Feasibility and Preliminary Effects of Acupuncture for Cognitive Dysfunction in Diverse Cancer Survivors: A Pilot, Randomized, Placebo-Controlled Trial
Abstract
1. Introduction
2. Materials and Methods
2.1. Study Design
2.2. Study Participants
2.3. Procedures
2.4. Interventions
2.4.1. Real Acupuncture (RA)
2.4.2. Sham Acupuncture (SA)
2.4.3. Waitlist Control (WLC)
2.5. Outcomes
2.5.1. Feasibility and Safety Outcomes
2.5.2. Subjective Cognitive Function
2.5.3. Objective Cognitive Function
2.6. Statistical Analysis
3. Results
3.1. Participant Characteristics
3.2. Feasibility and Safety
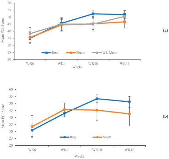
3.3. The Effects of Acupuncture on Subjective Cognition
3.4. The Effects of Acupuncture on Objective Cognition
4. Discussion
5. Conclusions
Supplementary Materials
Author Contributions
Funding
Institutional Review Board Statement
Informed Consent Statement
Data Availability Statement
Conflicts of Interest
References
- Lv, L.; Mao, S.; Dong, H.; Hu, P.; Dong, R. Pathogenesis, Assessments, and Management of Chemotherapy-Related Cognitive Impairment (CRCI): An Updated Literature Review. J. Oncol. 2020, 2020, 3942439. [Google Scholar] [CrossRef] [PubMed]
- Országhová, Z.; Mego, M.; Chovanec, M. Long-Term Cognitive Dysfunction in Cancer Survivors. Front. Mol. Biosci. 2021, 8, 770413. [Google Scholar] [CrossRef] [PubMed]
- Lange, M.; Joly, F.; Vardy, J.; Ahles, T.; Dubois, M.; Tron, L.; Winocur, G.; De Ruiter, M.B.; Castel, H. Cancer-related cognitive impairment: An update on state of the art, detection, and management strategies in cancer survivors. Ann. Oncol. 2019, 30, 1925–1940. [Google Scholar] [CrossRef]
- Janelsins, M.C.; Kesler, S.R.; Ahles, T.A.; Morrow, G.R. Prevalence, mechanisms, and management of cancer-related cognitive impairment. Int. Rev. Psychiatry 2014, 26, 102–113. [Google Scholar] [CrossRef] [PubMed]
- Schmidt, J.; Beckjord, E.; Bovbjerg, D. Prevalence of perceived cognitive dysfunction in survivors of a wide range of cancers: Results from the 2010 LIVESTRONG survey. J. Cancer Surviv. 2016, 10, 302–311. [Google Scholar] [CrossRef]
- Henderson, F.M.; Cross, A.J.; Baraniak, A.R. ‘A new normal with chemobrain’: Experiences of the impact of chemotherapy-related cognitive deficits in long-term breast cancer survivors. Health Psychol. Open 2019, 6, 2055102919832234. [Google Scholar] [CrossRef] [PubMed]
- Mayo, S.J.; Lustberg, M.; Dhillon, H.M.; Nakamura, Z.M.; Allen, D.H.; Von Ah, D.; Janelsins, M.C.; Chan, A.; Olson, K.; Tan, C.J.; et al. Cancer-related cognitive impairment in patients with non-central nervous system malignancies: An overview for oncology providers from the MASCC Neurological Complications Study Group. Support. Care Cancer 2021, 29, 2821–2840. [Google Scholar] [CrossRef] [PubMed]
- Selamat, M.H.; Loh, S.Y.; Mackenzie, L.; Vardy, J. Chemobrain experienced by breast cancer survivors: A meta-ethnography study investigating research and care implications. PLoS ONE 2014, 9, e108002. [Google Scholar] [CrossRef] [PubMed]
- Maeir, T.; Nahum, M.; Makranz, C.; Tsabari, S.; Peretz, T.; Gilboa, Y. Predictors of quality of life among adults with self-reported cancer related cognitive impairment. Disabil. Rehabil. 2023, 45, 1056–1062. [Google Scholar] [CrossRef] [PubMed]
- Mayo, S.; Messner, H.A.; Rourke, S.B.; Howell, D.; Victor, J.C.; Kuruvilla, J.; Lipton, J.H.; Gupta, V.; Kim, D.D.; Piescic, C.; et al. Relationship between neurocognitive functioning and medication management ability over the first 6 months following allogeneic stem cell transplantation. Bone Marrow Transplant. 2016, 51, 841–847. [Google Scholar] [CrossRef] [PubMed]
- Von Ah, D. Cancer, cognitive impairment, and work-related outcomes: An integrative review. Oncol. Nurs. Forum 2016, 43, 602–616. [Google Scholar] [PubMed]
- Hardy, S.J.; Krull, K.R.; Wefel, J.S.; Janelsins, M. Cognitive Changes in Cancer Survivors. Am. Soc. Clin. Oncol. Educ. Book 2018, 38, 795–806. [Google Scholar] [CrossRef]
- Van Dyk, K.; Ganz, P.A. Cancer-Related Cognitive Impairment in Patients with a History of Breast Cancer. JAMA 2021, 326, 1736–1737. [Google Scholar] [CrossRef]
- Sanft, T.; Day, A.; Ansbaugh, S. NCCN Clinical Practice Guidelines in Oncology: Survivorship. Available online: https://www.nccn.org/guidelines/guidelines-detail?category=3&id=1466 (accessed on 16 December 2024).
