Identifying Anthropogenic Sources of Heavy Metals in Alpine Peatlands over the Past 150 Years: Examples from Typical Peatlands in Altay Mountains, Northwest China
Abstract
1. Introduction
2. Materials and Methods
2.1. Regional Setting and Samples Collection
2.2. Chronology
2.3. Physicochemical Analysis
2.4. Contamination Assessment Methods
2.4.1. Enrichment Factors
2.4.2. The Geo-Accumulation Index
2.5. PMF Model
2.6. Data Analysis
3. Results
3.1. Sediment Chronology and Deposition Rate
3.2. Depth Distribution of Elements’ Concentration
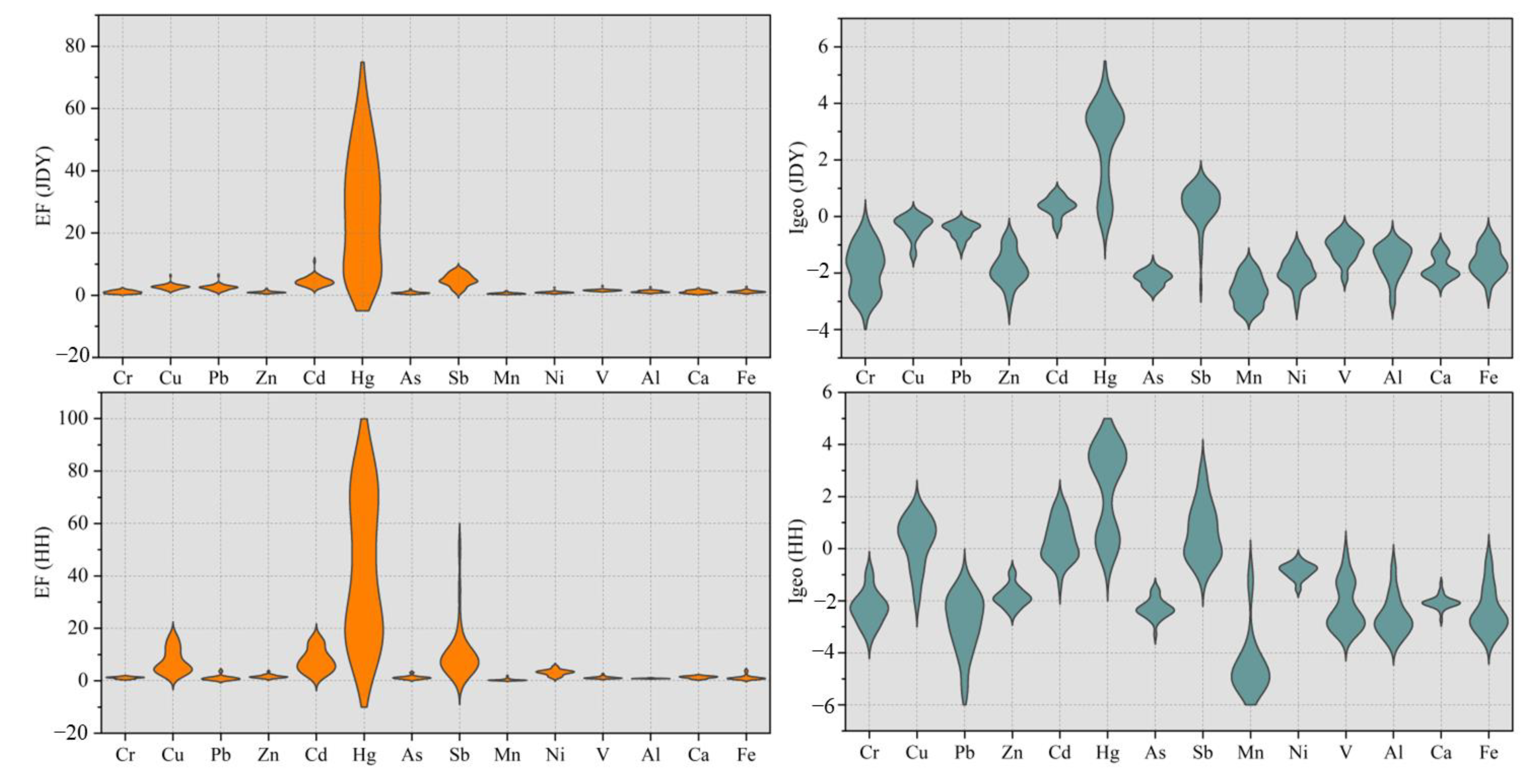
3.3. Risk Evaluation of HMs in Sediments
3.4. Source Apportionment of HMs in Sedimentary Cores
4. Discussion
5. Conclusions
Supplementary Materials
Author Contributions
Funding
Institutional Review Board Statement
Informed Consent Statement
Data Availability Statement
Acknowledgments
Conflicts of Interest
References
- Sun, J.-J.; Li, H.-C.; Wang, J.; Zhao, H.-Y.; Wang, S.-Z.; Yang, Q.-N.; Chou, C.-Y.; Kashyap, S. Study of Jinchuan Mire in NE China II: Peatland development, carbon accumulation and climate change during the past 1000 years. Quat. Int. 2019, 528, 18–29. [Google Scholar] [CrossRef]
- Bandara, S. Records of Atmospheric Mercury Deposition and Post-Depositional Mobility in Peat Permafrost Archives from Central and Northern Yukon, Canada. Master’s Thesis, University of Alberta, Edmonton, AB, Canada, 2017. [Google Scholar]
- Magiera, T.; Szuszkiewicz, M.M.; Michczyński, A.; Chróst, L.; Szuszkiewicz, M. Peat bogs as archives of local ore mining and smelting activities over the centuries: A case study of Miasteczko lskie (Upper Silesia, Poland). Catena 2021, 198, 105063. [Google Scholar] [CrossRef]
- Renberg, I.; Persson, M.W.; Emteryd, O. Pre-industrial atmospheric lead contamination detected in Swedish lake sediments. Nature 1994, 368, 323–326. [Google Scholar] [CrossRef]
- Hu, X.; Wang, C.; Zou, L. Characteristics of heavy metals and Pb isotopic signatures in sediment cores collected from typical urban shallow lakes in Nanjing, China. J. Environ. Manag. 2011, 92, 742–748. [Google Scholar] [CrossRef]
- Song, Z.; Gao, H.; Zhang, W.; Wang, D. Influence of flocculation conditioning on environmental risk of heavy metals in dredged sediment. J. Environ. Manag. 2021, 297, 113313. [Google Scholar] [CrossRef] [PubMed]
- Wang, M.; Liu, X.; Yang, B.; Fei, Y.; Yu, J.; An, R.; Duan, L. Heavy metal contamination in surface sediments from lakes and their surrounding topsoils of China. Environ. Sci. Pollut. Res. 2021, 28, 29118–29130. [Google Scholar] [CrossRef]
