Effects of Variation in Tamarix chinensis Plantations on Soil Microbial Community Composition in the Middle Yellow River Floodplain
Abstract
1. Introduction
2. Materials and Methods
2.1. Study Region Description
2.2. Experimental Design and Sampling
2.3. Analysis of Soil Properties
2.4. Phospholipid Fatty Acid Analysis
2.5. Statistical Analysis
3. Results
3.1. Shrub Growth Characters and Soil Physicochemical Properties
3.2. Effects of Shrub Patch Size and Sampling Location on PLFAs
3.3. Correlations between Soil Microbial Community Composition and Physicochemical Properties
4. Discussion
4.1. Effect of T. chinensis on Soil Properties
4.2. Effect of T. chinensis on Soil Microbial Communities
4.3. Implications
5. Conclusions
Supplementary Materials
Author Contributions
Funding
Institutional Review Board Statement
Informed Consent Statement
Data Availability Statement
Conflicts of Interest
References
- Lv, X.; Ma, B.; Yu, J.; Chang, S.X.; Xu, J.; Li, Y.; Wang, G.; Han, G.; Bo, G.; Chu, X. Bacterial community structure and function shift along a successional series of tidal flats in the Yellow River Delta. Sci. Rep. 2016, 6, 36550. [Google Scholar] [CrossRef]
- Zhang, L.; Zhao, L.; Yi, H.; Lan, S.; Chen, L.; Han, G. Nitrogen addition alters plant growth in China’s Yellow River Delta coastal wetland through direct and indirect effects. Front. Plant Sci. 2022, 13, 1016949. [Google Scholar] [CrossRef] [PubMed]
- Hu, Y.; Wang, L.; Tang, Y.; Li, Y.; Chen, J.; Xi, X.; Zhang, Y.; Fu, X.; Wu, J.; Sun, Y. Variability in soil microbial community and activity between coastal and riparian wetlands in the Yangtze River estuary—Potential impacts on carbon sequestration. Soil Biol. Biochem. 2014, 70, 221–228. [Google Scholar] [CrossRef]
- Wang, D.; Huang, X.; Qiao, N.; Geng, Q.; Liu, Y.; Song, H.; Yang, Z.; Liu, C.; Wang, G. Effects of mowing and fertilization on soil quality in a semiarid grassland of North China. Land Degrad. Dev. 2020, 32, 1656–1666. [Google Scholar] [CrossRef]
- Wu, G.-L.; Wang, D.; Liu, Y.; Hao, H.-M.; Fang, N.-F.; Shi, Z.-H. Mosaic-pattern vegetation formation and dynamics driven by the water–wind crisscross erosion. J. Hydrol. 2016, 538, 355–362. [Google Scholar] [CrossRef]
- Deng, Y.; Cai, C.; Xia, D.; Ding, S.; Chen, J. Fractal features of soil particle size distribution under different land-use patterns in the alluvial fans of collapsing gullies in the hilly granitic region of southern China. PLoS ONE 2017, 12, e0173555. [Google Scholar] [CrossRef]
- Tao, B.; Chen, Q.; Wang, J.; Zhang, B.; Yuan, H.; Chen, Y. “Fertile island” of Tamarix Chinensis accelerated the carbon decomposition in the coastal wetlands of the Yellow River Delta, China. Catena 2022, 211, 106034. [Google Scholar] [CrossRef]
