Radiat. Oncol. Biol. Phys. 2010, 76, S123–S129. [Google Scholar] [CrossRef]
- Khalid, U.; McGough, C.; Hackett, C.; Blake, P.; Harrington, K.J.; Khoo, V.S.; Tait, D.; Norman, A.R.; Andreyev, H.J. A modified inflammatory bowel disease questionnaire and the Vaizey Incontinence questionnaire are more sensitive measures of acute gastrointestinal toxicity during pelvic radiotherapy than RTOG grading. Int. J. Radiat. Oncol. Biol. Phys. 2006, 64, 1432–1441. [Google Scholar] [CrossRef] [PubMed]






| All | Grade < 2 | Grade ≥ 2 | p | Cervical Cancer | Endometrial Cancer | p | |
|---|---|---|---|---|---|---|---|
| n (%) | 164 (100) | 134 (81.7) | 30 (18.3) | 87 (53.0) | 77 (47.0) | ||
| Age (years), medium (range) | 56 (26–79) | 56 (26–79) | 57 (33–77) | 0.475 | 55 (31–77) | 54 (26–79) | 0.125 |
| Height (cm), medium (range) | 160 (150–172) | 160 (150–172) | 160 (153–172) | 0.901 | 160 (150–170) | 160 (150–172) | 0.316 |
| Weight (kg), medium (range) | 60 (37–85) | 59 (37–85) | 61 (50–83) | 0.397 | 60 (37–85) | 62 (40–83) | 0.724 |
| BMI (kg/m2), medium (range) | 23.6 (14.5–34.0) | 23.5 (14.5–34.0) | 24.1 (19.1–29.1) | 0.136 | 23.4 (14.5–34.0) | 23.9 (16.0–32.5) | 0.996 |
| Pathology, n (%) | 0.340 | <0.001 | |||||
| Cervical cancer | 87 (53.0) | 74 (55.2) | 13 (43.3) | 87 (100.0) | 0 (0.0) | ||
| Squamous cell carcinoma | 77 (47.0) | 62 (46.3) | 15 (50.0) | 77 (88.5) | 0 (0.0) | ||
| Adenocarcinoma | 8 (4.9) | 7 (5.2) | 1 (3.3) | 8 (9.2) | 0 (0.0) | ||
| Adenosquamous carcinoma | 2 (1.2) | 2 (1.5) | 0 (0.0) | 2 (2.3) | 0 (0.0) | ||
| Endometrial cancer | 77 (47.0) | 60 (44.8) | 17 (56.7) | 0 (0.0) | 77 (100.0) | ||
| Endometrioid carcinoma | 62 (37.8) | 54 (40.3) | 8 (26.7) | 0 (0.0) | 62 (80.5) | ||
| Mixed carcinoma | 8 (4.9) | 5 (3.7) | 3 (10.0) | 0 (0.0) | 8 (10.4) | ||
| Clear cell carcinoma | 2 (1.2) | 1 (0.7) | 1 (3.3) | 0 (0.0) | 2 (2.6) | ||
| Serous carcinoma | 5 (3.0) | 3 (2.2) | 2 (6.7) | 0 (0.0) | 5 (6.5) | ||
| Clinical stage (FIGO), n (%) | 0.584 | 0.005 | |||||
| I | 80 (48.8) | 67 (50.0) | 13 (43.3) | 42 (48.3) | 38 (49.4) | ||
| II | 39 (23.8) | 31 (23.1) | 8 (26.7) | 28 (32.2) | 11 (14.3) | ||
| III | 40 (24.4) | 33 (24.6) | 7 (23.3) | 17 (19.5) | 23 (29.9) | ||
| IV | 5 (3.0) | 3 (2.2) | 2 (6.7) | 0 (0.0) | 5 (6.5) | ||
| EBRT dose (Gy), n (%) | 0.681 | 0.175 | |||||
| 45.0 | 39 (23.8) | 31 (23.1) | 8 (26.7) | 17 (19.5) | 22 (28.6) | ||
| 50.4 | 125 (76.2) | 103 (76.9) | 22 (73.3) | 70 (80.5) | 55 (71.4) | ||
