Diagnostic Delays and Economic Burden in Japanese Women with Endometriosis: A Cross-Sectional Analysis
Abstract
1. Introduction
2. Materials and Methods
2.1. Study Design
2.2. Participants and Sampling Strategy
- (1)
- Women aged 18–49 years who provided informed consent at the time of survey participation;
- (2)
- Self-reported diagnosis of endometriosis confirmed by laparoscopy, laparotomy, or clinical symptomatic condition;
- (3)
- Having independent personal income;
2.3. Ethics Statement
2.4. Survey Instrument and Development
2.5. Questionnaire Content
- Medical expenditure
- 2.
- Transfer fee
- 3.
- Self-care fee
2.6. Variable Classification and Analytical Plan
2.7. Statistical Analysis
3. Results
3.1. Study Population
3.2. Endometriosis Specific Outcomes
3.3. Economic Situation of Patients with Endometriosis
- (A)
- A trend toward higher annual income with older age at symptom onset, although not statistically significant (p = 0.474).
- (B)
- Significantly higher income among those with graduate-level education compared to high school graduates (p = 0.001).
- (C)
- Younger participants tended to spend more on self-care fees, with a statistically significant trend (p = 0.044).
- (D)
- A potential increase in self-care fee with higher annual income (p = 0.395), though this association was not significant.
3.4. Exploration of Diagnostic Delay Cut-Off Score
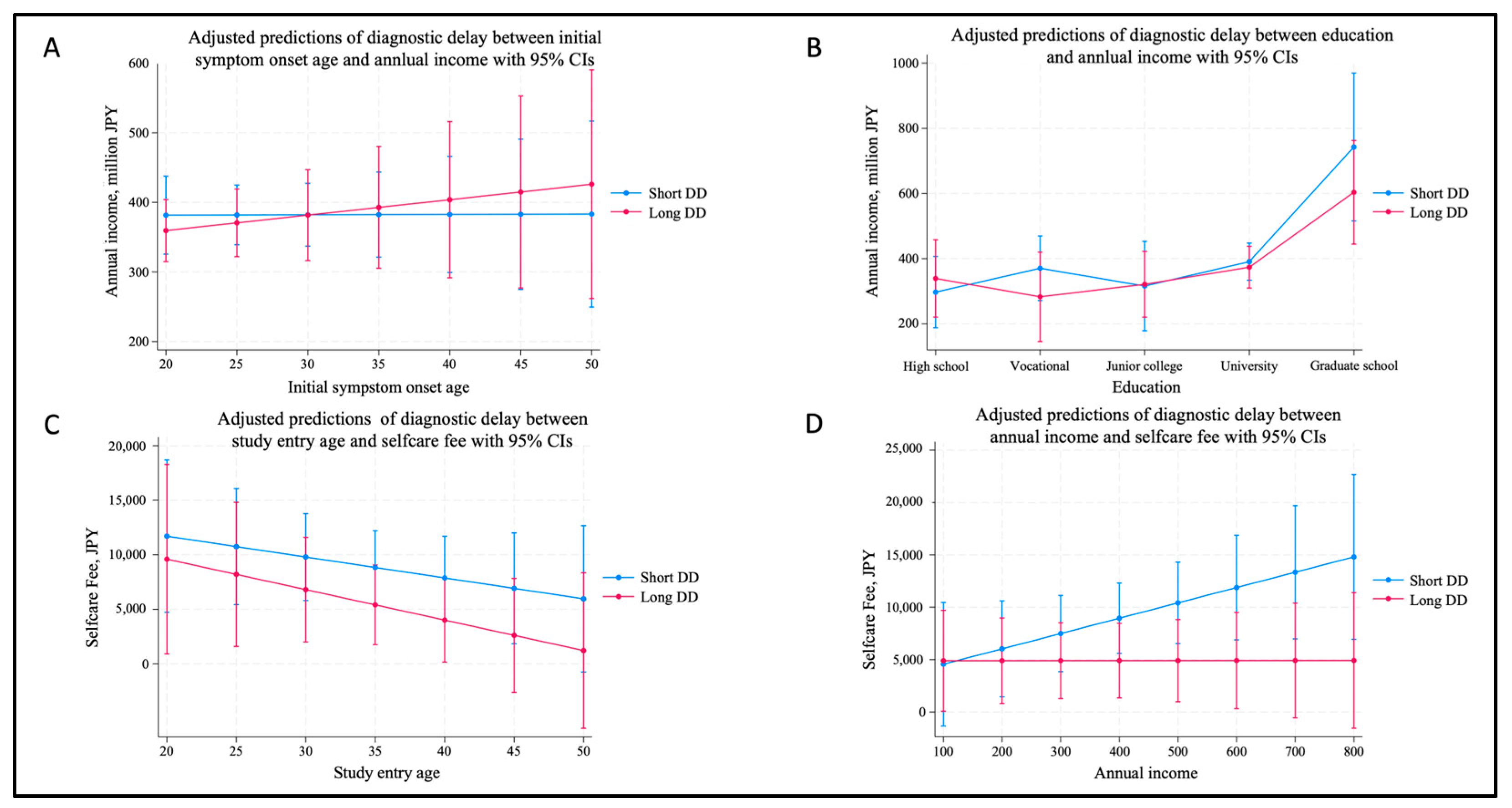
3.5. Association of Diagnostic Delay and Variables of Characteristics
- (A)
- Initial symptom onset age and annual income: While not statistically significant (p = 0.455), those with earlier symptom onset in the Long DD group tended to have lower annual income than their Short DD counterparts.
- (B)
- Education and annual income: Across all education levels, the Long DD group showed lower income predictions, with the largest disparity observed among graduate school attendees. However, none of the differences reached statistical significance.
- (C)
- Study entry age and self-care expenses: In both groups, younger participants showed higher self-care costs, particularly in the Short DD group. This trend declined with age, although differences between groups were not significant (p = 0.863).
- (D)
- Annual income and self-care expenses: In the Short DD group, self-care expenses increased with income level, whereas the Long DD group showed a relatively flat trend. This contrast approached statistical significance (p = 0.063).