- Falkowski, P.G.; Fenchel, T.; Delong, E.F. The Microbial Engines That Drive Earth’s Biogeochemical Cycles. Science 2008, 320, 1034–1039. [Google Scholar] [CrossRef]
- Van Der Heijden, M.G.A.; Bardgett, R.D.; Van Straalen, N.M. The unseen majority: Soil microbes as drivers of plant diversity and productivity in terrestrial ecosystems. Ecol. Lett. 2008, 11, 296–310. [Google Scholar] [CrossRef]
- Ruan, M.; Zhang, Y.; Chai, T. Rhizosphere Soil Microbial Properties on Tetraena mongolica in the Arid and Semi-Arid Regions, China. Int. J. Environ. Res. Public Health 2020, 17, 5142. [Google Scholar] [CrossRef]
- Zhang, X.; Wu, X.; Zhang, S.; Xing, Y.; Wang, R.; Liang, W. Organic amendment effects on aggregate-associated organic C, microbial biomass C and glomalin in agricultural soils. Catena 2014, 123, 188–194. [Google Scholar] [CrossRef]
- Shao, P.; Liang, C.; Lynch, L.; Xie, H.; Bao, X. Reforestation accelerates soil organic carbon accumulation: Evidence from microbial biomarkers. Soil Biol. Biochem. 2019, 131, 182–190. [Google Scholar] [CrossRef]
- Schade, J.D.; Hobbie, S. Spatial and temporal variation in islands of fertility in the Sonoran Desert. Biogeochemistry 2005, 73, 541–553. [Google Scholar] [CrossRef]
- Graham, E.B.; Knelman, J.E.; Schindlbacher, A.; Siciliano, S.; Breulmann, M.; Yannarell, A.; Beman, J.M.; Abell, G.; Philippot, L.; Prosser, J.; et al. Microbes as Engines of Ecosystem Function: When Does Community Structure Enhance Predictions of Ecosystem Processes? Front. Microbiol. 2016, 7, 214. [Google Scholar] [CrossRef]
- Xiang, Y.; Cheng, M.; Huang, Y.; An, S.; Darboux, F. Changes in Soil Microbial Community and Its Effect on Carbon Sequestration Following Afforestation on the Loess Plateau, China. Int. J. Environ. Res. Public Health 2017, 14, 948. [Google Scholar] [CrossRef] [PubMed]
- Brockett, B.F.T.; Prescott, C.E.; Grayston, S.J. Soil moisture is the major factor influencing microbial community structure and enzyme activities across seven biogeo-climatic zones in western Canada. Soil Biol. Biochem. 2012, 44, 9–20. [Google Scholar] [CrossRef]
- Gao, Y.; Liu, L.; Zhu, P.; Yang, S.; Guo, W.; Yu, X. Patterns and Dynamics of the Soil Microbial Community with Gradual Vegetation Succession in the Yellow River Delta, China. Wetlands 2021, 41, 182–190. [Google Scholar] [CrossRef]
- Soong, J.L.; Fuchslueger, L.; Marañon-Jimenez, S.; Torn, M.S.; Janssens, I.A.; Penuelas, J.; Richter, A. Microbial carbon limitation: The need for integrating micro-organisms into our understanding of ecosystem carbon cycling. Glob. Chang. Biol. 2019, 26, 1953–1961. [Google Scholar] [CrossRef]