- Reid-Arndt, S.A.; Matsuda, S.; Cox, C.R. Tai Chi effects on neuropsychological, emotional, and physical functioning following cancer treatment: A pilot study. Complement. Ther. Clin. Pract. 2012, 18, 26–30. [Google Scholar] [CrossRef] [PubMed]
- Oberste, M.; Schaffrath, N.; Schmidt, K.; Bloch, W.; Jäger, E.; Steindorf, K.; Hartig, P.; Joisten, N.; Zimmer, P. Protocol for the “Chemobrain in motion–study” (CIM–study): A randomized placebo-controlled trial of the impact of a high-intensity interval endurance training on cancer related cognitive impairments in women with breast cancer receiving first-line chemotherapy. BMC Cancer 2018, 18, 1071. [Google Scholar]
- Kesler, S.; Hosseini, S.H.; Heckler, C.; Janelsins, M.; Palesh, O.; Mustian, K.; Morrow, G. Cognitive training for improving executive function in chemotherapy-treated breast cancer survivors. Clin. Breast Cancer 2013, 13, 299–306. [Google Scholar] [CrossRef] [PubMed]
- Von Ah, D.; Carpenter, J.S.; Saykin, A.; Monahan, P.; Wu, J.; Yu, M.; Rebok, G.; Ball, K.; Schneider, B.; Weaver, M. Advanced cognitive training for breast cancer survivors: A randomized controlled trial. Breast Cancer Res. Treat. 2012, 135, 799–809. [Google Scholar] [CrossRef] [PubMed]
- Santos, M.D.; Rigal, O.; Léger, I.; Licaj, I.; Dauchy, S.; Levy, C.; Noal, S.; Segura, C.; Delcambre, C.; Allouache, D.; et al. Cognitive rehabilitation program to improve cognition of cancer patients treated with chemotherapy: A randomized controlled multicenter trial. J. Clin. Oncol. 2019, 37, 11521. [Google Scholar] [CrossRef]
- Bedillion, M.F.; Ansell, E.B.; Thomas, G.A. Cancer treatment effects on cognition and depression: The moderating role of physical activity. Breast 2019, 44, 73–80. [Google Scholar] [CrossRef] [PubMed]
- King, S.; Green, H.J. Psychological intervention for improving cognitive function in cancer survivors: A literature review and randomized controlled trial. Front. Oncol. 2015, 5, 72. [Google Scholar] [CrossRef]
- Ercoli, L.; Petersen, L.; Hunter, A.; Castellon, S.; Kwan, L.; Kahn-Mills, B.; Embree, L.; Cernin, P.; Leuchter, A.; Ganz, P. Cognitive rehabilitation group intervention for breast cancer survivors: Results of a randomized clinical trial. Psycho-Oncol. 2015, 24, 1360–1367. [Google Scholar] [CrossRef]
- Desai, K.; Liou, K.; Liang, K.; Seluzicki, C.; Mao, J.J. Availability of Integrative Medicine Therapies at National Cancer Institute-Designated Comprehensive Cancer Centers and Community Hospitals. J. Altern Complement Med. 2021, 27, 1011–1013. [Google Scholar] [CrossRef] [PubMed]
- Chan, Y.T.; Wang, N.; Tam, C.W.; Tan, H.Y.; Lu, Y.; So, T.H.; Chau-Leung Yu, E.; Lao, L.; Feng, Y. Systematic Review with Meta-Analysis: Effectiveness and Safety of Acupuncture as Adjuvant Therapy for Side Effects Management in Drug Therapy-Receiving Breast Cancer Patients. Evid. Based Complement Altern. Med. 2021, 2021, 9949777. [Google Scholar] [CrossRef]
