External Validation of the Graded Prognostic Assessment in Patients with Brain Metastases from Small Cell Lung Cancer
Abstract
1. Introduction
2. Materials and Methods
3. Results
4. Discussion
5. Conclusions
Author Contributions
Funding
Institutional Review Board Statement
Informed Consent Statement
Data Availability Statement
Conflicts of Interest
References
- Sperduto, P.W.; Mesko, S.; Li, J.; Cagney, D.; Aizer, A.; Lin, N.U.; Nesbit, E.; Kruser, T.J.; Chan, J.; Braunstein, S.; et al. Survival in patients with brain metastases: Summary report on the updated diagnosis-specific graded prognostic assessment and definition of the eligibility quotient. J. Clin. Oncol. 2020, 38, 3773–3784. [Google Scholar] [CrossRef] [PubMed]
- Nieder, C.; Yobuta, R.; Mannsåker, B. Expansion of the LabBM score: Is the LabPS the best tool predicting survival in patients with brain metastases? Am. J. Clin. Oncol. 2021, 44, 53–57. [Google Scholar] [CrossRef] [PubMed]
- Berghoff, A.S.; Wolpert, F.; Holland-Letz, T.; Koller, R.; Widhalm, G.; Gatterbauer, G.; Dieckmann, K.; Birner, P.; Bartsch, R.; Zielinski, C.C.; et al. Combining standard clinical blood values for improving survival prediction in patients with newly diagnosed brain metastases—Development and validation of the LabBM score. Neuro Oncol. 2017, 19, 1255–1262. [Google Scholar] [CrossRef] [PubMed]
- Nieder, C.; Mehta, M.P.; Geinitz, H.; Grosu, A.L. Prognostic and predictive factors in patients with brain metastases from solid tumors: A review of published nomograms. Crit. Rev. Oncol. Hematol. 2018, 126, 13–18. [Google Scholar] [CrossRef] [PubMed]
- Nieder, C.; Bremnes, R.M.; Andratschke, N.H. Prognostic scores in patients with brain metastases from non-small cell lung cancer. J. Thorac. Oncol. 2009, 4, 1337–1341. [Google Scholar] [CrossRef] [PubMed]
- Sperduto, P.W.; Yang, T.J.; Beal, K.; Pan, H.; Brown, P.D.; Bangdiwala, A.; Shanley, R.; Yeh, N.; Gaspar, L.E.; Braunstein, S.; et al. Estimating survival in patients with lung cancer and brain metastases: An update of the graded prognostic assessment for lung cancer using molecular markers (Lung-molGPA). JAMA Oncol. 2017, 3, 827–831. [Google Scholar] [CrossRef] [PubMed]
- Sperduto, P.W.; De, B.; Li, J.; Carpenter, D.; Kirkpatrick, J.; Milligan, M.; Shih, H.A.; Kutuk, T.; Kotecha, R.; Higaki, H.; et al. The graded prognostic assessment (GPA) for lung cancer patients with brain metastases: Initial report of the small cell lung cancer GPA and update of the non-small cell lung cancer GPA including the effect of programmed death ligand-1 (PD-L1) and other prognostic factors. Int. J. Radiat. Oncol. Biol. Phys. 2022, 114, 60–74. [Google Scholar] [PubMed]
- Bernhardt, D.; Adeberg, S.; Bozorgmehr, F.; Opfermann, N.; Horner-Rieber, J.; König, L.; Kappes, J.; Thomas, M.; Unterberg, A.; Herth, F.; et al. Outcome and prognostic factors in single brain metastases from small-cell lung cancer. Strahlenther. Onkol. 2018, 194, 98–106. [Google Scholar] [CrossRef]
- Nieder, C.; Hintz, M.; Oehlke, O.; Bilger, A.; Grosu, A.L. Validation of the graded prognostic assessment for lung cancer with brain metastases using molecular markers (lung-molGPA). Radiat. Oncol. 2017, 12, 107. [Google Scholar] [CrossRef] [PubMed]
- Nieder, C.; Hintz, M.; Popp, I.; Bilger, A.; Grosu, A.L. Validation of the graded prognostic assessment for gastrointestinal cancers with brain metastases (GI-GPA). Radiat. Oncol. 2020, 15, 35. [Google Scholar] [CrossRef] [PubMed]