- Drenovsky, R.E.; Vo, D.; Graham, K.J.; Scow, K.M. Soil water content and organic carbon availability are major determinants of soil microbial community composition. Microbiol. Ecol. 2004, 48, 424–430. [Google Scholar] [CrossRef]
- Qu, L.; Wang, B.; Zhang, X.; Wang, M. Responses of Soil Microbial Community and Enzyme Activities to Shrub Species Artemisia gmelinii in Relation to Varying Rainfall in a Semiarid Land, SW China. Front. Environ. Sci. 2021, 9, 725960. [Google Scholar] [CrossRef]
- Garcia-Moya, E.; McKell, C.M. Contribution of Shrubs to the Nitrogen Economy of a Desert-Wash Plant Community. Ecology 1970, 51, 81–88. [Google Scholar] [CrossRef]
- Charley, J.L.; West, N.E. Plant-Induced Soil Chemical Patterns in Some Shrub-Dominated Semi-Desert Ecosystems of Utah. J. Ecol. 1975, 63, 945–963. [Google Scholar] [CrossRef]
- Bernhard-Reversat, F. Biogeochemical Cycle of Nitrogen in a Semi-Arid Savanna. Oikos 1982, 38, 321–332. [Google Scholar] [CrossRef]
- Li, Q.; Shen, X.; Huang, Q.; Sun, F.; Zhou, J.; Ma, X.; Ran, Z.; Chen, Y.; Li, Z.; Yan, Y.; et al. Resource islands of Salix cupularis facilitating seedling emergence of the companion herbs in the restoration process of desertified alpine meadow, the Tibetan Plateau. J. Environ. Manag. 2021, 289, 112434. [Google Scholar] [CrossRef]
- Yang, H.; Xia, J.; Cui, Q.; Liu, J.; Wei, S.; Feng, L.; Dong, K. Effects of different Tamarix chinensis-grass patterns on the soil quality of coastal saline soil in the Yellow River Delta, China. Sci. Total Environ. 2021, 772, 145501. [Google Scholar] [CrossRef]
- Iwaoka, C.; Imada, S.; Taniguchi, T.; Du, S.; Yamanaka, N.; Tateno, R. The impacts of soil fertility and salinity on soil nitrogen dynamics mediated by the soil micro-bial community beneath the halophytic shrub tamarisk. Microb. Ecol. 2018, 75, 985–996. [Google Scholar] [CrossRef]
- Dong, X.; Yang, L.; Harbo, L.S.; Yan, X.; Chen, J.; Zhao, C.; Xiao, Y.; Liu, H.; Wang, S.; Miao, Y.; et al. Effects of land use on soil microbial community structure and diversity in the Yellow River floodplain. J. Plant Ecol. 2022, 16, rtac075. [Google Scholar] [CrossRef]
- Chen, F.; Zhang, F.; Fang, N.; Shi, Z. Sediment source analysis using the fingerprinting method in a small catchment of the Loess Plateau, China. J. Soils Sediments 2016, 16, 1655–1669. [Google Scholar] [CrossRef]
- Wang, D.; Zhang, B.; Zhu, L.; Yang, Y.; Li, M. Soil and vegetation development along a 10-year restoration chronosequence in tailing dams in the Xiaoqinling gold region of Central China. Catena 2018, 167, 250–256. [Google Scholar] [CrossRef]