- Liou, K.T.; Root, J.C.; Garland, S.N.; Green, J.; Li, Y.; Li, Q.S.; Kantoff, P.W.; Ahles, T.A.; Mao, J.J. Effects of acupuncture versus cognitive behavioral therapy on cognitive function in cancer survivors with insomnia: A secondary analysis of a randomized clinical trial. Cancer 2020, 126, 3042–3052. [Google Scholar] [CrossRef]
- Latte-Naor, S.; Mao, J.J. Putting integrative oncology into practice: Concepts and approaches. J. Oncol. Pract. 2019, 15, 7–14. [Google Scholar] [CrossRef]
- Czajkowski, S.M.; Powell, L.H.; Adler, N.; Naar-King, S.; Reynolds, K.D.; Hunter, C.M.; Laraia, B.; Olster, D.H.; Perna, F.M.; Peterson, J.C.; et al. From ideas to efficacy: The ORBIT model for developing behavioral treatments for chronic diseases. Health Psychol. 2015, 34, 971–982. [Google Scholar] [CrossRef]
- Aaronson, N.K.; Ahmedzai, S.; Bergman, B.; Bullinger, M.; Cull, A.; Duez, N.J.; Filiberti, A.; Flechtner, H.; Fleishman, S.B.; de Haes, J.C.; et al. The European Organization for Research and Treatment of Cancer QLQ-C30: A quality-of-life instrument for use in international clinical trials in oncology. J. Natl. Cancer Inst. 1993, 85, 365–376. [Google Scholar] [CrossRef] [PubMed]
- Bjordal, K.; de Graeff, A.; Fayers, P.M.; Hammerlid, E.; van Pottelsberghe, C.; Curran, D.; Ahlner-Elmqvist, M.; Maher, E.J.; Meyza, J.W.; Brédart, A.; et al. A 12 country field study of the EORTC QLQ-C30 (version 3.0) and the head and neck cancer specific module (EORTC QLQ-H&N35) in head and neck patients. EORTC Quality of Life Group. Eur. J. Cancer 2000, 36, 1796–1807. [Google Scholar] [CrossRef] [PubMed]
- Katzman, R.; Brown, T.; Fuld, P.; Peck, A.; Schechter, R.; Schimmel, H. Validation of a short Orientation-Memory-Concentration Test of cognitive impairment. Am. J. Psychiatry 1983, 140, 734–739. [Google Scholar] [CrossRef] [PubMed]
- Mao, J.J.; Kapur, R. Acupuncture in primary care. Prim Care 2010, 37, 105–117. [Google Scholar] [CrossRef]
- Zhong, B.; Yuan, Y.X. Essentials of Chinese Acupuncture; Elsevier: Amsterdam, The Netherlands, 1993. [Google Scholar]
- Deng, L.; Cheng, X. Chinese Acupuncture and Moxibustion; Foreign Language Press: Beijing, China, 1987. [Google Scholar]
- Mao, J.J.; Farrar, J.T.; Armstrong, K.; Donahue, A.; Ngo, J.; Bowman, M.A. De qi: Chinese acupuncture patients’ experiences and beliefs regarding acupuncture needling sensation—An exploratory survey. Acupunct. Med. 2007, 25, 158–165. [Google Scholar] [CrossRef]
- National Cancer Institute. Common Terminology Criteria for Adverse Events (CTCAE) Version 5.0; U.S. Department of Health and Human Services, National Institutes of Health, National Cancer Institute: Bethesda, MD, USA, 2017.
