Prognostic Factors of Low-Grade Gliomas in Adults
Abstract
1. Introduction
2. Materials and Methods
3. Results
3.1. Demographic and Clinical Characteristics
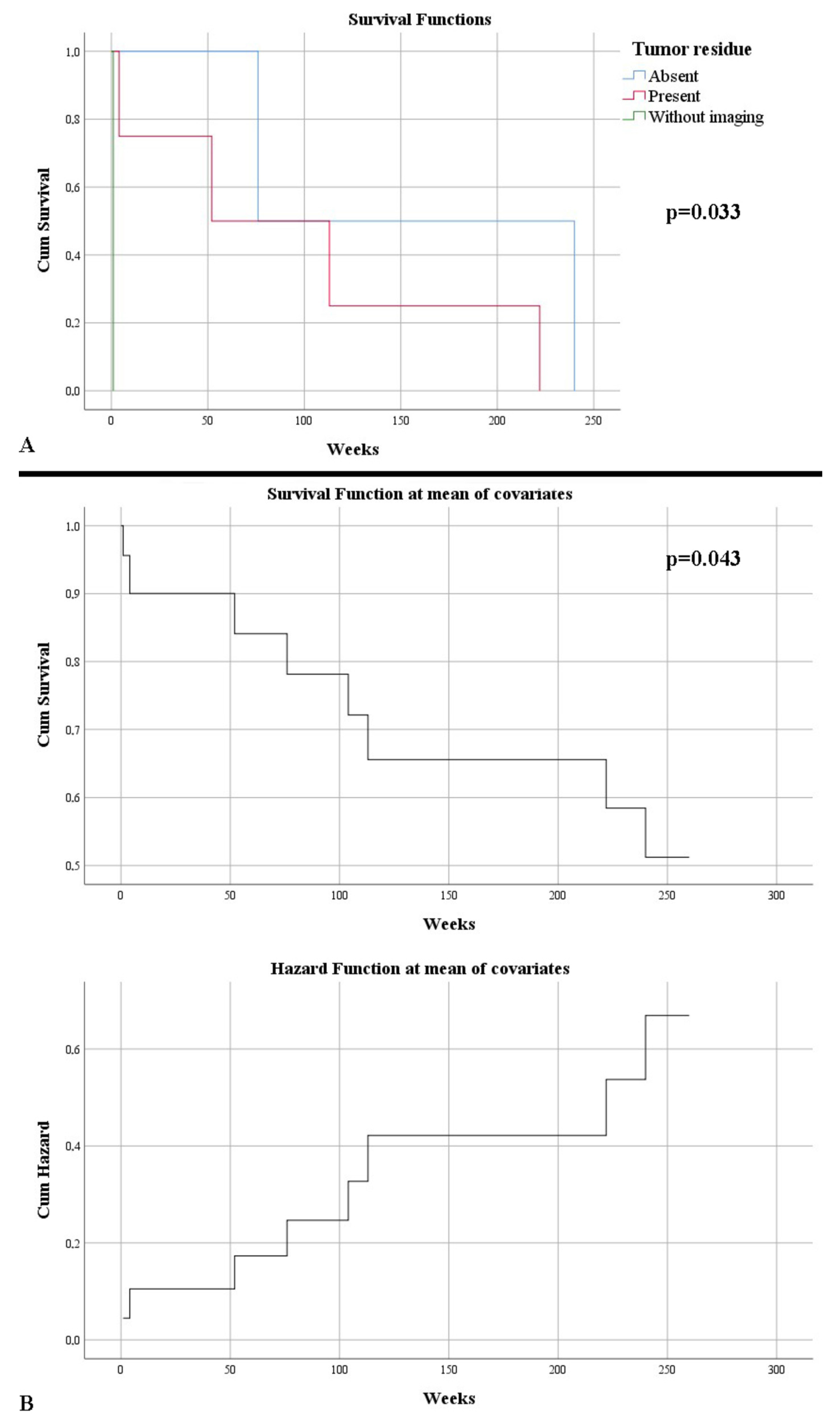
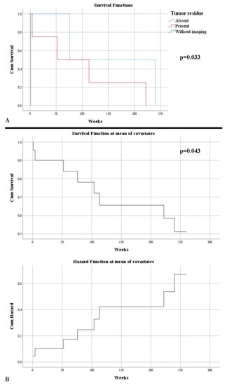
3.2. Imaging Features
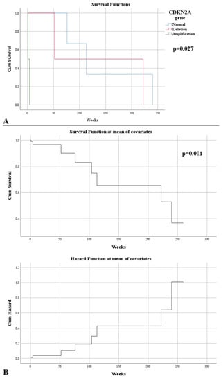
3.3. Morpho-Genetic Characterization
4. Discussion
5. Conclusions
Author Contributions
Funding
Institutional Review Board Statement
Informed Consent Statement
Conflicts of Interest
References
- Brown, T.J.; Bota, D.A.; van Den Bent, M.J.; Brown, P.D.; Maher, E.; Aregawi, D.; Liau, L.M.; Buckner, J.C.; Weller, M.; Berger, M.S.; et al. Management of low-grade glioma: A systematic review and meta-analysis. Neurooncol. Pract. 2019, 6, 249–258. [Google Scholar] [CrossRef]
- Greuter, L.; Guzman, R.; Soleman, J. Pediatric and Adult Low-Grade Gliomas: Where Do the Differences Lie? Children 2021, 8, 1075. [Google Scholar] [CrossRef]
- Pouratian, N.; Schiff, D. Management of Low-Grade Glioma. Curr. Neurol. Neurosci. Rep. 2010, 10, 224–231. [Google Scholar] [CrossRef]
- Onder, H.; Kanyilmaz, G.; Aktan, M.; Karahacioglu, E. Prognostic factors for survival in adult patients with grade II glial tumors. J. Turgut Ozal. Med. Cent. 2018, 25, 105–111. [Google Scholar] [CrossRef]
- Tom, M.C.; Park, D.Y.J.; Yang, K.; Leyrer, C.M.; Wei, W.; Jia, X.; Varra, V.; Yu, J.S.; Chao, S.T.; Balagamwala, E.H.; et al. Malignant Transformation of Molecularly Classified Adult Low-Grade Glioma. Int. J. Radiat. Oncol. Biol. Phys. 2019, 105, 1106–1112. [Google Scholar] [CrossRef]
- Satar, Z.; Hotton, G.; Samandouras, G. Systematic review—Time to malignant transformation in low-grade gliomas: Predicting a catastrophic event with clinical, neuroimaging, and molecular markers. Neuro Oncol. Adv. 2021, 3, 1–12. [Google Scholar] [CrossRef]
- Murphy, E.S.; Leyrer, C.M.; Parsons, M.; Suh, J.H.; Chao, S.T.; Yu, J.S.; Kotecha, R.; Jia, X.; Peereboom, D.M.; Prayson, R.A.; et al. Risk Factors for Malignant Transformation of Low-Grade Glioma. Int. J. Radiat. Oncol. Biol. Phys. 2018, 100, 965–971. [Google Scholar] [CrossRef]
- Gousias, K.; Schramm, J.; Simon, M. Extent of resection and survival in supratentorial infiltrative low-grade gliomas: Analysis of and adjustment for treatment bias. Acta Neurochir. 2014, 156, 327–337. [Google Scholar] [CrossRef]
- Lönn, S.; Klaeboe, L.; Hall, P.; Mathiesen, T.; Auvinen, A.; Christensen, H.C.; Johansen, C.; Salminen, T.; Tynes, T.; Feychting, M. Incidence trends of adult primary intracerebral tumors in four Nordic countries. Int. J. Cancer 2004, 108, 450–455. [Google Scholar] [CrossRef]