4. Discussion
4.1. Key Determinants of Diagnostic Delay
4.2. Cultural and Structural Influences in Japan
4.3. Predictive Margins and Socioeconomic Patterns
4.4. Methodological Justification for Cut-Off Definitions
4.5. Implications and Future Directions
5. Limitations
6. Conclusions
Author Contributions
Funding
Institutional Review Board Statement
Informed Consent Statement
Data Availability Statement
Conflicts of Interest
Abbreviations
| ASRM score | The American Society for Reproductive Medicine score |
| CI | Confidence Interval |
| JPY | Japanese Yen |
| Long DD | Long Diagnostic Delay |
| OR | Odds Ratio |
| OTC drug | Over-The-Counter drug |
| Short DD | Short Diagnostic Delay |
Appendix A
| Prefecture | n (%) | Prefecture | n (%) | Prefecture | n (%) |
|---|---|---|---|---|---|
| Hokkaido | 16 (7.3) | Toyama | 3 (1.4) | Shimane | 2 (0.9) |
| Iwate | 1 (0.5) | Ishikawa | 3 (1.4) | Okayama | 1 (0.5) |
| Miyagi | 5 (2.3) | Fukui | 1 (0.5) | Hiroshima | 4 (1.8) |
| Akita | 1 (0.5) | Yamanashi | 2 (0.9) | Yamaguchi | 2 (0.9) |
| Yamagata | 1 (0.5) | Nagano | 3 (1.4) | Tokushima | 1 (0.5) |
| Fukushima | 3 (1.4) | Shizuoka | 2 (0.9) | Kagawa | 1 (0.5) |
| Ibaraki | 5 (2.3) | Aichi | 17 (7.7) | Ehime | 2 (0.9) |
| Tochigi | 4 (1.8) | Mie | 1 (0.5) | Fukuoka | 11 (5.0) |
| Saitama | 6 (2.7) | Kyoto | 7 (3.2) | Kumamoto | 3 (1.4) |
| Chiba | 15 (6.8) | Osaka | 16 (7.3) | Oita | 1 (0.5) |
| Tokyo | 45 (20.5) | Hyogo | 13 (5.9) | Miyazaki | 1 (0.5) |
| Kanagawa | 11 (5.0) | Nara | 4 (1.8) | Kagoshima | 2 (0.9) |
| Niigata | 2 (0.9) | Tottori | 1 (0.5) | Okinawa | 1 (0.5) |
| Total | 220 (100.0) |
References
- Akande, V.A.; Hunt, L.P.; Cahill, D.J.; Jenkins, J.M. Differences in time to natural conception between women with unexplained infertility and infertile women with minor endometriosis. Hum. Reprod. 2004, 19, 96–103. [Google Scholar] [CrossRef] [PubMed]
- Johnson, N.P.; Farquhar, C.M.; Hadden, W.E.; Suckling, J.; Yu, Y.; Sadler, L. The FLUSH Trial—Flushing with Lipiodol for Unexplained (and endometriosis-related) Subfertility by Hysterosalpingography: A randomized trial. Hum. Reprod. 2004, 19, 2043–2051. [Google Scholar] [CrossRef] [PubMed]