- Hassan, M.; Barakat, Z.; Fares, Y.; Abou-Abbas, L. Cognitive functioning in women with breast cancer: Psychometric properties of the Arabic version of the Functional Assessment of Cancer Therapy-Cognitive Function Tool. Health Qual. Life Outcomes 2023, 21, 9. [Google Scholar] [CrossRef] [PubMed]
- Von Ah, D.; Tallman, E.F. Perceived cognitive function in breast cancer survivors: Evaluating relationships with objective cognitive performance and other symptoms using the functional assessment of cancer therapy-cognitive function instrument. J. Pain Symptom Manag. 2015, 49, 697–706. [Google Scholar] [CrossRef]
- Jacobs, S.R.; Jacobsen, P.B.; Booth-Jones, M.; Wagner, L.I.; Anasetti, C. Evaluation of the functional assessment of cancer therapy cognitive scale with hematopoietic stem cell transplant patients. J. Pain Symptom Manag. 2007, 33, 13–23. [Google Scholar] [CrossRef] [PubMed]
- Bell, M.; Dhillon, H.; Bray, V.; Vardy, J. Important differences and meaningful changes for the functional assessment of cancer therapy-cognitive function (FACT-Cog). J. Patient-Rep. Outcomes 2018, 2, 48. [Google Scholar] [CrossRef]
- Savard, J.; Ganz, P.A. Subjective or Objective Measures of Cognitive Functioning-What’s More Important? JAMA Oncol. 2016, 2, 1263–1264. [Google Scholar] [CrossRef] [PubMed]
- Wefel, J.S.; Vardy, J.; Ahles, T.; Schagen, S.B. International Cognition and Cancer Task Force recommendations to harmonise studies of cognitive function in patients with cancer. Lancet Oncol. 2011, 12, 703–708. [Google Scholar] [CrossRef] [PubMed]
- Benedict, R.; Schretlen, D.; Groninger, L.; Brandt, J. Hopkins Verbal Learning Test ? Revised: Normative Data and Analysis of Inter-Form and Test-Retest Reliability. Clin. Neuropsychol. Clin. Neuropsychol. 1998, 12, 43–55. [Google Scholar] [CrossRef]
- Shapiro, A.; Benedict, R.; Schretlen, D.; Brandt, J. Construct and Concurrent Validity of the Hopkins Verbal Learning Test— Revised. Clin. Neuropsychol. 1999, 13, 348–358. [Google Scholar] [CrossRef]
- Benedict, R.; Zgaljardic, D. Practice Effects During Repeated Administrations of Memory Tests with and Without Alternate Forms. J. Clin. Exp. Neuropsychol. 1998, 20, 339–352. [Google Scholar] [CrossRef]
- Laird, N.M.; Ware, J.H. Random-effects models for longitudinal data. Biometrics 1982, 38, 963–974. [Google Scholar] [CrossRef] [PubMed]
- Blatch-Jones, A.J.; Pek, W.; Kirkpatrick, E.; Ashton-Key, M. Role of feasibility and pilot studies in randomised controlled trials: A cross-sectional study. BMJ Open 2018, 8, e022233. [Google Scholar] [CrossRef]
- Vogel, S.; Draper-Rodi, J. The importance of pilot studies, how to write them and what they mean. Int. J. Osteopath. Med. 2017, 23, 2–3. [Google Scholar] [CrossRef]
- Teresi, J.A.; Yu, X.; Stewart, A.L.; Hays, R.D. Guidelines for Designing and Evaluating Feasibility Pilot Studies. Med. Care 2022, 60, 95–103. [Google Scholar] [CrossRef] [PubMed]
