An Integrated System of Multifaceted Machine Learning Models to Predict If and When Hospital-Acquired Pressure Injuries (Bedsores) Occur
Abstract
1. Introduction
2. Related Literature
3. Research Methodology
3.1. Methods
3.2. Data Source
3.3. Variables
3.4. Model Development
3.4.1. Phase 1: Predict “If” Patient Will Develop HAPI
| Algorithm 1. Combining GA-CS-SVM for optimizing the CS learning parameters |
| 1: Set GA parameters (Pc, Pm, n, gmax) , ) using real value encoding 3: Randomly generate n solutions 4: Calculate the fitness value (AUC) of each solution by the trained CS-SVMs 5: for i = 1 to gmax do 6: for j = 1 to n/2 do 7: Select two parents 8: Crossover to create two children with Pc 9: Mutate children with Pm 10: end for 11: Replace parents with children 12: end for 13: Return the best solution |
3.4.2. Phase 2: Predict “When” a Patient Is Likely to Develop HAPI
3.5. Performance Metrics
4. Results
5. Discussion
6. Conclusions and Future Work
Supplementary Materials
Author Contributions
Funding
Institutional Review Board Statement
Informed Consent Statement
Data Availability Statement
Acknowledgments
Conflicts of Interest
References
- Song, W.; Kang, M.J.; Zhang, L.; Jung, W.; Song, J.; Bates, D.W.; Dykes, P.C. Predicting Pressure Injury Using Nursing Assessment Phenotypes and Machine Learning Methods. J. Am. Med. Inform. Assoc. 2021, 28, 759–765. [Google Scholar] [CrossRef] [PubMed]
- Kottner, J.; Cuddigan, J.; Carville, K.; Balzer, K.; Berlowitz, D.; Law, S.; Litchford, M.; Mitchell, P.; Moore, Z.; Pittman, J.; et al. Prevention and Treatment of Pressure Ulcers/Injuries: The Protocol for the Second Update of the International Clinical Practice Guideline 2019. J. Tissue Viability 2019, 28, 51–58. [Google Scholar] [CrossRef] [PubMed]
- Hartman, M.; Martin, A.B.; Washington, B.; Catlin, A. The National Health Expenditure Accounts Team National Health Care Spending In 2020: Growth Driven by Federal Spending In Response To The COVID-19 Pandemic. Health Aff. (Millwood) 2022, 41, 13–25. [Google Scholar] [CrossRef] [PubMed]
- Gaspar, S.; Peralta, M.; Budri, A.; Ferreira, C.; Gaspar de Matos, M. Pressure Ulcer Risk Profiles of Hospitalized Patients Based on the Braden Scale: A Cluster Analysis. Int. J. Nurs. Pract. 2022, 28, e13038. [Google Scholar] [CrossRef] [PubMed]
- Cheng, F.M.; Jin, Y.J.; Chien, C.W.; Chuang, Y.C.; Tung, T.H. The Application of Braden Scale and Rough Set Theory for Pressure Injury Risk in Elderly Male Population. J. Mens. Health 2021, 17, 156–165. [Google Scholar] [CrossRef]
- Huang, C.; Ma, Y.; Wang, C.; Jiang, M.; Yuet Foon, L.; Lv, L.; Han, L. Predictive Validity of the Braden Scale for Pressure Injury Risk Assessment in Adults: A Systematic Review and Meta-Analysis. Nurs. Open 2021, 8, 2194–2207. [Google Scholar] [CrossRef]
- Jansen, R.C.S.; Silva, K.B.d.A.; Moura, M.E.S. Braden Scale in Pressure Ulcer Risk Assessment. Rev. Bras. Enferm. 2020, 73, e20190413. [Google Scholar] [CrossRef]
- Zahia, S.; Sierra-Sosa, D.; Garcia-Zapirain, B.; Elmaghraby, A. Tissue Classification and Segmentation of Pressure Injuries Using Convolutional Neural Networks. Comput. Methods Programs Biomed. 2018, 159, 51–58. [Google Scholar] [CrossRef]
- Ribeiro, F.; Fidalgo, F.; Silva, A.; Metrôlho, J.; Santos, O.; Dionisio, R. Literature Review of Machine-Learning Algorithms for Pressure Ulcer Prevention: Challenges and Opportunities. Informatics 2021, 8, 76. [Google Scholar] [CrossRef]
- Ahmad, M.A.; Larson, B.; Overman, S.; Kumar, V.; Xie, J.; Rossington, A.; Patel, A.; Teredesai, A. Machine Learning Approaches for Pressure Injury Prediction. In Proceedings of the 2021 IEEE 9th International Conference on Healthcare Informatics, ISCHI 2021, Victoria, BC, Canada, 9–12 August 2021; Institute of Electrical and Electronics Engineers Inc.: New York City, NY, USA, 2021; pp. 427–431. [Google Scholar]