- Rooney, K.L.; Domar, A.D. The relationship between stress and infertility. Dialogues Clin. Neurosci. 2018, 20, 41–47. [Google Scholar] [CrossRef] [PubMed]
- Sharma, A.; Shrivastava, D. Psychological Problems Related to Infertility. Cureus 2022, 14, e30320. [Google Scholar] [CrossRef] [PubMed]
- Facchin, F.; Barbara, G.; Saita, E.; Mosconi, P.; Roberto, A.; Fedele, L.; Vercellini, P. Impact of endometriosis on quality of life and mental health: Pelvic pain makes the difference. J. Psychosom. Obstet. Gynecol. 2015, 36, 135–141. [Google Scholar] [CrossRef]
- Health and Global Policy Institute. Research Survey on Socioeconomic Factors and Women’s Health (6 March 2023). Available online: https://hgpi.org/wp-content/uploads/2023_WomensHealthResearchReport_JPN.pdf (accessed on 16 May 2024).
- Healthcare Industry Unit. Estimates of Economic Losses Due to Health Issues Specific to Women: Economic Losses Such as Labor Losses Due to Health Issues Specific to Women Are Estimated to be About 3.4 Trillion Yen in Society as a Whole. Available online: https://www.meti.go.jp/policy/mono_info_service/healthcare/downloadfiles/jyosei_keizaisonshitsu.pdf (accessed on 10 November 2024).
- Biasioli, A.; Zermano, S.; Previtera, F.; Arcieri, M.; Della Martina, M.; Raimondo, D.; Raffone, A.; Restaino, S.; Vizzielli, G.; Driul, L. Does Sexual Function and Quality of Life Improve after Medical Therapy in Women with Endometriosis? A Single-Institution Retrospective Analysis. J. Pers. Med. 2023, 13, 1646. [Google Scholar] [CrossRef] [PubMed]
- Lamvu, G.; Antunez-Flores, O.; Orady, M.; Schneider, B. Path to diagnosis and women’s perspectives on the impact of endometriosis pain. J. Endometr. Pelvic Pain Disord. 2020, 12, 16–25. [Google Scholar] [CrossRef]
- Khine, Y.M.; Taniguchi, F.; Harada, T. Clinical management of endometriosis-associated infertility. Reprod. Med. Biol. 2016, 15, 217–225. [Google Scholar] [CrossRef] [PubMed]
- Arakawa, I.; Momoeda, M.; Osuga, Y.; Ota, I.; Koga, K. Cost-effectiveness of the recommended medical intervention for the treatment of dysmenorrhea and endometriosis in Japan. Cost Eff. Resour. Alloc. 2018, 16, 12. [Google Scholar] [CrossRef] [PubMed]
- Statistics Bureau. Summary of Key Statistics from the Labour Force Survey (Basic Tabulation) 2022. Available online: https://www.stat.go.jp/data/roudou/sokuhou/nen/ft/pdf/index1.pdf (accessed on 1 December 2024).