- Tong, T.; Pei, C.; Chen, J.; Lv, Q.; Zhang, F.; Cheng, Z. Efficacy of Acupuncture Therapy for Chemotherapy-Related Cognitive Impairment in Breast Cancer Patients. Med. Sci. Monit. 2018, 24, 2919–2927. [Google Scholar] [CrossRef] [PubMed]
- Lyu, Y.R.; Lee, H.-Y.; Park, H.-J.; Kwon, O.-J.; Kim, A.-R.; Jung, I.C.; Park, Y.-C.; Cho, J.-H.; Kim, J.-E.; Kim, M.; et al. Electroacupuncture for Cancer-Related Cognitive Impairment: A Clinical Feasibility Study. Integr. Cancer Ther. 2022, 21, 15347354221098983. [Google Scholar] [CrossRef]
- Ferguson, R.J.; Patel, J.V.; Orosco, N.M.; Sinagra, C. Adoption of the International Cognition and Cancer Task Force recommendations for harmonizing studies of cancer-related cognitive impairment: A systematic review of published literature. J. Clin. Oncol. 2024, 42, e24043. [Google Scholar] [CrossRef]
- Franco-Rocha, O.Y.; Lewis, K.A.; Longoria, K.D.; De La Torre Schutz, A.; Wright, M.L.; Kesler, S.R. Cancer-related cognitive impairment in racial and ethnic minority groups: A scoping review. J. Cancer Res. Clin. Oncol. 2023, 149, 12561–12587. [Google Scholar] [CrossRef] [PubMed]
- Kim, R.Y.; Rendle, K.A.; Mitra, N.; Saia, C.A.; Neslund-Dudas, C.; Greenlee, R.T.; Burnett-Hartman, A.N.; Honda, S.A.; Simoff, M.J.; Schapira, M.M.; et al. Socioeconomic Status as a Mediator of Racial Disparity in Annual Lung Cancer Screening Adherence. Am. J. Respir Crit. Care Med. 2023, 207, 777–780. [Google Scholar] [CrossRef]
- Hamel, L.M.; Penner, L.A.; Albrecht, T.L.; Heath, E.; Gwede, C.K.; Eggly, S. Barriers to Clinical Trial Enrollment in Racial and Ethnic Minority Patients with Cancer. Cancer Control 2016, 23, 327–337. [Google Scholar] [CrossRef]
- Ng, A.H.; Ngo-Huang, A.; Vidal, M.; Reyes-Garcia, A.; Liu, D.D.; Williams, J.L.; Fu, J.B.; Yadav, R.; Bruera, E. Exercise Barriers and Adherence to Recommendations in Patients with Cancer. JCO Oncol. Pract. 2021, 17, e972–e981. [Google Scholar] [CrossRef] [PubMed]
- Koffel, E.; Bramoweth, A.D.; Ulmer, C.S. Increasing access to and utilization of cognitive behavioral therapy for insomnia (CBT-I): A narrative review. J. Gen. Intern. Med. 2018, 33, 955–962. [Google Scholar] [CrossRef]
- Cramer, H.; Hall, H.; Leach, M.; Frawley, J.; Zhang, Y.; Leung, B.; Adams, J.; Lauche, R. Prevalence, patterns, and predictors of meditation use among US adults: A nationally representative survey. Sci. Rep. 2016, 6, 36760. [Google Scholar] [CrossRef] [PubMed]
- Mao, J.J.; Liou, K.T.; Baser, R.E.; Bao, T.; Panageas, K.S.; Romero, S.A.D.; Li, Q.S.; Gallagher, R.M.; Kantoff, P.W. Effectiveness of Electroacupuncture or Auricular Acupuncture vs Usual Care for Chronic Musculoskeletal Pain Among Cancer Survivors: The PEACE Randomized Clinical Trial. JAMA Oncol. 2021, 7, 720–727. [Google Scholar] [CrossRef] [PubMed]
- Epstein, A.S.; Liou, K.T.; Romero, S.A.D.; Baser, R.E.; Wong, G.; Xiao, H.; Mo, Z.; Walker, D.; MacLeod, J.; Li, Q.; et al. Acupuncture vs Massage for Pain in Patients Living with Advanced Cancer: The IMPACT Randomized Clinical Trial. JAMA Netw. Open 2023, 6, e2342482. [Google Scholar] [CrossRef] [PubMed]