- Wang, S.; Yan, X.; Wang, D.; Siddique, I.A.; Chen, J.; Xu, Q.; Zhao, C.; Yang, L.; Miao, Y.; Han, S. Soil Microbial Community Based on PLFA Profiles in an Age Sequence of Pomegranate Plantation in the Middle Yellow River Floodplain. Diversity 2021, 13, 408. [Google Scholar] [CrossRef]
- Throop, H.L.; Archer, S.R. Shrub (Prosopis velutina) encroachment in a semidesert grassland: Spatial-temporal changes in soil organic carbon and nitrogen pools. Glob. Chang. Biol. 2010, 14, 2420–2431. [Google Scholar] [CrossRef]
- Yao, Y.; Shao, M.; Jia, Y.; Li, T. Distribution of soil nutrients under and outside tree/shrub canopies on a revegetated loessial slope. Can. J. Soil Sci. 2017, 97, 101–106. [Google Scholar] [CrossRef]
- Yin, C.H.; Feng, G.; Zhang, F.; Tian, C.Y.; Tang, C. Enrichment of soil fertility and salinity by tamarisk in saline soils on the northern edge of the Taklamakan Desert. Agric. Water Manag. 2010, 97, 1978–1986. [Google Scholar] [CrossRef]
- Lu, Y.C.; Xu, H.S.; Wang, C.Y.; Jin, Y.W.; Sun, Z.M. Improvement of the Dtermination Method for Total Amount of Soil Water-soluble Salts Based on Gravimetric Method. Chin. J. Soil Sci. 2022, 53, 815–820. [Google Scholar]
- Lu, K. Analytical Methods of Soil and Agricultural Chemistry; Chinese Agriculture Science and Technology Press: Beijing, China, 1999; pp. 106–109. [Google Scholar]
- Frostegård, A.; Bååth, E.; Tunlio, A. Shifts in the structure of soil microbial communities in limed forests as revealed by phospholipid fatty acid analysis. Soil Biol. Biochem. 1993, 25, 723–730. [Google Scholar] [CrossRef]
- Frostegård, A.; Bååth, E. The use of phospholipid fatty acid analysis to estimate bacterial and fungal biomass in soil. Biol. Fertil. Soils 1996, 22, 59–65. [Google Scholar] [CrossRef]
- Stark, S.; Eskelinen, A.; Männistö, M.K. Regulation of Microbial Community Composition and Activity by Soil Nutrient Availability, Soil pH, and Herbivory in the Tundra. Ecosystems 2011, 15, 18–33. [Google Scholar] [CrossRef]
- Joergensen, R.G. Phospholipid fatty acids in soil—Drawbacks and future prospects. Biol. Fertil. Soils 2021, 58, 1–6. [Google Scholar] [CrossRef]
- Zelles, L. Phospholipid fatty acid profiles in selected members of soil microbial communities. Chemosphere 1997, 35, 275–294. [Google Scholar] [CrossRef]
- Fernández-Calviño, D.; Martín, A.; Arias-Estévez, M.; Bååth, E.; Díaz-Raviña, M. Microbial community structure of vineyard soils with different pH and copper content. Appl. Soil Ecol. 2010, 46, 276–282. [Google Scholar] [CrossRef]
- Deng, L.; Shangguan, Z.P. Afforestation drives soil carbon and ntrogen changes in China. Land Degrad. Dev. 2016, 28, 151–165. [Google Scholar] [CrossRef]
- Hu, Y.F.; Shu, X.Y.; He, J.; Zhang, Y.L.; Xiao, H.H.; Tang, X.Y.; Gu, Y.F.; Lan, T.; Xia, J.G.; Ling, J. Storage of C, N, and P affected by afforestation with Salix cupularis in an alpine semi-arid desert ecosystem. Land Degrad. Dev. 2018, 29, 188–198. [Google Scholar] [CrossRef]