| Chemotherapy, n (%) | 0.096 | <0.001 | |||||
| No | 53 (32.3) | 41 (30.6) | 12 (40.0) | 26 (29.9) | 27 (35.1) | ||
| Adjuvant chemotherapy | 50 (30.5) | 38 (28.4) | 12 (40.0) | 0 (32.3) | 50 (64.9) | ||
| Concurrent chemotherapy | 61 (37.2) | 55 (41.0) | 6 (20.0) | 61 (70.1) | 0 (0.0) | ||
| HDR brachytherapy, n (%) | 0.167 | 0.611 | |||||
| Yes | 95 (57.9) | 81 (60.4) | 14 (46.7) | 52 (59.8) | 43 (55.8) | ||
| No | 69 (42.1) | 53 (39.6) | 16 (53.3) | 35 (40.2) | 34 (44.2) | ||
| KPS, n (%) | 0.700 | 0.204 | |||||
| 80 | 11 (6.7) | 10 (7.5) | 1 (3.3) | 3 (3.4) | 8 (10.4) | ||
| 90 | 50 (30.5) | 41 (30.6) | 9 (30.0) | 28 (32.2) | 22 (28.6) | ||
| 100 | 103 (62.8) | 83 (61.9) | 20 (66.7) | 56 (64.4) | 47 (61.0) | ||
| Extended field radiotherapy, n (%) | 0.751 | 0.055 | |||||
| Yes | 14 (8.4) | 11 (8.2) | 3 (10.0) | 4 (4.6) | 10 (13.0) | ||
| No | 150 (91.5) | 123 (91.8) | 27 (90.0) | 83 (95.4) | 67 (87.0) |
| All | Grade < 2 | Grade ≥ 2 | p | Cervical Cancer | Endometrial Cancer | p | |
|---|---|---|---|---|---|---|---|
| n (%) | 164 (100) | 130 (79.3) | 34 (20.7) | 87 (53.0) | 77 (47.0) | ||
| Age (years), medium (range) | 56 (26–79) | 56 (26–79) | 56 (31–67) | 0.915 | 55 (31–77) | 54 (26–79) | 0.125 |
| Height (cm), medium (range) | 160 (150–172) | 160 (150–172) | 159 (152–167) | 0.203 | 160 (150–170) | 160 (150–172) | 0.316 |
| Weight (kg), medium (range) | 60.0 (37.0–85.0) | 60.0 (37.0–85.0) | 57.5 (43.0–78.0) | 0.321 | 60 (37.0–85.0) | 62 (40.0–83.0) | 0.724 |
| BMI (kg/m2), medium (range) | 23.6 (14.5–34.0) | 23.7 (14.5–34.0) | 23.3 (17.9–29.2) | 0.530 | 23.4 (14.5–34.0) | 23.9 (16.0–32.5) | 0.996 |
| Pathology, n (%) | 0.082 | <0.001 | |||||
| Cervical cancer | 87 (53.0) | 67 (51.5) | 20 (58.8) | 87 (100.0) | 0 (0.0) | ||
| Squamous cell carcinoma | 77 (47.0) | 58 (44.6) | 19 (55.9) | 77 (88.5) | 0 (0.0) | ||
| Adenocarcinoma | 8 (4.9) | 7 (5.4) | 1 (2.9) | 8 (9.2) | 0 (0.0) | ||
| Adenosquamous carcinoma | 2 (1.2) | 2 (1.5) | 0 (0.0) | 2 (2.3) | 0 (0.0) | ||
| Endometrial cancer | 77 (47.0) | 63 (48.5) | 14 (41.2) | 0 (0.0) | 77 (100.0) | ||
| Endometrioid carcinoma | 62 (37.8) | 51 (39.2) | 11 (32.4) | 0 (0.0) | 62 (80.5) | ||
| Mixed carcinoma | 8 (4.9) | 7 (5.4) | 1 (2.9) | 0 (0.0) | 8 (10.4) | ||
| Clear cell carcinoma | 2 (1.2) | 0 (0.0) | 2 (5.9) | 0 (0.0) | 2 (2.6) | ||
| Serous carcinoma | 5 (3.0) | 5 (3.8) | 0 (0.0) | 0 (0.0) | 5 (6.5) | ||
| Clinical stage (FIGO), n (%) | 0.673 | 0.005 | |||||