- Hershman, D.L.; Unger, J.M.; Greenlee, H.; Capodice, J.; Lew, D.L.; Darke, A.; Minasian, L.M.; Fisch, M.J.; Henry, N.L.; Crew, K.D. Comparison of Acupuncture vs Sham Acupuncture or Waiting List Control in the Treatment of Aromatase Inhibitor–Related Joint Pain: A Randomized Clinical Trial. JAMA Netw. Open 2022, 5, e2241720. [Google Scholar] [CrossRef] [PubMed]
- Garland, S.N.; Xie, S.X.; DuHamel, K.; Bao, T.; Li, Q.; Barg, F.K.; Song, S.; Kantoff, P.; Gehrman, P.; Mao, J.J. Acupuncture Versus Cognitive Behavioral Therapy for Insomnia in Cancer Survivors: A Randomized Clinical Trial. J. Natl. Cancer Inst. 2019, 111, 1323–1331. [Google Scholar] [CrossRef]
- Leung, M.C.P.; Yip, K.K.; Ho, Y.S.; Siu, F.K.W.; Li, W.C.; Garner, B. Mechanisms Underlying the Effect of Acupuncture on Cognitive Improvement: A Systematic Review of Animal Studies. J. Neuroimmune Pharmacol. 2014, 9, 492–507. [Google Scholar] [CrossRef] [PubMed]
- Wei, D.; Jia, X.; Yin, X.; Jiang, W. Effects of electroacupuncture versus nimodipine on long-term potentiation and synaptophysin expression in a rat model of vascular dementia. Neural. Regen. Res. 2011, 6, 2357–2361. [Google Scholar]
- Lee, B.; Sur, B.-J.; Kwon, S.; Jung, E.; Shim, I.; Lee, H.; Hahm, D.-H. Acupuncture Stimulation Alleviates Corticosterone-Induced Impairments of Spatial Memory and Cholinergic Neurons in Rats. Evid.-Based Complement. Altern. Med. 2012, 2012, 670536. [Google Scholar] [CrossRef]
- Liu, C.-Z.; Yu, J.-C.; Zhang, X.-Z.; Fu, W.-W.; Wang, T.; Han, J.-X. Acupuncture prevents cognitive deficits and oxidative stress in cerebral multi-infarction rats. Neurosci. Lett. 2006, 393, 45–50. [Google Scholar] [CrossRef] [PubMed]
- Han, X.; Zhao, X.; Lu, M.; Liu, F.; Guo, F.; Zhang, J.; Huang, X. Electroacupuncture ameliorates learning and memory via activation of the CREB signaling pathway in the hippocampus to attenuate apoptosis after cerebral hypoperfusion. Evid.-Based Complement. Altern. Med. 2013, 2013, 156489. [Google Scholar] [CrossRef] [PubMed]
- Cheng, K.J. Neurobiological mechanisms of acupuncture for some common illnesses: A clinician’s perspective. J. Acupunct. Meridian Stud. 2014, 7, 105–114. [Google Scholar] [CrossRef]
- Cui, J.; Song, W.; Jin, Y.; Xu, H.; Fan, K.; Lin, D.; Hao, Z.; Lin, J. Research Progress on the Mechanism of the Acupuncture Regulating Neuro-Endocrine-Immune Network System. Vet. Sci. 2021, 8, 149. [Google Scholar] [CrossRef] [PubMed]
- Ahles, T.A.; Root, J.C. Cognitive Effects of Cancer and Cancer Treatments. Annu. Rev. Clin. Psychol. 2018, 14, 425–451. [Google Scholar] [CrossRef] [PubMed]


| Characteristics | No. (%) | |||
|---|---|---|---|---|
| Total | Real Acupuncture | Sham Acupuncture | Waitlist Control | |
| Mean age (SD) (n = 32) | 58.0 (11.9) | 57.3 (12.6) | 60.6 (7.5) | 55.4 (16.3) |
| Sex (n = 32) | ||||
| Female | 25 (78.1) | 15 (79.0) | 7 (77.8) | 3 (75.0) |
| Male | 7 (21.9) | 4 (21.0) | 2 (22.2) | 1 (25.0) |
| Race (n = 32) | ||||
| Nonwhite | 10 (31.3) | 7 (36.8) | 2 (22.2) | 1 (25.0) |