- Vetaas, O.R. Micro-site effects of trees and shrubs in dry savannas. J. Veg. Sci. 1992, 3, 337–344. [Google Scholar] [CrossRef]
- Jankju, M. Role of nurse shrubs in restoration of an arid rangeland: Effects of microclimate on grass establishment. J. Arid. Environ. 2013, 89, 103–109. [Google Scholar] [CrossRef]
- Lesica, P.; Deluca, T.H. Is tamarisk allelopathic? Plant Soil 2004, 267, 357–365. [Google Scholar] [CrossRef]
- Zhang, G.; Yang, Q.; Wang, X.; Zhao, W. Size-related change in Nitraria sphaerocarpa patches shifts the shrub-annual interaction in an arid desert, northwestern China. Acta Oecol. 2015, 69, 121–128. [Google Scholar] [CrossRef]
- Huang, G.; Zhao, X.Y.; Li, Y.Q.; Cui, J.Y. Restoration of shrub communities elevates organic carbon in arid soils of northwestern China. Soil Biol. Biochem. 2012, 47, 123–132. [Google Scholar]
- Gray, D.; Swanson, J.; Dighton, J. The influence of contrasting ground cover vegetation on soil properties in the NJ pine barrens. Appl. Soil Ecol. 2012, 59, 41–48. [Google Scholar] [CrossRef]
- Hortal, S.; Bastida, F.; Moreno, J.L.; Armas, C.; Garcia, C.; Pugnaire, F.I. Benefactor and allelopathic shrub species have different effects on the soil microbial com-munity along an environmental severity gradient. Soil Biol. Biochem. 2015, 88, 48–57. [Google Scholar] [CrossRef]
- Raiesi, F. Land abandonment effect on N mineralization and microbial biomass N in a semi-arid calcareous soil from Iran. J. Arid. Environ. 2012, 76, 80–87. [Google Scholar] [CrossRef]
- Xiang, Y.; An, S.; Cheng, M.; Liu, L.; Xie, Y. Changes of Soil Microbiological Properties during Grass Litter Decomposition in Loess Hilly Region, China. Int. J. Environ. Res. Public Health 2018, 15, 1797. [Google Scholar] [CrossRef] [PubMed]
- Lipson, D.A.; Schmidt, S.K.; Monson, R.K. Carbon availability and temperature control the post-snowmelt decline in alpine soil microbial biomass. Soil Biol. Biochem. 2000, 32, 441–448. [Google Scholar] [CrossRef]
- Wang, L.; Li, Z.; Wang, D.; Liao, S.; Nie, X.; Liu, Y. Factors controlling soil organic carbon with depth at the basin scale. Catena 2022, 217, 106478. [Google Scholar] [CrossRef]
- Kallenbach, C.M.; Frey, S.D.; Grandy, A.S. Direct evidence for microbial-derived soil organic matter formation and its ecophysiological controls. Nat. Commun. 2016, 7, 13630. [Google Scholar] [CrossRef] [PubMed]
- Bencherif, K.; Boutekrabt, A.; Fontaine, J.; Laruelle, F.; Dalpè, Y.; Sahraoui, A.L.-H. Impact of soil salinity on arbuscular mycorrhizal fungi biodiversity and microflora biomass associated with Tamarix articulata Vahll rhizosphere in arid and semi-arid Algerian areas. Sci. Total Environ. 2015, 533, 488–494. [Google Scholar] [CrossRef]