- Zuzolo, D.; Cicchella, D.; Catani, V.; Giaccio, L.; Guagliardi, I.; Esposito, L.; De Vivo, B. Assessment of potentially harmful elements pollution in the Calore River basin (Southern Italy). Environ. Geochem. Health 2017, 39, 531–548. [Google Scholar] [CrossRef] [PubMed]
- Du, P.; Tian, S. Mean element background of lithic debris stream sediments in Xinjiang. Geophys. Geochem. Explor. 2001, 25, 117–122. [Google Scholar]
- Turdi, M. Distribution characteristics of soil heavy metal content in northern slope of Tianshan Mountains and its source explanation. Chin. J. Eco-Agric. 2020, 21, 883–890. [Google Scholar]
- Turgun, A.; Xinguo, L.; Zhi, L.; Bin, L.; Eziz, M. Distribution characteristics and sources of heavy metals in soil profile of lakeside zone on the west bank of Boston Lake. Xinjiang. Ecol. Sci. 2019, 38, 53–59. [Google Scholar]
- Liu, Z.; Yan, Y.; Lu, J.; Liu, J.; Chen, B. Pollution characteristics and pollution degree assessment of heavy metals is serfacc sedimeris from Boster Lake. J. Shihezi Univ. (Nat. Sci.) 2019, 37, 613–620. [Google Scholar] [CrossRef]
- Zhang, Z.; Lu, Y.; Li, H.; Tu, Y.; Liu, B.; Yang, Z. Assessment of heavy metal contamination, distribution and source identification in the sediments from the Zijiang River, China. Sci. Total. Environ. 2018, 645, 235–243. [Google Scholar] [CrossRef]
- Li, Y.; Duan, Z.; Liu, G.; Kalla, P.; Scheidt, D.; Cai, Y. Evaluation of the Possible Sources and Controlling Factors of Toxic Metals/Metalloids in the Florida Everglades and Their Potential Risk of Exposure. Environ. Sci. Technol. 2015, 49, 9714–9723. [Google Scholar] [CrossRef]
- Loska, K.; Wiechula, D. Application of principal component analysis for the estimation of source of heavy metal con-tamination in surface sediments from the Rybnik Reservoir. Chemosphere 2003, 51, 723–733. [Google Scholar] [CrossRef] [PubMed]
- Chandrasekaran, A.; Ravisankar, R.; Harikrishnan, N.; Satapathy, K.; Prasad, M.; Kanagasabapathy, K. Multivariate statistical analysis of heavy metal concentration in soils of Yelagiri Hills, Tamilnadu, India–Spectroscopical approach. Spectrochim. Acta Part A Mol. Biomol. Spectrosc. 2015, 137, 589–600. [Google Scholar] [CrossRef]
- Xie, Z.; Jiang, Y.; Zhang, H.; Wang, Z.; Chen, Y. Contamination of Trace Elements in River Ecosystem and Source Apportionment Based on Their Relationship with Landscape Patterns. Pol. J. Environ. Stud. 2021, 30, 3327–3339. [Google Scholar] [CrossRef]
- U.S. Environmental Protection Agency. EPA Positive Matrix Factorization (PMF) 5.0, Fundamentals and User Guide; U.S. Environmental Protection Agency: Washington, DC, USA, 2014.