| I | 80 (48.8) | 64 (49.2) | 16 (47.0) | 42 (48.3) | 38 (49.4) | ||
| II | 39 (23.8) | 30 (23.1) | 9 (26.5) | 28 (32.2) | 11 (14.3) | ||
| III | 40 (24.4) | 31 (23.8) | 9 (26.5) | 17 (19.5) | 23 (29.9) | ||
| IV | 5 (3.0) | 5 (3.8) | 0 (0.0) | 0 (0.0) | 5 (6.5) | ||
| EBRT dose (Gy), n (%) | 0.679 | 0.175 | |||||
| 45.0 | 39 (23.8) | 30 (23.1) | 9 (26.5) | 17 (19.5) | 22 (28.6) | ||
| 50.4 | 125 (76.2) | 100 (76.9) | 25 (73.5) | 70 (80.5) | 55 (71.4) | ||
| Chemotherapy, n (%) | 0.240 | <0.001 | |||||
| No | 53 (32.3) | 46 (35.4) | 7 (20.6) | 26 (29.9) | 27 (35.1) | ||
| Adjuvant chemotherapy | 50 (30.5) | 37 (28.5) | 13 (38.2) | 0 (32.3) | 50 (64.9) | ||
| Concurrent chemotherapy | 61 (37.2) | 47 (36.2) | 14 (41.2) | 61 (70.1) | 0 (0.0) | ||
| HDR brachytherapy, n (%) | 0.368 | 0.611 | |||||
| Yes | 95 (57.9) | 73 (56.2) | 22 (64.7) | 52 (59.8) | 43 (55.8) | ||
| No | 69 (42.1) | 57 (43.8) | 12 (35.3) | 35 (40.2) | 34 (44.2) | ||
| KPS, n (%) | 0.155 | 0.204 | |||||
| 80 | 11 (6.7) | 11 (8.5) | 0 (0.0) | 3 (3.4) | 8 (10.4) | ||
| 90 | 50 (30.5) | 37 (28.5) | 13 (38.2) | 28 (32.2) | 22 (28.6) | ||
| 100 | 103 (62.8) | 82 (63.1) | 21 (61.8) | 56 (64.4) | 47 (61.0) | ||
| Extended field radiotherapy, n (%) | 0.449 | 0.424 | |||||
| Yes | 14 (8.4) | 10 (7.7) | 4 (11.8) | 6 (6.9) | 8 (10.4) | ||
| No | 150 (91.5) | 120 (92.3) | 30 (88.2) | 81 (93.1) | 69 (89.6) |
| Clinical Parameters | OR | CI | p | AUC |
|---|---|---|---|---|
| Age (years) | 0.991 | 0.956–1.027 | 0.607 | 0.466 |
| Height (cm) | 1.009 | 0.926–1.100 | 0.835 | 0.500 |
| Weight (kg) | 1.025 | 0.983–1.070 | 0.249 | 0.571 |
| BMI (kg/m2) | 1.067 | 0.951–1.198 | 0.270 | 0.577 |
| Type (reference = cervical cancer) | 0.241 | 0.559 | ||
| Endometrial cancer | 1.613 | 0.726–3.584 | ||
| Pathology (reference = squamous cell carcinoma) | 0.457 | 0.521 | ||
| Adenocarcinoma | 0.590 | 0.067–5.171 | 0.634 | |
| Adenosquamous carcinoma | 0.000 | 0.000–0.000 | 0.999 | |
| Endometrioid carcinoma | 0.612 | 0.241–1.556 | 0.303 | |
| Mixed carcinoma | 2.480 | 0.532–11.55 | 0.247 | |
| Clear cell carcinoma | 4.133 | 0.244–69.943 | 0.325 | |
| Serous carcinoma | 2.756 | 0.422–17.986 | 0.290 | |
| Clinical stage (FIGO) (reference = I) | 0.617 | 0.538 | ||
| II | 1.330 | 0.500–3.538 | 0.568 | |
| III | 1.093 | 0.399–2.999 | 0.863 | |
| IV | 3.436 | 0.522–22.635 | 0.199 | |
| External beam radiotherapy dose (Gy) (reference = 45) | 0.682 | 0.482 | ||
| 50.4 | 0.828 | 0.335–2.043 | ||