- Brandes, I.; Kleine-Budde, K.; Heinze, N.; Binder, S.; Klug, C.; Schippert, C.; Ebert, A.D.; Halis, G. Cross-sectional study for derivation of a cut-off value for identification of an early versus delayed diagnosis of endometriosis based on analytical and descriptive research methods. BMC Women’s Health 2022, 22, 521. [Google Scholar] [CrossRef] [PubMed]
- Nnoaham, K.E.; Hummelshoj, L.; Webster, P.; d’Hooghe, T.; de Cicco Nardone, F.; de Cicco Nardone, C.; Jenkinson, C.; Kennedy, S.H.; Zondervan, K.T. Impact of endometriosis on quality of life and work productivity: A multicenter study across ten countries. Fertil. Steril. 2011, 96, 366–373.e8. [Google Scholar] [CrossRef] [PubMed]
- Tanaka, E.; Momoeda, M.; Osuga, Y.; Rossi, B.; Nomoto, K.; Hayakawa, M.; Kokubo, K.; Wang, E.C. Burden of menstrual symptoms in Japanese women: Results from a survey-based study. J. Med. Econ. 2013, 16, 1255–1266. [Google Scholar] [CrossRef] [PubMed]
- Tanaka, E.; Momoeda, M.; Osuga, Y.; Rossi, B.; Nomoto, K.; Hayakawa, M.; Kinya, K.; Wang, E.C. Burden of menstrual symptoms in Japanese women—An analysis of medical care-seeking behavior from a survey-based study. Int. J. Women’s Health 2014, 6, 11–23. [Google Scholar] [CrossRef] [PubMed]
- Söderman, L.; Edlund, M.; Marions, L. Prevalence and impact of dysmenorrhea in Swedish adolescents. Acta Obstet. Et Gynecol. Scand. 2019, 98, 215–221. [Google Scholar] [CrossRef] [PubMed]
- Surrey, E.; Soliman, A.M.; Trenz, H.; Blauer-Peterson, C.; Sluis, A. Impact of Endometriosis Diagnostic Delays on Healthcare Resource Utilization and Costs. Adv. Ther. 2020, 37, 1087–1099. [Google Scholar] [CrossRef] [PubMed]
- Simoens, S.; Dunselman, G.; Dirksen, C.; Hummelshoj, L.; Bokor, A.; Brandes, I.; Brodszky, V.; Canis, M.; Colombo, G.L.; DeLeire, T.; et al. The burden of endometriosis: Costs and quality of life of women with endometriosis and treated in referral centres. Hum. Reprod. 2012, 27, 1292–1299. [Google Scholar] [CrossRef] [PubMed]
- Simoens, S.; Hummelshoj, L.; Dunselman, G.; Brandes, I.; Dirksen, C.; D’hooghe, T. Endometriosis Cost Assessment (the EndoCost Study): A Cost-of-Illness Study Protocol. Gynecol. Obstet. Investig. 2010, 71, 170–176. [Google Scholar] [CrossRef] [PubMed]
- Sims, O.T.; Gupta, J.; Missmer, S.A.; Aninye, I.O. Stigma and Endometriosis: A Brief Overview and Recommendations to Improve Psychosocial Well-Being and Diagnostic Delay. Int. J. Environ. Res. Public Health 2021, 18, 8210. [Google Scholar] [CrossRef] [PubMed]
- Lövkvist, L.; Boström, P.; Edlund, M.; Olovsson, M. Age-related differences in quality of life in Swedish women with endometriosis. J. Women’s Health 2016, 25, 646–653. [Google Scholar] [CrossRef] [PubMed]




| Endometriosis with Symptoms, N = 220 | |||
|---|---|---|---|