- Tang, W.; Shan, B.; Zhang, H.; Mao, Z. Heavy metal sources and associated risk in response to agricultural intensification in the estuarine sediments of Chaohu Lake Valley, East China. J. Hazard. Mater. 2010, 176, 945–951. [Google Scholar] [CrossRef] [PubMed]
- Comero, S.; Locoro, G.; Free, G.; Vaccaro, S.; De Capitani, L.; Gawlik, B.M. Characterisation of Alpine lake sediments using multivariate statistical techniques. Chemom. Intell. Lab. Syst. 2011, 107, 24–30. [Google Scholar] [CrossRef]
- Magesh, N.; Tiwari, A.; Botsa, S.M.; Leitao, T.D.L. Hazardous heavy metals in the pristine lacustrine systems of Antarctica: Insights from PMF model and ERA techniques. J. Hazard. Mater. 2021, 412, 125263. [Google Scholar] [CrossRef]
- Bing, H.; Wu, Y.; Zhou, J.; Sun, H.; Wang, X.; Zhu, H. Spatial variation of heavy metal contamination in the riparian sediments after two-year flow regulation in the Three Gorges Reservoir, China. Sci. Total. Environ. 2019, 649, 1004–1016. [Google Scholar] [CrossRef] [PubMed]
- Wu, S.; Batan, H. A study of ecological and environmental problems in the two river source areas of the Altay Mountains. Environ. Protect. Xinjiang 2003, 25, 5–8. [Google Scholar]
- Bao, K.; Shen, J.; Wang, G.; Sapkota, A.; McLaughlin, N. Estimates of recent Hg pollution in Northeast China using peat profiles from Great Hinggan Mountains. Environ. Earth Sci. 2016, 75, 536. [Google Scholar] [CrossRef]
- Wang, G.P.; Liu, J.; Tang, H. The long-term nutrient accumulation with respect to anthropogenic impacts in the sediments from two freshwater marshes (Xianghai Wetlands, Northeast China). Water Res. 2004, 38, 4462–4474. [Google Scholar] [CrossRef]
- Bao, K.; Yu, X.; Jia, L.; Wang, G. Recent Carbon Accumulation in Changbai Mountain Peatlands, Northeast China. Mt. Res. Dev. 2010, 30, 33–41. [Google Scholar] [CrossRef]
- Yang, Z.; Su, Q.; Chen, H. Anthropogenic impacts recorded by a 200-year peat profile from the Zoige Peatland, north-eastern Qinghai-Tibetan Plateau. Catena 2021, 206, 105463. [Google Scholar] [CrossRef]
- Zhang, Y.; Yang, P.; Tong, C.; Liu, X.; Zhang, Z.; Wang, G.; Meyers, P.A. Palynological record of Holocene vegetation and climate changes in a high-resolution peat profile from the Xinjiang Altay Mountains, northwestern China. Quat. Sci. Rev. 2018, 201, 111–123. [Google Scholar] [CrossRef]
- Wang, G. Late Holocene Human Activities Recorded by Peat Deposits in Altay, Northern Xinjiang; Lanzhou University: Lanzhou, China, 2017. [Google Scholar]
- Luo, N.; Yu, R.; Mao, D.; Wen, B.; Liu, X. Spatiotemporal variations of wetlands in the northern Xinjiang with relationship to climate change. Wetl. Ecol. Manag. 2021, 29, 617–631. [Google Scholar] [CrossRef]
- Zhang, Y. Holocene Peat Development Characteristics and Regional Environmental Evolution in Altay Mountains, Xinjiang; Graduate School of the Chinese Academy of Sciences (Northeast Institute of Geography and Agroecology): Changchun, China, 2016. [Google Scholar]