| White | 22 (68.7) | 12 (63.2) | 7 (77.8) | 3 (75.0) |
| Ethnicity (n = 32) | ||||
| Hispanic or Latino | 3 (9.4) | 1 (5.3) | 2 (22.2) | 0 (0.0) |
| Not Hispanic or Latino | 29 (90.6) | 18 (94.7) | 7 (77.8) | 4 (100.0) |
| Education (n = 32) | ||||
| Some College | 3 (9.4) | 2 (10.5) | 1 (11.1) | 0 (0.0) |
| College Degree | 12 (37.5) | 8 (42.1) | 1 (11.1) | 3 (75.0) |
| Advanced Degree | 17 (53.1) | 9 (47.4) | 7 (77.8) | 1 (25.0) |
| Cancer Type (n = 32) | ||||
| Breast | 11 (34.4) | 8 (42.1) | 1 (11.1) | 2 (50.0) |
| Prostate | 6 (18.8) | 3 (15.8) | 2 (22.2) | 1 (25.0) |
| Gynecological | 8 (25.0) | 5 (26.3) | 3 (33.3) | 0 (0.0) |
| Colorectal | 6 (18.8) | 3 (15.8) | 2 (22.2) | 1 (25.0) |
| Bladder | 1 (3.1) | 0 (0.0) | 1 (11.1) | 0 (0.0) |
| Previous Treatments (n = 32) | ||||
| Surgery | 27 (84.4) | 16 (84.2) | 7 (77.8) | 4 (100.0) |
| Chemotherapy | 15 (46.9) | 9 (47.4) | 4 (44.4) | 2 (50.0) |
| Radiation | 12 (37.5) | 8 (42.1) | 3 (33.3) | 1 (25.0) |
| Reconstructive Surgery | 5 (15.6) | 2 (10.5) | 1 (11.1) | 2 (50.0) |
| Hormonal Therapy | 4 (12.5) | 3 (15.8) | 1 (11.1) | 0 (0.0) |
| Bone Marrow Transplant | 1 (3.1) | 0 (0.0) | 0 (0.0) | 1 (25.0) |
| Biological/Immunotherapy | 1 (3.1) | 1 (5.3) | 0 (0.0) | 0 (0.0) |
| Other | 4 (12.5) | 3 (15.8) | 1 (11.1) | 0 (0.0) |
| Years since cancer diagnosis, mean (SD) (n = 32) | 5.7 (10.8) | 6.4 (13.0) | 5.3 (5.9) | 3.4 (3.4) |
| Cancer Stage (n = 28) | ||||
| Stage 0 | 2 (7.1) | 0 (0.0) | 1 (12.5) | 1 (25.0) |
| Stage I | 10 (35.7) | 7 (43.8) | 2 (25.0) | 1 (25.0) |
| Stage II | 10 (35.7) | 6 (37.5) | 3 (37.5) | 1 (25.0) |
| Stage III | 6 (21.4) | 3 (18.8) | 2 (25.0) | 1 (25.0) |
| Baseline FACT-Cog PCI *, mean (SD) (n = 32) | 35.6 (13.0) | 35.0 (13.5) | 35.5 (13.3) | 38.3 (8.7) |
| Real Acupuncture (RA) | Sham Acupuncture (SA) | Waitlist Control (WLC) | Difference Between RA and SA in Change from Baseline (95% CI) | p-Value (RA vs. SA) | |||||
|---|---|---|---|---|---|---|---|---|---|
| Mean Change from Baseline (95% CI) | Difference from WLC in Change from Baseline (95% CI) | p-Value (RA vs. WLC) | Mean Change from Baseline (95% CI) | Difference from WLC in Change from Baseline (95% CI) | p-Value (SA vs. WLC) | Mean Change from Baseline (95% CI) | |||
| All Patients | |||||||||
| Week 10 | 17.31 (12.53 to 22.09) | 10.56 (−0.89 to 22.00) | 0.074 | 9.72 (2.78 to 16.66) | 2.97 (−9.53 to 15.47) | 0.64 | 6.75 (−3.66 to 17.16) | 7.59 (−0.84 to 16.02) | 0.081 |
| Week 16 | 17.34 (12.48 to 22.20) | 5.08 (−6.40 to 16.57) | 0.39 | 11.09 (4.15 to 18.03) | −1.16 (−13.66 to 11.35) | 0.86 | 12.25 (1.84 to 22.66) | 6.24 (−2.22 to 14.71) | 0.15 |
| Patients with Baseline HVLT-R* T score <50 | |||||||||
| Week 10 | 20.41 (13.55 to 27.27) | NA * | NA | 11.05 (0.56 to 21.54) | NA | NA | NA | 9.35 (−3.08 to 21.78) | 0.15 |
| Week 16 | 20.65 (14.02 to 27.27) | NA | NA | 7.28 (−3.30 to 17.86) | NA | NA | NA | 13.36 (0.86 to 25.86) | 0.044 |
| Real Acupuncture | Sham Acupuncture | Waitlist Control | ||||