| Study entry age | N (%) | Mean (SD) | Range |
| 220 (100) | 36.1 (8.1) | 18.3–49.7 | |
| Symptom Onset to Diagnosis Timeline | |||
| Initial symptom onset age | 220 (100) | 24.3 (8.3) | 5.0–47.0 |
| First physician consultation age | 220 (100) | 26.4 (9.1) | 5.1–49.0 |
| Confirmed diagnosis age | 220 (100) | 27.7 (7.7) | 8.6–48.9 |
| Difference between symptom onset age and diagnosis age, mean (SD) | 220 (100) | 3.6 (5.2) | 0–24.3 |
| OTC drug use | |||
| With OTC drug | 153 (69.5) | 1.30 (0.5) | 1–2 |
| Without OTC drug | 67 (30.5) | ||
| Stage (N = 47) | |||
| I | 25 (53.2) | 2.3 (1.4) | 1–4 |
| II | 2 (4.3) | ||
| III | 3 (6.4) | ||
| IV | 17 (36.2) | ||
| ASRM score | 47 (100) | 27.1 (33.1) | 1–99 |
| Consultation person, multi-selective option (N =220) | |||
| Medical staff | 121 (35.9) | 1 (0) | 1–7 |
| Family | 75 (22.3) | ||
| Partner | 69 (20.5) | ||
| Friend | 25 (7.4) | ||
| Colleague | 15 (4.5) | ||
| Teacher | 4 (1.2) | ||
| No person | 28 (8.3) | ||
| Face scale | |||
| 1 (no pain)–10 (severe pain) | 220(100) | 3.8 (1.5) | 1–6 |
| Social stigma, multi-selective option (N =220) | |||
| Pain is common | 57 (25.9) | 1 (0) | 1–8 |
| Experience of ridiculed | 52 (23.6) | ||
| Not disclosed | 25 (11.4) | ||
| Endured sex with partner | 55 (25.0) | ||
| Suspected pseudo-sickness | 34 (15.5) | ||
| Not having motivation | 45 (20.5) | ||
| Pretend normal | 50 (22.7) | ||
| Label complainer | 9 (4.1) | ||
| Items | Obs | Mean | Std. Dev. | Min | 50% | Max |
|---|---|---|---|---|---|---|
| Initial symptom onset age | 220 | 24.3 | 8.31 | 5.0 | 24.0 | 47.0 |
| Diagnosis age | 27.7 | 7.70 | 8.6 | 26.9 | 48.9 | |
| Difference btw diag and symp age | 3.6 | 5.20 | 0.0 | 1.5 | 24.3 |
| N | Short DD | Long DD | p Value |
|---|---|---|---|
| Number of participants, n (%) | 116 (52.7) | 104 (47.3) | |
| Study entry age, mean (SD) | 35.3 (8.4) | 37.0 (7.7) | 0.118 |
| Initial symptom onset age, mean (SD) | 26.8 (7.7) | 21.5 (8.1) | <0.001 *** |
| First physician consultation age, mean (SD) | 28.1 (8.6) | 24.4 (9.3) | 0.003 ** |
| Confirmed diagnosis age, mean (SD) | 26.9 (7.9) | 28.7 (7.3) | 0.089 † |
| Difference between symptom onset age and diagnosis age, mean (SD) | 0.1 (0.2) | 7.2 (0.6) | <0.001 *** |
| Difference between symptom onset age and first physician consultation age, mean (SD) | 1.3 (0.4) | 2.9 (0.6) | 0.02 * |
| With OTC-drug, n (%) | 72 (62.1) | 81 (77.9) | 0.011 * |
| Without OTC-drug, n (%) | 44 (37.9) | 23 (22.1) | |
| Age group, n (%) | |||
| 18–19 years old | 0 (0) | 1 (1.0) | 0.052 † |
| 20–29 years old | 39 (33.6) | 19 (18.3) | |
| 30–39 years old | 39 (33.6) | 45 (43.3) | |
| 40–49 years old | 38 (32.8) | 39 (37.5) | |
| Education, n (%) | |||
| High school | 17 (14.7) | 15 (14.4) | 0.091 † |
| Vocational school | 21 (18.1) | 11 (10.6) | |