- Odelade, K.A.; Babalola, O.O. Bacteria, Fungi and Archaea Domains in Rhizospheric Soil and Their Effects in Enhancing Agricultural Productivity. Int. J. Environ. Res. Public Health 2019, 16, 3873. [Google Scholar] [CrossRef]
- Wang, D.; Liu, C.; Yang, Y.; Liu, P.; Hu, W.; Song, H.; Miao, C.; Chen, J.; Yang, Z.; Miao, Y. Clipping decreases plant cover, litter mass, and water infiltration rate in soil across six plant community sites in a semiarid grassland. Sci. Total Environ. 2023, 861, 160692. [Google Scholar] [CrossRef]





| Shrub Size | Sampling Location | Shrub Growth Characters (cm) | Particle Size Content (%) | ||||
|---|---|---|---|---|---|---|---|
| Basal Diameter | Height | Canopy Diameter | Clay | Silt | Sand | ||
| Small | Inside | 1.61 ± 0.13 C | 147.25 ± 0.04 C | 75.35 ± 3.40 C | 5.54 | 65.61 | 28.85 |
| Outside | 4.79 | 63.13 | 32.08 | ||||
| Medium | Inside | 3.72 ± 0.13 B | 262.75 ± 0.05 B | 164.10 ± 6.46 B | 4.59 | 63.65 | 31.76 |
| Outside | 3.72 | 57.18 | 39.10 | ||||
| Large | Inside | 8.89 ± 0.17 A | 426.25 ± 0.08 A | 275.12 ± 16.80 A | 7.82 | 83.59 | 8.58 |
| Outside | 7.36 | 85.68 | 6.96 | ||||
| Shrub Size | Sampling Location | SWC (%) | pH | SSC (g·kg−1) | SOM (g·kg−1) | TN (g·kg−1) | AP (mg·kg−1) |
|---|---|---|---|---|---|---|---|
| Small | Inside | 21.06 ± 0.74 Aa | 8.12 ± 0.04 Aa | 1.30 ± 0.17 Ab | 4.28 ± 0.31 Ac | 0.74 ± 0.03 Ab | 44.37 ± 1.32 Ab |
| Outside | 20.42 ± 0.82 Aa | 8.17 ± 0.02 Aa | 0.89 ± 0.14 Aa | 3.55 ± 0.34 Aa | 0.72 ± 0.04 Aa | 36.90 ± 1.72 Ba | |
| Medium | Inside | 20.98 ± 0.50 Aa | 8.06 ± 0.04 Aa | 1.36 ± 0.16 Ab | 5.67 ± 0.55 Ab | 0.80 ± 0.04 Ab | 48.55 ± 2.55 Ab |
| Outside | 21.28 ± 0.50 Aa | 8.15 ± 0.02 Aa | 0.87 ± 0.10 Aa | 3.63 ± 0.15 Aa | 0.71 ± 0.01 Aa | 38.99 ± 1.02 Ba | |
| Large | Inside | 21.96 ± 0.26 Aa | 8.03 ± 0.04 Aa | 2.43 ± 0.42 Aa | 7.52 ± 0.27 Aa | 1.02 ± 0.03 Aa | 61.68 ± 2.03 Aa |
| Outside | 20.57 ± 0.58 Ba | 8.09 ± 0.03 Aa | 0.95 ± 0.19 Ba | 4.17 ± 0.19 Ba | 0.71 ± 0.03 Ba | 39.89 ± 1.95 Ba |
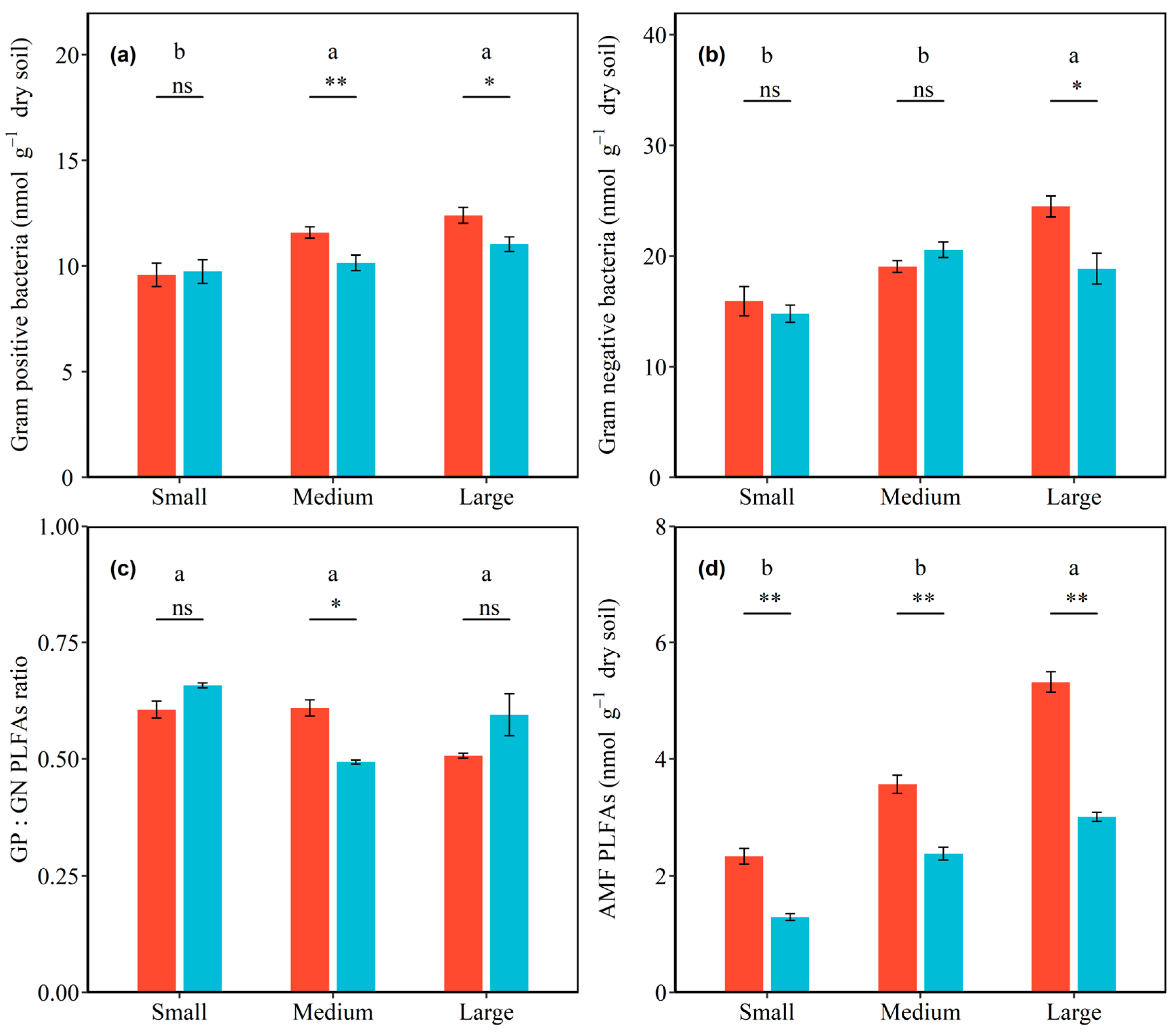
| Shrub Size | Sampling Location | Total | Bacteria | Fungi | Fungi:Bacteria | GP Bacteria | GN Bacteria | GP:GN Bacteria | AMF |
|---|---|---|---|---|---|---|---|---|---|
| Small | Inside | 46.61 ± 2.62 Ac | 38.74 ± 2.34 Ac | 7.87 ± 0.33 Ab | 0.20 ± 0.01 Aa | 9.59 ± 0.55 Ab | 15.93 ± 1.33 Ab | 0.61 ± 0.02 Aa | 2.34 ± 0.14 Ac |
| Outside | 42.01 ± 1.64 Ab | 36.12 ± 1.49 Ab | 5.90 ± 0.23 Bb | 0.16 ± 0.01 Bb | 9.74 ± 0.56 Ab | 14.79 ± 0.77 Ab | 0.66 ± 0.01 Aa | 1.29 ± 0.06 Bc | |