|---|---|---|---|---|---|---|
| HVLT-R Total Recall | N | Mean (SD) | N | Mean (SD) | N | Mean (SD) |
| Baseline | 19 | 47.10 (10.46) | 9 | 47.11 (14.56) | 4 | 50.75 (9.03) |
| Week 10 | 19 | 44.58 (10.92) | 8 | 47.75 (14.07) | 4 | 50.00 (12.27) |
| Week 16 | 18 | 49.06 (7.44) | 8 | 44.75 (14.90) | 4 | 53.75 (14.08) |
| HVLT-R Delayed Recall | ||||||
| Baseline | 19 | 49.42 (9.63) | 9 | 46.33 (12.79) | 4 | 48.00 (14.07) |
| Week 10 | 19 | 46.16 (11.49) | 8 | 45.00 (10.17) | 4 | 56.25 (5.50) |
| Week 16 | 18 | 50.00 (11.15) | 8 | 45.12 (12.98) | 4 | 39.75 (20.82) |
| Real Acupuncture | Sham Acupuncture | |||
|---|---|---|---|---|
| HVLT-R Total Recall | N | Mean (SD) | N | Mean (SD) |
| Baseline | 10 | 39.30 (7.47) | 4 | 43.70 (8.67) |
| Week 10 | 10 | 41.40 (10.68) | 4 | 49.25 (9.43) |
| Week 16 | 10 | 45.20 (5.63) | 4 | 33.75 (10.28) |
| HVLT-R Delayed Recall | ||||
| Baseline | 10 | 43.70 (8.67) | 4 | 39.25 (13.57) |
| Week 10 | 10 | 42.70 (10.94) | 4 | 44.50 (8.18) |
| Week 16 | 10 | 44.20 (9.64) | 4 | 35.25 (10.18) |
Disclaimer/Publisher’s Note: The statements, opinions and data contained in all publications are solely those of the individual author(s) and contributor(s) and not of MDPI and/or the editor(s). MDPI and/or the editor(s) disclaim responsibility for any injury to people or property resulting from any ideas, methods, instructions or products referred to in the content. |
© 2025 by the authors. Licensee MDPI, Basel, Switzerland. This article is an open access article distributed under the terms and conditions of the Creative Commons Attribution (CC BY) license (https://creativecommons.org/licenses/by/4.0/).
Share and Cite
Li, X.; Lampson, K.; Ahles, T.A.; Root, J.C.; Li, Q.S.; Li, Y.; Ahsan, A.; Mao, J.J.; Liou, K.T. Feasibility and Preliminary Effects of Acupuncture for Cognitive Dysfunction in Diverse Cancer Survivors: A Pilot, Randomized, Placebo-Controlled Trial. Curr. Oncol. 2025, 32, 27. https://doi.org/10.3390/curroncol32010027
Li X, Lampson K, Ahles TA, Root JC, Li QS, Li Y, Ahsan A, Mao JJ, Liou KT. Feasibility and Preliminary Effects of Acupuncture for Cognitive Dysfunction in Diverse Cancer Survivors: A Pilot, Randomized, Placebo-Controlled Trial. Current Oncology. 2025; 32(1):27. https://doi.org/10.3390/curroncol32010027
Chicago/Turabian StyleLi, Xiaotong, Kaitlin Lampson, Tim A. Ahles, James C. Root, Q. Susan Li, Yuelin Li, Anam Ahsan, Jun J. Mao, and Kevin T. Liou. 2025. "Feasibility and Preliminary Effects of Acupuncture for Cognitive Dysfunction in Diverse Cancer Survivors: A Pilot, Randomized, Placebo-Controlled Trial" Current Oncology 32, no. 1: 27. https://doi.org/10.3390/curroncol32010027
APA StyleLi, X., Lampson, K., Ahles, T. A., Root, J. C., Li, Q. S., Li, Y., Ahsan, A., Mao, J. J., & Liou, K. T. (2025). Feasibility and Preliminary Effects of Acupuncture for Cognitive Dysfunction in Diverse Cancer Survivors: A Pilot, Randomized, Placebo-Controlled Trial. Current Oncology, 32(1), 27. https://doi.org/10.3390/curroncol32010027