- Putora, P.M.; Fischer, G.F.; Früh, M.; Califano, R.; Faivre-Finn, C.; Van Houtte, P.; McDonald, F.; Nestle, U.; Dziadziuszko, R.; Le Pechoux, C.; et al. Treatment of brain metastases in small cell lung cancer: Decision-making amongst a multidisciplinary panel of European experts. Radiot. Oncol. 2020, 149, 84–88. [Google Scholar] [CrossRef] [PubMed]
- Crockett, C.; Belderbos, J.; Levy, A.; McDonald, F.; Le Pechoux, C.; Faivre-Finn, C. Prophylactic cranial irradiation (PCI), hippocampal avoidance (HA) whole brain radiotherapy (WBRT) and stereotactic radiosurgery (SRS) in small cell lung cancer (SCLC): Where do we stand? Lung Cancer. 2021, 162, 96–105. [Google Scholar] [CrossRef] [PubMed]
- Liu, J.L.; Walker, E.V.; Paudel, Y.R.; Davis, F.G.; Yuan, Y. Brain metastases among cancer patients diagnosed from 2010–2017 in Canada: Incidence proportion at diagnosis and estimated lifetime incidence. Curr. Oncol. 2022, 29, 2091–2105. [Google Scholar] [CrossRef] [PubMed]
- Rades, D.; Hansen, H.C.; Janssen, S.; Schild, S.E. Comparison of diagnosis-specific survival scores for patients with small-cell lung cancer irradiated for brain metastases. Cancers 2019, 11, 233. [Google Scholar] [CrossRef]
- Bernhardt, D.; König, L.; Aufderstrasse, S.; Krisam, J.; Hoerner-Rieber, J.; Adeberg, S.; Bozorgmehr, F.; El Shafie, R.; Lang, K.; Kappes, J.; et al. Generation of a new disease-specific prognostic score for patients with brain metastases from small-cell lung cancer treated with whole brain radiotherapy (BMS-Score) and validation of two other indices. Clin. Lung Cancer. 2018, 19, 340–345. [Google Scholar] [CrossRef]
- Sperduto, P.W.; Chao, S.T.; Sneed, P.K.; Luo, X.; Suh, J.; Roberge, D.; Bhatt, A.; Jensen, A.W.; Brown, P.D.; Shih, H.; et al. Diagnosis-specific prognostic factors, indexes, and treatment outcomes for patients with newly diagnosed brain metastases: A multi-institutional analysis of 4,259 patients. Int. J. Radiat. Oncol. Biol. Phys. 2010, 77, 655–661. [Google Scholar] [CrossRef]
- Shan, Q.; Shi, J.; Wang, X.; Guo, J.; Han, X.; Wang, Z.; Wang, H. A new nomogram and risk classification system for predicting survival in small cell lung cancer patients diagnosed with brain metastasis: A large population-based study. BMC Cancer 2021, 21, 640. [Google Scholar] [CrossRef]
- Hou, R.; Li, H.; Cao, J.; Song, X.; Zhang, X.; Wang, W. Validation of a novel prognostic index: BMS-Score for patients with brain metastases of small cell lung cancer. Ann. Palliat. Med. 2021, 10, 29–36. [Google Scholar] [CrossRef]
- Steindl, A.; Schlieter, F.; Klikovits, T.; Leber, E.; Gatterbauer, B.; Frischer, J.M.; Dieckmann, K.; Widhalm, G.; Zochbauer-Muller, S.; Hoda, M.A.R.; et al. Prognostic assessment in patients with newly diagnosed small cell lung cancer brain metastases: Results from a real-life cohort. J. Neurooncol. 2019, 145, 85–95. [Google Scholar] [CrossRef]
- El Sayedm, R.; Blais, N. Immunotherapy in extensive-stage small cell lung cancer. Curr. Oncol. 2021, 28, 4093–4108. [Google Scholar] [CrossRef] [PubMed]
- Ellis, P.M.; Swaminathm, A.; Pond, G.R. Patterns of relapse in small cell lung cancer: Competing risks of thoracic versus CNS relapse. Curr. Oncol. 2021, 28, 2778–2788. [Google Scholar] [CrossRef] [PubMed]


| Baseline Parameter | 0.5 Points | 1 Point | 1.5 Points | 2 Points |
|---|---|---|---|---|
| Karnofsky performance status | 70 | 80 | 90 | 100 |