- Luo, N.; Wen, B.; Bao, K.; Yu, R.; Liu, X. Centennial records of Polycyclic aromatic hydrocarbons and black carbon in Altay Mountains peatlands, Xinjiang, China. Front. Ecol. Evol. 2022, 10, 1046076. [Google Scholar] [CrossRef]
- Cao, W.; Geng, S.; Zou, J.; Wang, Y.; Guo, Y.; Zhu, Y.; Dou, J. Post relocation of industrial sites for decades: Ascertain sources and human risk assessment of soil polycyclic aromatic hydrocarbons. Ecotoxicol. Environ. Saf. 2020, 198, 110646. [Google Scholar] [CrossRef]
- Glasby, G.P.; Szefer, P. Marine pollution in Gdansk Bay, Puck Bay and the Vistula Lagoon, Poland: An overview. Sci. Total Environ. 1998, 212, 49–57. [Google Scholar] [CrossRef]
- Buatmenard, P.; Chesselet, R. Variable influence of the atmosphere flux on the trace-metal chemistry of oceanic suspended mater. Earth Planet. Sci. Lett. 1979, 42, 399–411. [Google Scholar] [CrossRef]
- Muller, G. Heavy-metals in sediment of the rhine-changes since 1971. Umsch. Wiss. Und Tech. 1979, 79, 778–783. [Google Scholar]
- Perumal, K.; Antony, J.; Muthuramalingam, S. Heavy metal pollutants and their spatial distribution in surface sediments from Thondi coast, Palk Bay, South India. Environ. Sci. Eur. 2021, 33, 1–20. [Google Scholar] [CrossRef]
- Irabien, M.J.; Cearreta, A.; Leorri, E.; Gómez, J.; Viguri, J. A 130 year record of pollution in the Suances estuary (southern Bay of Biscay): Implications for environ-mental management. Mar. Pollut. Bull. 2008, 56, 1719–1727. [Google Scholar] [CrossRef] [PubMed]
- Rao, K.; Tang, T.; Zhang, X.; Wang, M.; Liu, J.; Wu, B.; Ma, Y. Spatial-temporal dynamics, ecological risk assessment, source identification and interactions with internal nu-trients release of heavy metals in surface sediments from a large Chinese shallow lake. Chemosphere 2021, 282, 9. [Google Scholar] [CrossRef]
- Cheng, W.; Lei, S.; Bian, Z.; Zhao, Y.; Li, Y.; Gan, Y. Geographic distribution of heavy metals and identification of their sources in soils near large, open-pit coal mines using positive matrix factorization. J. Hazard. Mater. 2020, 387, 11. [Google Scholar] [CrossRef]
- Corella, J.; Sierra, M.; Garralón, A.; Millán, R.; Rodríguez-Alonso, J.; Mata, M.; de Vera, A.V.; Moreno, A.; González-Sampériz, P.; Duval, B.; et al. Recent and historical pollution legacy in high altitude Lake Marboré (Central Pyrenees): A record of mining and smelting since pre-Roman times in the Iberian Peninsula. Sci. Total. Environ. 2020, 751, 141557. [Google Scholar] [CrossRef] [PubMed]
- Paatero, P. Least squares formulation of robust non-negative factor analysis. Chemom. Intell. Lab. Syst. 1997, 37, 23–35. [Google Scholar] [CrossRef]
- GB 15618-1995; Environmental Quality Standard for Soils. Ministry of Environmental Protection of China: Beijing, China, 1995.