- Ostrom, Q.T.; Cioffi, G.; Gittleman, H.; Patil, N.; Waite, K.; Kruchko, C.; Barnholtz-Sloan, J.S. CBTRUS Statistical Report: Primary Brain and Other Central Nervous System Tumors Diagnosed in the United States in 2012–2016. Neuro Oncol. 2019, 21 (Suppl. 5), 1–100. [Google Scholar] [CrossRef]
- Pouchieu, C.; Gruber, A.; Berteaud, E.; Ménégon, P.; Monteil, P.; Huchet, A.; Vignes, J.R.; Vital, A.; Loiseau, H.; Baldi, I. Increasing incidence of central nervous system (CNS) tumors (2000–2012): Findings from a population based registry in Gironde (France). BMC Cancer 2018, 18, 653. [Google Scholar] [CrossRef] [PubMed]
- Nilsson, J.; Järås, J.; Henriksson, R.; Holgersson, G.; Bergström, S.; Estenberg, J.; Augustsson, T.; Bergqvist, M. No Evidence for Increased Brain Tumour Incidence in the Swedish National Cancer Register Between Years 1980–2012. Anticancer Res. 2019, 39, 791–796. [Google Scholar] [CrossRef] [PubMed]
- Freyschlag, C.F.; Krieg, S.M.; Kerschbaumer, J.; Pinggera, D.; Forster, M.T.; Cordier, D.; Rossi, M.; Miceli, G.; Roux, A.; Reyes, A.; et al. Imaging practice in low-grade gliomas among European specialized centers and proposal for a minimum core of imaging. J. Neurooncol. 2018, 139, 699–711. [Google Scholar] [CrossRef] [PubMed]
- Zhao, Y.Y.; Chen, S.H.; Hao, Z.; Zhu, H.X.; Xing, Z.L.; Li, M.H. A Nomogram for Predicting Individual Prognosis of Patients with Low-Grade Glioma. World Neurosurg. 2019, 130, 605–612. [Google Scholar] [CrossRef]
- Deng, J.; Cheng, X.; Zhou, Y. Gene clustering, enrichment and survival analysis of differentially expressed genes in Low Grade Glioma between different genders by big data analysis. ICDMML 2019, 2019, 136–139. [Google Scholar] [CrossRef]
- Khan, M.T.; Prajapati, B.; Lakhina, S.; Sharma, M.; Prajapati, S.; Chosdol, K.; Sinha, S. Identification of Gender-Specific Molecular Differences in Glioblastoma (GBM) and Low-Grade Glioma (LGG) by the Analysis of Large Transcriptomic and Epigenomic Datasets. Front. Oncol. 2021, 11, 699594. [Google Scholar] [CrossRef]
- Deng, J.; Yao, M.; Cheng, X.; Zhou, Y. Screening of differentially expressed lncRNAs for predicting Low Grade Glioma between different genders by Computational Biology. IOP Conf. Ser. Earth Environ. Sci. 2019, 332, 032005. [Google Scholar] [CrossRef]
- Xiao, K.; Liu, Q.; Peng, G.; Su, J.; Qin, C.Y.; Wang, X.Y. Identification and validation of a three-gene signature as a candidate prognostic biomarker for lower grade glioma. PeerJ 2020, 8, e8312. [Google Scholar] [CrossRef]