| Number of brain metastases | 4–7 | 1–3 | ||
| Extracranial metastases | None | |||
| Age (years) | < 75 |
| Baseline Parameter | Number | Percent | Significance (OS), p-Value and Hazard Ratio (HR) |
|---|---|---|---|
| Female sex | 85 | 47 | |
| Male sex | 95 | 53 | 0.81, HR 1.1 |
| KPS ≤60 | 47 | 26 | |
| KPS 70 | 49 | 27 | |
| KPS 80 | 33 | 18 | |
| KPS 90 | 31 | 17 | |
| KPS 100 | 20 | 11 | <0.001, HR 0.92 |
| No extracranial metastases | 52 | 29 | |
| Extracranial metastases | 128 | 71 | 0.04, HR 2.8 |
| Controlled primary tumor | 79 | 44 | |
| Uncontrolled primary tumor | 101 | 56 | 0.16, HR 1.7 |
| 1–3 brain metastases | 79 | 44 | |
| 4–7 brain metastases | 40 | 22 | |
| ≥8 brain metastases | 61 | 34 | 0.25, HR 1.6 |
| Synchronous brain metastases | 99 | 55 | |
| Metachronous brain metastases | 81 | 45 | 0.41, HR 0.8 |
| Symptomatic brain metastases | 90 | 50 | |
| Staging-detected brain metastases | 90 | 50 | 0.44, HR 0.9 |
| Largest lesion <2 cm diameter | 104 | 58 | |
| Largest lesion 2–3 cm diameter | 43 | 24 | |
| Largest lesion >3 cm diameter | 33 | 18 | 0.22, HR 1.5 |
| Neurosurgical resection | 5 | 3 | |
| Primary SRS/focal radiotherapy | 7 | 4 | |
| Chemotherapy naϊve | 52 | 29 | |
| Chemotherapy before local therapy of brain metastases | 128 | 71 | |
| Median age, range, mean and SD (years) | 64, 35–88 | 64, 10 | 0.005 *, HR 1.04 |
| Age younger than 75 years | 154 | 86 | |
| Age 75 years or older | 26 | 14 | <0.001, HR 2.9 |
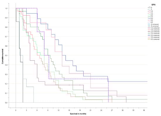
| GPA | Number of Patients | Median Survival (mo) | 1-Year Rate (%) | 2-Year Rate (%) |
|---|---|---|---|---|
| 0 | 7 | 1.3 | 0 | 0 |
| 0.5 | 12 | 1.1 | 0 | 0 |
| 1 | 28 | 4.0 | 19 | 12 |
| 1.5 | 32 | 6.0 | 16 | 3 |
| 2 | 35 | 8.0 | 18 | 3 |
| 2.5 | 31 | 9.7 | 33 | 7 |
| 3 | 18 | 13.0 | 61 | 28 |
| 3.5 | 13 | 13.0 | 54 | 15 |
| 4 | 4 | 8.0 | 25 | 25 |
| Group 1 | 47 | 3.0 | 11 | 7 |
| Group 2 | 67 | 6.9 | 21 | 3 |
| Group 3 | 49 | 11.0 | 46 | 15 |
| Group 4 | 17 | 11.0 | 47 | 18 |
| Combined | 180 | 7.0 | 28 | 9 |
Publisher’s Note: MDPI stays neutral with regard to jurisdictional claims in published maps and institutional affiliations. |
© 2022 by the authors. Licensee MDPI, Basel, Switzerland. This article is an open access article distributed under the terms and conditions of the Creative Commons Attribution (CC BY) license (https://creativecommons.org/licenses/by/4.0/).
Share and Cite
Nieder, C.; Popp, I.; Hintz, M.; Grosu, A.L. External Validation of the Graded Prognostic Assessment in Patients with Brain Metastases from Small Cell Lung Cancer. Curr. Oncol. 2022, 29, 7181-7188. https://doi.org/10.3390/curroncol29100565
Nieder C, Popp I, Hintz M, Grosu AL. External Validation of the Graded Prognostic Assessment in Patients with Brain Metastases from Small Cell Lung Cancer. Current Oncology. 2022; 29(10):7181-7188. https://doi.org/10.3390/curroncol29100565
Chicago/Turabian StyleNieder, Carsten, Ilinca Popp, Mandy Hintz, and Anca Ligia Grosu. 2022. "External Validation of the Graded Prognostic Assessment in Patients with Brain Metastases from Small Cell Lung Cancer" Current Oncology 29, no. 10: 7181-7188. https://doi.org/10.3390/curroncol29100565
APA StyleNieder, C., Popp, I., Hintz, M., & Grosu, A. L. (2022). External Validation of the Graded Prognostic Assessment in Patients with Brain Metastases from Small Cell Lung Cancer. Current Oncology, 29(10), 7181-7188. https://doi.org/10.3390/curroncol29100565