| Medium | Inside | 54.52 ± 0.82 Ab | 46.13 ± 0.76 Ab | 8.38 ± 0.23 Ab | 0.18 ± 0.01 Ab | 11.59 ± 0.27 Aa | 19.05 ± 0.54 Ab | 0.61 ± 0.02 Aa | 3.57 ± 0.16 Ab |
| Outside | 51.94 ± 1.62 Aa | 44.37 ± 1.42 Aa | 7.57 ± 0.22 Ba | 0.17 ± 0.01 Aab | 10.15 ± 0.37 Bab | 20.56 ± 0.71 Aa | 0.49 ± 0.01 Bb | 2.38 ± 0.11 Bb | |
| Large | Inside | 65.75 ± 1.54 Aa | 55.63 ± 1.52 Aa | 10.12 ± 0.18 Aa | 0.18 ± 0.01 Ab | 12.40 ± 0.37 Aa | 24.49 ± 0.95 Aa | 0.51 ± 0.01 Ab | 5.32 ± 0.18 Aa |
| Outside | 54.10 ± 1.91 Ba | 45.90 ± 1.73 Ba | 8.20 ± 0.26 Ba | 0.18 ± 0.01 Aa | 11.04 ± 0.35 Ba | 18.86 ± 1.39 Ba | 0.59 ± 0.05 Aa | 3.01 ± 0.08 Ba |
Disclaimer/Publisher’s Note: The statements, opinions and data contained in all publications are solely those of the individual author(s) and contributor(s) and not of MDPI and/or the editor(s). MDPI and/or the editor(s) disclaim responsibility for any injury to people or property resulting from any ideas, methods, instructions or products referred to in the content. |
© 2023 by the authors. Licensee MDPI, Basel, Switzerland. This article is an open access article distributed under the terms and conditions of the Creative Commons Attribution (CC BY) license (https://creativecommons.org/licenses/by/4.0/).
Share and Cite
Yan, X.; Zhang, L.; Xu, Q.; Qi, L.; Yang, J.; Dong, X.; Jiang, M.; Hu, M.; Zheng, J.; Yu, Y.; et al. Effects of Variation in Tamarix chinensis Plantations on Soil Microbial Community Composition in the Middle Yellow River Floodplain. Int. J. Environ. Res. Public Health 2023, 20, 5015. https://doi.org/10.3390/ijerph20065015
Yan X, Zhang L, Xu Q, Qi L, Yang J, Dong X, Jiang M, Hu M, Zheng J, Yu Y, et al. Effects of Variation in Tamarix chinensis Plantations on Soil Microbial Community Composition in the Middle Yellow River Floodplain. International Journal of Environmental Research and Public Health. 2023; 20(6):5015. https://doi.org/10.3390/ijerph20065015
Chicago/Turabian StyleYan, Xinyu, Lanlan Zhang, Qi Xu, Linyu Qi, Jingyuan Yang, Xiongde Dong, Meiguang Jiang, Mengjun Hu, Junqiang Zheng, Yanyan Yu, and et al. 2023. "Effects of Variation in Tamarix chinensis Plantations on Soil Microbial Community Composition in the Middle Yellow River Floodplain" International Journal of Environmental Research and Public Health 20, no. 6: 5015. https://doi.org/10.3390/ijerph20065015
APA StyleYan, X., Zhang, L., Xu, Q., Qi, L., Yang, J., Dong, X., Jiang, M., Hu, M., Zheng, J., Yu, Y., Miao, Y., Han, S., & Wang, D. (2023). Effects of Variation in Tamarix chinensis Plantations on Soil Microbial Community Composition in the Middle Yellow River Floodplain. International Journal of Environmental Research and Public Health, 20(6), 5015. https://doi.org/10.3390/ijerph20065015