- Aiman, W.; Rayi, A. Low Grade Gliomas. In StatPearls; StatPearls Publishing: Treasure Island, FL, USA, 2022. [Google Scholar]
- IJzerman-Korevaar, M.; Snijders, T.J.; de Graeff, A.; Teunissen, S.C.C.M.; de Vos, F.Y.F. Prevalence of symptoms in glioma patients throughout the disease trajectory: A systematic review. J. Neurooncol. 2018, 140, 485–496. [Google Scholar] [CrossRef]
- Kerkhof, M.; Vecht, C.J. Seizure characteristics and prognostic factors of gliomas. Epilepsia 2013, 54, 12–17. [Google Scholar] [CrossRef]
- Acharya, S.; Lavrador, J.P.; Sekhon, P.P.; Visagan, R.; Jung, J.; Gullan, R.; Vergani, F.; Bhangoo, R.; Ashkan, K. Low-Grade Glioma Case Series: Lessons Learned from an Evolving 10-Year Single-Institution Multidisciplinary Team Practice. World Neurosurg. 2021, 151, 47–57. [Google Scholar] [CrossRef] [PubMed]
- You, G.; Sha, Z.Y.; Yan, W.; Zhang, W.; Wang, Y.Z.; Li, S.W.; Sang, L.; Wang, Z.; Li, G.L.; Li, S.W.; et al. Seizure characteristics and outcomes in 508 Chinese adult patients undergoing primary resection of low-grade gliomas: A clinicopathological study. Neuro Oncol. 2012, 14, 230–241. [Google Scholar] [CrossRef]
- Pignatti, F.; van den Bent, M.; Curran, D.; Debruyne, C.; Sylvester, R.; Therasse, P.; Afra, D.; Cornu, P.; Bolla, M.; Vecht, C.; et al. Prognostic factors for survival in adult patients with cerebral low-grade glioma. J. Clin. Oncol. 2002, 20, 2076–2084. [Google Scholar] [CrossRef]
- van Veelen, M.L.; Avezaat, C.J.; Kros, J.M.; van Putten, W.; Vecht, C. Supratentorial low grade astrocytoma: Prognostic factors, dedifferentiation, and the issue of early versus late surgery. J. Neurol. Neurosurg. Psychiatry 1998, 64, 581–587. [Google Scholar] [CrossRef] [PubMed]
- Schiff, D.; Van den Bent, M.; Vogelbaum, M.A.; Wick, W.; Miller, C.R.; Taphoorn, M.; Pope, W.; Brown, P.D.; Platten, M.; Jalali, R.; et al. Recent developments and future directions in adult lower-grade gliomas: Society for Neuro-Oncology (SNO) and European Association of Neuro-Oncology (EANO) consensus. Neuro Oncol. 2019, 21, 837–853. [Google Scholar] [CrossRef]
- Li, Y.; Shan, X.; Wu, Z.; Wang, Y.; Ling, M.; Fan, X. IDH1 mutation is associated with a higher preoperative seizure incidence in low-grade glioma: A systematic review and meta-analysis. Seizure 2018, 55, 76–82. [Google Scholar] [CrossRef]
- Avila, E.K.; Chamberlain, M.; Schiff, D.; Reijneveld, J.C.; Armstrong, T.S.; Ruda, R.; Wen, P.Y.; Weller, M.; Koekkoek, J.A.; Mittal, S.; et al. Seizure control as a new metric in assessing efficacy of tumor treatment in low-grade glioma trials. Neuro Oncol. 2017, 19, 12–21. [Google Scholar] [CrossRef]