- Alderden, J.; Pepper, G.A.; Wilson, A.; Whitney, J.D.; Richardson, S.; Butcher, R.; Jo, Y.; Cummins, M.R. Predicting Pressure Injury in Critical Care Patients: A Machine Learning Model. Am. J. Crit. Care 2018, 27, 461–468. [Google Scholar] [CrossRef]
- Alderden, J.; Drake, K.P.; Wilson, A.; Dimas, J.; Cummins, M.R.; Yap, T.L. Hospital Acquired Pressure Injury Prediction in Surgical Critical Care Patients. BMC Med. Inform. Decis. Mak. 2021, 21, 1–11. [Google Scholar] [CrossRef] [PubMed]
- Anderson, C.; Bekele, Z.; Qiu, Y.; Tschannen, D.; Dinov, I.D. Modeling and Prediction of Pressure Injury in Hospitalized Patients Using Artificial Intelligence. BMC Med. Inform. Decis. Mak. 2021, 21, 1–13. [Google Scholar] [CrossRef] [PubMed]
- Borlawsky, T.; Hripcsak, G. Evaluation of an Automated Pressure Ulcer Risk Assessment Model. Home Health Care Manag. Pract. 2007, 19, 272–284. [Google Scholar] [CrossRef]
- Chen, Y.-C.; Wang, P.-C.; Su, C.-T. Pressure Ulcers Prediction Using Support Vector Machines. In Proceedings of the 2008 4th International Conference on Wireless Communications, Networking and Mobile Computing, Dalian, China, 12–14 October 2008; IEEE: New York, NY, USA; pp. 1–4. [Google Scholar]
- Cichosz, S.L.; Voelsang, A.B.; Tarnow, L.; Hasenkam, J.M.; Fleischer, J. Prediction of In-Hospital Pressure Ulcer Development. Adv. Wound. Care (New Rochelle) 2019, 8, 1–6. [Google Scholar] [CrossRef]
- Cramer, E.M.; Seneviratne, M.G.; Sharifi, H.; Ozturk, A.; Hernandez-Boussard, T. Predicting the Incidence of Pressure Ulcers in the Intensive Care Unit Using Machine Learning. eGEMs (Gener. Evid. Methods Improv. Patient Outcomes) 2019, 7, 49. [Google Scholar] [CrossRef] [PubMed]
- Deng, X.; Yu, T.; Hu, A. Predicting the Risk for Hospital-Acquired Pressure Ulcers in Critical Care Patients. Crit Care Nurse 2017, 37, e1–e11. [Google Scholar] [CrossRef]
- Do, Q.; Lipatov, K.; Ramar, K.; Rasmusson, J.; Pickering, B.W.; Herasevich, V. Pressure Injury Prediction Model Using Advanced Analytics for At-Risk Hospitalized Patients. Patients. J. Patient Saf. 2022, 18, e1083–e1089. [Google Scholar] [CrossRef]
- Gao, L.; Yang, L.; Li, X.; Chen, J.; Du, J.; Bai, X.; Yang, X. The Use of a Logistic Regression Model to Develop a Risk Assessment of Intraoperatively Acquired Pressure Ulcer. J. Clin. Nurs. 2018, 27, 2984–2992. [Google Scholar] [CrossRef]
- Hyun, S.; Moffatt-Bruce, S.; Cooper, C.; Hixon, B.; Kaewprag, P. Prediction Model for Hospital-Acquired Pressure Ulcer Development: Retrospective Cohort Study. JMIR Med. Inform. 2019, 7, e13785. [Google Scholar] [CrossRef]
- Jin, Y.; Jin, T.; Lee, S.M. Automated Pressure Injury Risk Assessment System Incorporated into an Electronic Health Record System. Nurs. Res. 2017, 66, 462–472. [Google Scholar] [CrossRef]
- Kaewprag, P.; Newton, C.; Vermillion, B.; Hyun, S.; Huang, K.; Machiraju, R. Predictive Models for Pressure Ulcers from Intensive Care Unit Electronic Health Records Using Bayesian Networks. BMC Med. Inform. Decis. Mak. 2017, 17, 81–91. [Google Scholar] [CrossRef] [PubMed]
- Ladios-Martin, M.; Fernández-De-maya, J.; Ballesta-López, F.J.; Belso-Garzas, A.; Mas-Asencio, M.; Cabañero-Martínez, M.J. Predictive Modeling of Pressure Injury Risk in Patients Admitted to an Intensive Care Unit. Am. J. Crit. Care 2020, 29, e70–e80. [Google Scholar] [CrossRef]
- Li, H.L.; Lin, S.W.; Hwang, Y.T. Using Nursing Information and Data Mining to Explore the Factors That Predict Pressure Injuries for Patients at the End of Life. CIN—Comput. Inform. Nurs. 2019, 37, 133–140. [Google Scholar] [CrossRef] [PubMed]