| Junior college | 11 (9.5) | 20 (19.2) | |
| University | 63 (54.3) | 50 (48.1) | |
| Graduate school | 4 (3.5) | 8 (7.7) | |
| Employment status, n (%) | |||
| Full-time worker | 83 (71.6) | 68 (65.4) | 0.417 |
| Temporary employee | 28 (24.1) | 33 (31.7) | |
| Other/Freelancer | 5 (4.3) | 3 (2.9) | |
| Resident area, n (%) | |||
| Rural area | 41 (35.3) | 35 (33.7) | 0.792 |
| Urban area | 75 (64.7) | 69 (66.4) | |
| Marriage, n (%) | |||
| Unmarried | 62 (53.5) | 41 (39.4) | 0.037 * |
| Married | 54 (46.6) | 63 (60.6) | |
| Having child/not, n (%) | |||
| No | 71 (61.2) | 58 (55.8) | 0.414 |
| Yes | 45 (38.8) | 46 (44.2) | |
| Monthly income JPY, n (%) | |||
| less than 150,000 | 17 (14.7) | 29 (27.9) | 0.063 † |
| 150,000–300,000 | 46 (40.0) | 30 (28.9) | |
| 300,000–450,000 | 28 (24.1) | 28 (27.0) | |
| 450,000–600,000 | 18 (15.5) | 9 (8.7) | |
| more than 600,000 | 7 (6.0) | 8 (7.7) | |
| House annual income level | 10,000 JPY, n (%) | |||
| Low house income (<600) | 44 (38.0) | 48 (46.2) | 0.240 |
| Middle house income (>600, <1200) | 60 (51.7) | 42 (40.4) | |
| High house income (>1200) | 12 (10.3) | 14 (13.5) | |
| Monthly medical expenditure JPY, n (%) | |||
| less than 3000 | 37 (32.0) | 39 (37.5) | 0.120 |
| 3000–5000 | 18 (15.5) | 27 (26.0) | |
| 5000–10,000 | 24 (20.7) | 10 (9.6) | |
| 10,000–15,000 | 21 (18.1) | 14 (13.5) | |
| 15,000–30,000 | 13 (11.2) | 10 (9.6) | |
| 30,000–50,000 | 1 (0.9) | 3 (2.9) | |
| more than 50,000 | 2 (1.7) | 1 (1.0) | |
| Monthly transfer fee (JPY), n (%) | |||
| less than 1000 | 58 (50.0) | 64 (61.5) | 0.219 |
| 1000–10,000 | 45 (38.8) | 32 (30.8) | |
| more than 10,000 | 13 (11.2) | 8 (7.7) | |
| Monthly self-care fee (JPY), n (%) | |||
| less than 1000 | 38 (32.8) | 61 (58.7) | <0.001 *** |
| 1000–10,000 | 64 (55.2) | 33 (31.7) | |
| more than 10,000 | 14 (12.1) | 10 (9.6) | |
| Expense ratio group, n (%) | |||
| less than 5% | 65 (56.0) | 63 (60.6) | 0.776 |
| 5–10% | 29 (25.0) | 21 (20.2) | |
| 10–15% | 9 (7.8) | 10 (9.6) | |
| more than 15% | 13 (11.2) | 10 (9.6) | |
| Stage, n (%) | |||
| I | 18 (64.3) | 7 (36.8) | 0.049 * |
| II | 1 (3.6) | 1 (5.3) | |
| III | 3 (10.7) | 0 (0) | |
| IV | 6 (21.4) | 11 (57.9) | |
| ASRM score, mean (SD) | 19.9 (5.9) | 37.6 (7.8) | 0.072 † |
| Consultation person, n (%) | |||
| Medical staff | 57 (49.1) | 64 (61.5) | 0.065 † |
| Family | 39 (33.6) | 36 (34.6) | 0.877 |
| Partner | 36 (31.0) | 33 (31.7) | 0.912 |
| Friend | 14 (12.1) | 11 (10.6) | 0.728 |
| Colleague | 6 (5.2) | 9 (8.7) | 0.306 |
| Teacher | 2 (1.7) | 2 (1.9) | 0.912 |
| No person | 14 (12.1) | 14 (13.5) | 0.757 |
| Face scale | 1–10, mean (SD) | 3.48 (1.5) | 4.16 (1.4) | <0.001 *** |
| Social stigma, n (%) | |||
| Pain is common | 32 (27.6) | 25 (24.0) | 0.549 |
| Ridiculed | 24 (20.7) | 18 (17.3) | 0.524 |