- Gogos, A.J.; Young, J.S.; Pereira, M.P.; Morshed, R.A.; Potts, M.B.; Hervey-Jumper, S.L.; Berger, M.S. Surgical management of incidentally discovered low-grade gliomas. J. Neurosurg. 2020, 135, 480–487. [Google Scholar] [CrossRef]
- Bulakbaşı, N.; Paksoy, Y. Advanced imaging in adult diffusely infiltrating low-grade gliomas. Insights Imaging 2019, 10, 122. [Google Scholar] [CrossRef]
- Schomas, D.A.; Laack, N.N.; Rao, R.D.; Meyer, F.B.; Shaw, E.G.; O'Neill, B.P.; Giannini, C.; Brown, P.D. Intracranial low-grade gliomas in adults: 30-year experience with long-term follow-up at Mayo Clinic. Neuro Oncol. 2009, 11, 437–445. [Google Scholar] [CrossRef]
- Wijnenga, M.M.J.; French, P.J.; Dubbink, H.J.; Dinjens, W.N.M.; Atmodimedjo, P.N.; Kros, J.M.; Smits, M.; Gahrmann, R.; Rutten, G.J.; Verheul, J.B.; et al. The impact of surgery in molecularly defined low-grade glioma: An integrated clinical, radiological, and molecular analysis. Neuro Oncol. 2018, 20, 103–112. [Google Scholar] [CrossRef] [PubMed]
- Kavouridis, V.K.; Boaro, A.; Dorr, J.; Cho, E.Y.; Iorgulescu, J.B.; Reardon, D.A.; Arnaout, O.; Smith, T.R. Contemporary assessment of extent of resection in molecularly defined categories of diffuse low-grade glioma: A volumetric analysis. J. Neurosurg. 2019, 1–11. [Google Scholar] [CrossRef] [PubMed]
- Darvishi, P.; Batchala, P.P.; Patrie, J.T.; Poisson, L.M.; Lopes, M.B.; Jain, R.; Fadul, C.E.; Schiff, D.; Patel, S.H. Prognostic Value of Preoperative MRI Metrics for Diffuse Lower-Grade Glioma Molecular Subtypes. AJNR Am. J. Neuroradiol. 2020, 41, 815–821. [Google Scholar] [CrossRef] [PubMed]
- Batchala, P.P.; Muttikkal, T.J.E.; Donahue, J.H.; Patrie, J.T.; Schiff, D.; Fadul, C.E.; Mrachek, E.K.; Lopes, M.B.; Jain, R.; Patel, S.H. Neuroimaging-Based Classification Algorithm for Predicting 1p/19q-Codeletion Status in IDH-Mutant Lower Grade Gliomas. AJNR Am. J. Neuroradiol. 2019, 40, 426–432. [Google Scholar] [CrossRef] [PubMed]
- Tunthanathip, T.; Sangkhathat, S.; Kanjanapradit, K. Risk Factors Associated with Malignant Transformation of Astrocytoma: Competing Risk Regression Analysis. Asian J. Neurosurg. 2021, 16, 777–784. [Google Scholar] [CrossRef]
- Xia, L.; Fang, C.; Chen, G.; Sun, C. Relationship between the extent of resection and the survival of patients with low-grade gliomas: A systematic review and meta-analysis. BMC Cancer 2018, 18, 48. [Google Scholar] [CrossRef]