| Chemotherapy (reference = No) | 0.110 | 0.507 | ||
| Adjuvant chemotherapy | 0.373 | 0.129–1.076 | 0.068 | |
| Concurrent chemotherapy | 1.079 | 0.433–2.691 | 0.871 | |
| HDR brachytherapy (reference = Yes) | 0.170 | 0.431 | ||
| No | 0.573 | 0.258–1.270 | ||
| KPS (reference = 80) | 0.713 | 0.530 | ||
| 90 | 2.195 | 0.248–19.391 | 0.479 | |
| 100 | 2.410 | 0.291–19.931 | 0.415 | |
| Extended field radiotherapy (reference = No) | 0.753 | 0.509 | ||
| Yes | 1.096 | 0.994–1.209 |
| Clinical Parameters | OR | CI | p | AUC |
|---|---|---|---|---|
| Age (years) | 1.006 | 0.975–1.039 | 0.696 | 0.399 |
| Height (cm) | 1.024 | 0.943–1.111 | 0.576 | 0.521 |
| Weight (kg) | 0.986 | 0.947–1.027 | 0.505 | 0.464 |
| BMI (kg/m2) | 0.951 | 0.851–1.063 | 0.375 | 0.454 |
| Type (reference = cervical cancer) | 0.464 | |||
| Endometrial cancer | 0.744 | 0.347–1.599 | 0.449 | |
| Pathology (reference = squamous cell carcinoma) | 0.952 | 0.534 | ||
| Adenocarcinoma | 0.59 | 0.067–5.171 | 0.634 | |
| Adenosquamous carcinoma | 0 | 0–0 | 0.999 | |
| Endometrioid carcinoma | 1.206 | 0.531–2.737 | 0.655 | |
| Mixed carcinoma | 1.378 | 0.253–7.518 | 0.711 | |
| Clear cell carcinoma | 0 | 0–0 | 0.999 | |
| Serous carcinoma | 2.756 | 0.422–17.986 | 0.29 | |
| Clinical stage (FIGO) (reference = I) | 0.392 | 0.559 | ||
| II | 0.788 | 0.28–2.219 | 0.652 | |
| III | 1.644 | 0.673–4.013 | 0.275 | |
| IV | 2.889 | 0.443–18.842 | 0.268 | |
| External beam radiotherapy dose (Gy) (reference = 45) | 0.502 | |||
| 50.4 | 1.018 | 0.418–2.476 | 0.969 | |
| Chemotherapy (reference = No) | 0.251 | 0.585 | ||
| Adjuvant chemotherapy | 1.957 | 0.724–5.29 | 0.185 | |
| Concurrent chemotherapy | 2.309 | 0.836–6.375 | 0.106 | |
| HDR brachytherapy (reference = Yes) | 0.543 | |||
| No | 1.432 | 0.654–3.135 | 0.37 | |
| KPS (reference = 80) | 0.569 | 0.548 | ||
| 90 | 0.857 | 0.155–4.732 | 0.86 | |
| 100 | 1.367 | 0.276–6.763 | 0.701 | |
| Extended field radiotherapy (reference = No) | 0.449 | 0.520 | ||
| Yes | 1.046 | 0.916–1.194 |
| Model | Parameters | β0 (95% CI) | β1 (95% CI) | p | β2 (95% CI) | p | β3 (95% CI) | p | Mean AUC (95% CI) | AICc |
|---|---|---|---|---|---|---|---|---|---|---|
| II | 1. Small intestine V30Gy 2. Colon D15% | −8.099 (−15.544 to −3.634) | 0.037 (0.005 to 0.075) | 0.04 | 0.121 (0.023 to 0.280) | 0.02 | 0.70 (0.60 to 0.78) | 161.80 | ||