- Zhang, Z.; Jilili, A.; Jiang, F. Environment risk and chemical forms of heavy metals in farmland of Ebinur Basin. Sci. Geogr. Sin. 2015, 35, 1198–1206. [Google Scholar]
- Lu, X.; Li, L.Y.; Wang, L.; Lei, K.; Huang, J.; Zhai, Y. Contamination assessment of mercury and arsenic in roadway dust from Baoji, China. Atmospheric Environ. 2009, 43, 2489–2496. [Google Scholar] [CrossRef]
- Chen, S.; Wang, M.; Li, S. The status and problems of heavy metal pollution control in farmland soil in China. Earth Sci. Front. 2019, 26, 7. [Google Scholar]
- Bao, K.; Shen, J.; Wang, G.; Le Roux, G. Atmospheric deposition history of trace metals and metalloids for the last 200 years recorded by three peat cores in Great Hinggan Mountain, Northeast China. Atmosphere 2015, 6, 380–409. [Google Scholar] [CrossRef]
- Liu, Y.J. Spatial Distribution Characteristics and Pollution Assessment of Heavy Metals Pb, Cd and Hg in Soil of Huainan Mining Area Based on GIS; Hefei University of Technology: Hefei, China, 2016. [Google Scholar]
- Sutherland, R.A. Bed sediment-associated trace metals in an urban stream, Oahu, Hawaii. Environ. Geol. 2000, 39, 611–627. [Google Scholar] [CrossRef]
- Wang, W.; Bai, Z.; Liu, D. Soil heavy metal pollution and its potential ecological risk assessment in Kanas Scenic area. Bull. Soil Water Conserv. 2018, 38, 352–357. [Google Scholar]
- Taylor, S.R. Abundance of chemical elements in the continental crust: A new table. Geochim. Cosmochim. Acta 1964, 28, 1273–1285. [Google Scholar] [CrossRef]
- Pu, J.; Ma, L.; Jilili, A.; Liu, W. The spatial analysis of soil elements and a risk assessment of heavy metals based on regular methods in the Xinjiang local region. J. Agro-Environ. Sci. 2018, 37, 11. [Google Scholar]
- Zhang, Z. Assessment of Heavy Metal Pollution in the Soil of Tianshan Mountains and Analysis of Potential Ecological Risk. Adv. Earth Sci. 2014, 29, 608–616. [Google Scholar]
- Nur, A.Y. Research on the Development of Tourism Economy in Kanas, Xinjiang; Xinjiang Agricultural University: Ürümqi, China, 2013. [Google Scholar]







| Elements | JDY (mg·kg−1 yr−1) (n = 60) | HH (mg·kg−1 yr−1) (n = 30) |
|---|---|---|
| Cu | 0.951 | 0.229 |
| Pb | 0.635 | 0.021 |
| As | 0.095 | 0.013 |
| Cd | 0.006 | 0.001 |
| Zn | 1.250 | 0.164 |
| Cr | 0.765 | 0.075 |
| Ni | 0.520 | 0.158 |
| Hg | 0.006 | 0.001 |
| Mn | 6.393 | 0.613 |
| V | 1.855 | 0.167 |
| Fe | 439.371 | 46.679 |
| Sb | 0.016 | 0.003 |
| Al | 1043.284 | 96.317 |
| Ca | 314.176 | 38.755 |
Disclaimer/Publisher’s Note: The statements, opinions and data contained in all publications are solely those of the individual author(s) and contributor(s) and not of MDPI and/or the editor(s). MDPI and/or the editor(s) disclaim responsibility for any injury to people or property resulting from any ideas, methods, instructions or products referred to in the content. |
© 2023 by the authors. Licensee MDPI, Basel, Switzerland. This article is an open access article distributed under the terms and conditions of the Creative Commons Attribution (CC BY) license (https://creativecommons.org/licenses/by/4.0/).
Share and Cite
Luo, N.; Yu, R.; Wen, B.; Li, X.; Liu, X.; Li, X. Identifying Anthropogenic Sources of Heavy Metals in Alpine Peatlands over the Past 150 Years: Examples from Typical Peatlands in Altay Mountains, Northwest China. Int. J. Environ. Res. Public Health 2023, 20, 5013. https://doi.org/10.3390/ijerph20065013
Luo N, Yu R, Wen B, Li X, Liu X, Li X. Identifying Anthropogenic Sources of Heavy Metals in Alpine Peatlands over the Past 150 Years: Examples from Typical Peatlands in Altay Mountains, Northwest China. International Journal of Environmental Research and Public Health. 2023; 20(6):5013. https://doi.org/10.3390/ijerph20065013
Chicago/Turabian StyleLuo, Nana, Rui Yu, Bolong Wen, Xiaoyu Li, Xingtu Liu, and Xiujun Li. 2023. "Identifying Anthropogenic Sources of Heavy Metals in Alpine Peatlands over the Past 150 Years: Examples from Typical Peatlands in Altay Mountains, Northwest China" International Journal of Environmental Research and Public Health 20, no. 6: 5013. https://doi.org/10.3390/ijerph20065013
APA StyleLuo, N., Yu, R., Wen, B., Li, X., Liu, X., & Li, X. (2023). Identifying Anthropogenic Sources of Heavy Metals in Alpine Peatlands over the Past 150 Years: Examples from Typical Peatlands in Altay Mountains, Northwest China. International Journal of Environmental Research and Public Health, 20(6), 5013. https://doi.org/10.3390/ijerph20065013