- Patel, T.; Bander, E.D.; Venn, R.A.; Powell, T.; Cederquist, G.Y.; Schaefer, P.M.; Puchi, L.A.; Akhmerov, A.; Ogilvie, S.; Reiner, A.S.; et al. The Role of Extent of Resection in IDH1 Wild-Type or Mutant Low-Grade Gliomas. Neurosurgery 2018, 82, 808–814. [Google Scholar] [CrossRef]
- Patel, S.H.; Bansal, A.G.; Young, E.B.; Batchala, P.P.; Patrie, J.T.; Lopes, M.B.; Jain, R.; Fadul, C.E.; Schiff, D. Extent of Surgical Resection in Lower-Grade Gliomas: Differential Impact Based on Molecular Subtype. AJNR Am. J. Neuroradiol. 2019, 40, 1149–1155. [Google Scholar] [CrossRef]
- Smith, J.S.; Chang, E.F.; Lamborn, K.R.; Chang, S.M.; Prados, M.D.; Cha, S.; Tihan, T.; Vandenberg, S.; McDermott, M.W.; Berger, M.S. Role of extent of resection in the long-term outcome of low-grade hemispheric gliomas. J. Clin. Oncol. 2008, 26, 1338–1345. [Google Scholar] [CrossRef]
- Zou, H.; Duan, Y.; Wei, D.; Zhang, Y.; Dai, J.; Li, J.; Li, X.; Zhou, J.; Liu, Z.; Jin, Z.; et al. Molecular features of pleomorphic xanthoastrocytoma. Hum. Pathol. 2019, 86, 38–48. [Google Scholar] [CrossRef]
- Prayson, R.A. IDH-1 polymorphisms in pilocytic astrocytomas. Ann. Diagn. Pathol. 2019, 43, 151411. [Google Scholar] [CrossRef] [PubMed]
- Reis, G.F.; Pekmezci, M.; Hansen, H.M.; Rice, T.; Marshall, R.E.; Molinaro, A.M.; Phillips, J.J.; Vogel, H.; Wiencke, J.K.; Wrensch, M.R.; et al. CDKN2A loss is associated with shortened overall survival in lower-grade (World Health Organization Grades II–III) astrocytomas. J. Neuropathol. Exp. Neurol. 2015, 74, 442–452. [Google Scholar] [CrossRef] [PubMed]
- Ono, Y.; Tamiya, T.; Ichikawa, T.; Kunishio, K.; Matsumoto, K.; Furuta, T.; Ohmoto, T.; Ueki, K.; Louis, D.N. Malignant astrocytomas with homozygous CDKN2/p16 gene deletions have higher Ki-67 proliferation indices. J. Neuropathol. Exp. Neurol. 1996, 55, 1026–1031. [Google Scholar] [CrossRef] [PubMed][Green Version]
- Pessôa, I.A.; Amorim, C.K.; Ferreira, W.A.S.; Sagica, F.; Brito, J.R.; Othman, M.; Meyer, B.; Liehr, T.; de Oliveira, E.H.C. Detection and Correlation of Single and Concomitant TP53, PTEN, and CDKN2A Alterations in Gliomas. Int. J. Mol. Sci. 2019, 20, 2658. [Google Scholar] [CrossRef]
- Vuong, H.G.; Tran, T.T.K.; Ngo, H.T.T.; Pham, T.Q.; Nakazawa, T.; Fung, K.M.; Hassell, L.; Katoh, R.; Kondo, T. Prognostic significance of genetic biomarkers in isocitrate dehydrogenase-wild-type lower-grade glioma: The need to further stratify this tumor entity—A meta-analysis. Eur. J. Neurol. 2019, 26, 379–387. [Google Scholar] [CrossRef]