| III | 1. Small intestine V30Gy 2. Rectum D55% 3. Colon D15% | −9.412 (−17.713 to −4.465) | 0.034 (−0.002 to 0.071) | 0.06 | 0.060 (−0.020 to 0.149) | 0.16 | 0.099 (0.004 to 0.258) | 0.07 | 0.71 (0.60 to 0.80) | 161.69 |
| IV | 1. Small intestine V30Gy 2. Rectum D55% 3. Colon D45% | −7.439 (−17.106 to −4.428) | 0.039 (0.001 to 0.071) | 0.03 | 0.069 (−0.020 to 0.150) | 0.09 | 0.072 (0.006 to 0.250) | 0.02 | 0.71 (0.61 to 0.80) | 159.34 |
Disclaimer/Publisher’s Note: The statements, opinions and data contained in all publications are solely those of the individual author(s) and contributor(s) and not of MDPI and/or the editor(s). MDPI and/or the editor(s) disclaim responsibility for any injury to people or property resulting from any ideas, methods, instructions or products referred to in the content. |
© 2025 by the authors. Licensee MDPI, Basel, Switzerland. This article is an open access article distributed under the terms and conditions of the Creative Commons Attribution (CC BY) license (https://creativecommons.org/licenses/by/4.0/).
Share and Cite
Yang, T.; Ji, Z.; Lei, R.; Qu, A.; Jiang, W.; Deng, X.; Jiang, P. Predicting High-Grade Acute Urinary Toxicity and Lower Gastrointestinal Toxicity After Postoperative Volumetric Modulated Arc Therapy for Cervical and Endometrial Cancer Using a Normal Tissue Complication Probability Model. Curr. Oncol. 2025, 32, 26. https://doi.org/10.3390/curroncol32010026
Yang T, Ji Z, Lei R, Qu A, Jiang W, Deng X, Jiang P. Predicting High-Grade Acute Urinary Toxicity and Lower Gastrointestinal Toxicity After Postoperative Volumetric Modulated Arc Therapy for Cervical and Endometrial Cancer Using a Normal Tissue Complication Probability Model. Current Oncology. 2025; 32(1):26. https://doi.org/10.3390/curroncol32010026
Chicago/Turabian StyleYang, Tianyu, Zhe Ji, Runhong Lei, Ang Qu, Weijuan Jiang, Xiuwen Deng, and Ping Jiang. 2025. "Predicting High-Grade Acute Urinary Toxicity and Lower Gastrointestinal Toxicity After Postoperative Volumetric Modulated Arc Therapy for Cervical and Endometrial Cancer Using a Normal Tissue Complication Probability Model" Current Oncology 32, no. 1: 26. https://doi.org/10.3390/curroncol32010026
APA StyleYang, T., Ji, Z., Lei, R., Qu, A., Jiang, W., Deng, X., & Jiang, P. (2025). Predicting High-Grade Acute Urinary Toxicity and Lower Gastrointestinal Toxicity After Postoperative Volumetric Modulated Arc Therapy for Cervical and Endometrial Cancer Using a Normal Tissue Complication Probability Model. Current Oncology, 32(1), 26. https://doi.org/10.3390/curroncol32010026