| Not disclosed | 15 (12.9) | 10 (9.6) | 0.439 |
| Experience of dyspareunia | 34 (29.3) | 21 (20.2) | 0.119 |
| Feigned | 18 (15.5) | 16 (15.4) | 0.978 |
| Not having motivation | 21 (18.1) | 24 (23.1) | 0.361 |
| Pretend normal | 22 (19.0) | 28 (27.0) | 0.160 |
| Label complainer | 4 (3.5) | 5 (4.8) | 0.611 |
| Diagnostic Delay (0: Short DD; 1: Long DD) | Odds Ratio (OR) | 95% CI | p-Value |
|---|---|---|---|
| First physician consultation age | 0.95 | 0.92–0.98 | 0.002 ** |
| OTC drug use | |||
| No OTC drug use | Ref | ||
| OTC drug use | 2.36 | 1.25–4.45 | 0.008 ** |
| Education | |||
| High school/Vocational school | Ref | ||
| Junior college | 3.60 | 1.36–9.53 | 0.010 ** |
| University/Graduate school | 1.50 | 0.76–2.97 | 0.239 |
| Medical expenditure | |||
| Lower expense | Ref | ||
| Medium expense | 0.27 | 0.11–0.65 | 0.003 ** |
| Higher expense | 0.54 | 0.27–1.06 | 0.073 † |
| Diagnostic Delay (0: Short DD, 1: Long DD) | Odds Ratio (OR) | 95% CI | p-value |
|---|---|---|---|
| Stage | |||
| 1 | Ref | ||
| 2 | 2.57 | 0.14–47.02 | 0.524 |
| 3 | 1 | - | - |
| 4 | 4.71 | 1.25–17.79 | 0.022 * |
Disclaimer/Publisher’s Note: The statements, opinions and data contained in all publications are solely those of the individual author(s) and contributor(s) and not of MDPI and/or the editor(s). MDPI and/or the editor(s) disclaim responsibility for any injury to people or property resulting from any ideas, methods, instructions or products referred to in the content. |
© 2025 by the authors. Licensee MDPI, Basel, Switzerland. This article is an open access article distributed under the terms and conditions of the Creative Commons Attribution (CC BY) license (https://creativecommons.org/licenses/by/4.0/).
Share and Cite
Nishimata, N.; Sato, S. Diagnostic Delays and Economic Burden in Japanese Women with Endometriosis: A Cross-Sectional Analysis. Int. J. Environ. Res. Public Health 2025, 22, 1623. https://doi.org/10.3390/ijerph22111623
Nishimata N, Sato S. Diagnostic Delays and Economic Burden in Japanese Women with Endometriosis: A Cross-Sectional Analysis. International Journal of Environmental Research and Public Health. 2025; 22(11):1623. https://doi.org/10.3390/ijerph22111623
Chicago/Turabian StyleNishimata, Nobuo, and Satomi Sato. 2025. "Diagnostic Delays and Economic Burden in Japanese Women with Endometriosis: A Cross-Sectional Analysis" International Journal of Environmental Research and Public Health 22, no. 11: 1623. https://doi.org/10.3390/ijerph22111623
APA StyleNishimata, N., & Sato, S. (2025). Diagnostic Delays and Economic Burden in Japanese Women with Endometriosis: A Cross-Sectional Analysis. International Journal of Environmental Research and Public Health, 22(11), 1623. https://doi.org/10.3390/ijerph22111623