- Lu, V.M.; O’Connor, K.P.; Shah, A.H.; Eichberg, D.G.; Luther, E.M.; Komotar, R.J.; Ivan, M.E. The prognostic significance of CDKN2A homozygous deletion in IDH-mutant lower-grade glioma and glioblastoma: A systematic review of the contemporary literature. J. Neurooncol. 2020, 148, 221–229. [Google Scholar] [CrossRef]
- Bortolotto, S.; Chiadò-Piat, L.; Cavalla, P.; Bosone, I.; Chiò, A.; Mauro, A.; Schiffer, D. CDKN2A/p16 inactivation in the prognosis of oligodendrogliomas. Int. J. Cancer 2000, 88, 554–557. [Google Scholar] [CrossRef]
- Behling, F.; Steinhilber, J.; Tatagiba, M.; Bisdas, S.; Schittenhelm, J. IDH1 R132H mutation in a pilocytic astrocytoma: A case report. Int. J. Clin. Exp. Pathol. 2015, 8, 11809–11813. [Google Scholar]
- Medress, Z.A.; Xu, L.W.; Ziskin, J.L.; Lefterova, M.I.; Vogel, H.; Li, G. Pilocytic astrocytoma with IDH1 mutation in the cerebellum of an elderly patient. Clin. Neuropathol. 2015, 34, 96–98. [Google Scholar] [CrossRef]
- Bond, K.M.; Hughes, J.D.; Porter, A.L.; Orina, J.; Fang, S.; Parney, I.F. Adult Pilocytic Astrocytoma: An Institutional Series and Systematic Literature Review for Extent of Resection and Recurrence. World Neurosurg. 2018, 110, 276–283. [Google Scholar] [CrossRef]
- Hasselblatt, M.; Jaber, M.; Reuss, D.; Grauer, O.; Bibo, A.; Terwey, S.; Schick, U.; Ebel, H.; Niederstadt, T.; Stummer, W.; et al. Diffuse Astrocytoma, IDH-Wildtype: A Dissolving Diagnosis. J. Neuropathol. Exp. Neurol. 2018, 77, 422–425. [Google Scholar] [CrossRef] [PubMed]
- Johannessen, A.L.; Torp, S.H. The clinical value of Ki-67/MIB-1 labeling index in human astrocytomas. Pathol. Oncol. Res. 2006, 12, 143–147. [Google Scholar] [CrossRef] [PubMed]
- Skjulsvik, A.J.; Mørk, J.N.; Torp, M.O.; Torp, S.H. Ki-67/MIB-1 immunostaining in a cohort of human gliomas. Int. J. Clin. Exp. Pathol. 2014, 7, 8905–8910. [Google Scholar] [PubMed]
- Mahzouni, P.; Mokhtari, M.; Amirmansour, B. Differentiation between reactive gliosis and astrocytomas by MIB-1/ki67 immunostaining. JRMS 2017, 12, 241–245. [Google Scholar]
- Thotakura, M.; Tirumalasetti, N.; Krishna, R. Role of Ki-67 labeling index as an adjunct to the histopathological diagnosis and grading of astrocytomas. J. Cancer Res. Ther. 2014, 10, 641–645. [Google Scholar] [CrossRef] [PubMed]
- Youssef, G.; Miller, J.J. Lower Grade Gliomas. Curr. Neurol. Neurosci. Rep. 2020, 20, 21. [Google Scholar] [CrossRef] [PubMed]
- Tanboon, J.; Williams, E.A.; Louis, D.N. The Diagnostic Use of Immunohistochemical Surrogates for Signature Molecular Genetic Alterations in Gliomas. J. Neuropathol. Exp. Neurol. 2016, 75, 4–18. [Google Scholar] [CrossRef]
- Mukasa, A.; Takayanagi, S.; Saito, K.; Shibahara, J.; Tabei, Y.; Furuya, K.; Ide, T.; Narita, Y.; Nishikawa, R.; Ueki, K.; et al. Significance of IDH mutations varies with tumor histology, grade, and genetics in Japanese glioma patients. Cancer Sci. 2012, 103, 587–592. [Google Scholar] [CrossRef]
- Schiffer, D.; Manazza, A.; Tamagno, I. Nestin expression in neuroepithelial tumors. Neurosci. Lett. 2006, 400, 80–85. [Google Scholar] [CrossRef]
- Abdelkareem, R.M.; Elnashar, A.T.; Fadle, K.N.; Muhammad, E.M.S. Immunohistochemical expression of Nestin as Cancer Stem Cell Marker in gliomas. J. Neurosci. Neurol. Disord. 2019, 3, 162–166. [Google Scholar] [CrossRef]
- Woo, C.G. Clinicopathological Significance of Nestin Expression as a Diagnostic and Prognostic Marker in Brain Gliomas, Independent of IDH Mutation. Res. Sq. 2021. [Google Scholar] [CrossRef]
- Rani, S.B.; Mahadevan, A.; Anilkumar, S.R.; Raju, T.R.; Shankar, S.K. Expression of nestin--a stem cell associated intermediate filament in human CNS tumours. Indian J. Med. Res. 2006, 124, 269–280. [Google Scholar] [PubMed]






Publisher’s Note: MDPI stays neutral with regard to jurisdictional claims in published maps and institutional affiliations. |
© 2022 by the authors. Licensee MDPI, Basel, Switzerland. This article is an open access article distributed under the terms and conditions of the Creative Commons Attribution (CC BY) license (https://creativecommons.org/licenses/by/4.0/).
Share and Cite
Deacu, M.; Popescu, S.; Docu Axelerad, A.; Topliceanu, T.S.; Aschie, M.; Bosoteanu, M.; Cozaru, G.C.; Cretu, A.M.; Voda, R.I.; Orasanu, C.I. Prognostic Factors of Low-Grade Gliomas in Adults. Curr. Oncol. 2022, 29, 7327-7342. https://doi.org/10.3390/curroncol29100576
Deacu M, Popescu S, Docu Axelerad A, Topliceanu TS, Aschie M, Bosoteanu M, Cozaru GC, Cretu AM, Voda RI, Orasanu CI. Prognostic Factors of Low-Grade Gliomas in Adults. Current Oncology. 2022; 29(10):7327-7342. https://doi.org/10.3390/curroncol29100576
Chicago/Turabian StyleDeacu, Mariana, Steliana Popescu, Any Docu Axelerad, Theodor Sebastian Topliceanu, Mariana Aschie, Madalina Bosoteanu, Georgeta Camelia Cozaru, Ana Maria Cretu, Raluca Ioana Voda, and Cristian Ionut Orasanu. 2022. "Prognostic Factors of Low-Grade Gliomas in Adults" Current Oncology 29, no. 10: 7327-7342. https://doi.org/10.3390/curroncol29100576
APA StyleDeacu, M., Popescu, S., Docu Axelerad, A., Topliceanu, T. S., Aschie, M., Bosoteanu, M., Cozaru, G. C., Cretu, A. M., Voda, R. I., & Orasanu, C. I. (2022). Prognostic Factors of Low-Grade Gliomas in Adults. Current Oncology, 29(10), 7327-7342. https://doi.org/10.3390/curroncol29100576