- Nakagami, G.; Yokota, S.; Kitamura, A.; Takahashi, T.; Morita, K.; Noguchi, H.; Ohe, K.; Sanada, H. Supervised Machine Learning-Based Prediction for in-Hospital Pressure Injury Development Using Electronic Health Records: A Retrospective Observational Cohort Study in a University Hospital in Japan. Int. J. Nurs. Stud. 2021, 119, 103932. [Google Scholar] [CrossRef]
- Ossai, C.I.; O’Connor, L.; Wickramasighe, N. Real-Time Inpatients Risk Profiling in Acute Care: A Comparative Study of Falls and Pressure Injuries Vulnerabilities; University of Maribor: Maribor, Slovenia, 2021; pp. 35–50. [Google Scholar]
- Šín, P.; Hokynková, A.; Marie, N.; Andrea, P.; Krč, R.; Podroužek, J. Machine Learning-Based Pressure Ulcer Prediction in Modular Critical Care Data. Diagnostics 2022, 12, 850. [Google Scholar] [CrossRef] [PubMed]
- Song, J.; Gao, Y.; Yin, P.; Li, Y.; Li, Y.; Zhang, J.; Su, Q.; Fu, X.; Pi, H. The Random Forest Model Has the Best Accuracy among the Four Pressure Ulcer Prediction Models Using Machine Learning Algorithms. Risk Manag. Healthc. Policy 2021, 14, 1175–1187. [Google Scholar] [CrossRef] [PubMed]
- Su, C.T.; Wang, P.C.; Chen, Y.C.; Chen, L.F. Data Mining Techniques for Assisting the Diagnosis of Pressure Ulcer Development in Surgical Patients. J. Med. Syst. 2012, 36, 2387–2399. [Google Scholar] [CrossRef]
- Vyas, K.; Samadani, A.; Milosevic, M.; Ostadabbas, S.; Parvaneh, S. Additional Value of Augmenting Current Subscales in Braden Scale with Advanced Machine Learning Technique for Pressure Injury Risk Assessment. In Proceedings of the 2020 IEEE International Conference on Bioinformatics and Biomedicine, BIBM 2020, Seoul, Korea, 16–19 December 2020; Institute of Electrical and Electronics Engineers Inc.: New York City, NY, USA, 2020; pp. 2993–2995. [Google Scholar]
- Walther, F.; Heinrich, L.; Dresden, T.U.; Schmitt, J.; Roessler, M. Prediction of Inpatient Pressure Ulcers Based on Routine Healthcare Data Using Machine Learning Methodology. Sci. Rep. 2021, 12, 1–10. [Google Scholar] [CrossRef]
- Xu, J.; Chen, D.; Deng, X.; Pan, X.; Chen, Y.; Zhuang, X.; Sun, C. Development and Validation of a Machine Learning Algorithm–Based Risk Prediction Model of Pressure Injury in the Intensive Care Unit. Int. Wound J. 2022, 19, 1637–1649. [Google Scholar] [CrossRef]
- Lu, J.; Song, E.; Ghoneim, A.; Alrashoud, M. Machine Learning for Assisting Cervical Cancer Diagnosis: An Ensemble Approach. Future Generation Computer Systems. Future Gener. Comput. Syst. 2020, 106, 199–205. [Google Scholar] [CrossRef]
- Isabelle, G.; Elisseeff, A. An Introduction to Variable and Feature Selection. J. Mach. Learn. Res. 2003, 3, 1157–1182. [Google Scholar]
- Dweekat, O.Y.; Lam, S.S.; Alders, V.; Alkhawaldeh, R.; Lu, W.; Wadhawa, T.; Jarrold, K. Addressing Cancer Readmission Prediction Model Drift: A Case Study. In Proceedings of the IISE Annual Conference & Expo 2022, Seattle, WA, USA, 21–24 May 2022; Institute of Industrial & Systems Engineers (IISE): Seattle, WA, USA, 2022; pp. 43–48. [Google Scholar]
- Blagus, R.; Lusa, L. SMOTE for High-Dimensional Class-Imbalanced Data. BMC Bioinform. 2013, 14, 1–16. [Google Scholar] [CrossRef] [PubMed]
- Cortes, C.; Vapnik, V. Support-Vector Networks. Mach. Learn. 1995, 20, 273–297. [Google Scholar] [CrossRef]
- Iranmehr, A.; Masnadi-Shirazi, H.; Vasconcelos, N. Cost-Sensitive Support Vector Machines. Neurocomputing 2019, 343, 50–64. [Google Scholar] [CrossRef]
- Guido, R.; Groccia, M.C.; Conforti, D. Hyper-Parameter Optimization in Support Vector Machine on Unbalanced Datasets Using Genetic Algorithms; AIRO Springer Series; Springer: Cham, Switzerland, 2022; Volume 8, pp. 37–47. [Google Scholar] [CrossRef]
- Bach, F.; Heckerman, D.; Horvitz, E. Considering Cost Asymmetry in Learning Classifiers. Mach. Learn. Res. 2005, 7, 1713–1741. [Google Scholar]
- Davenport, M.A.; Baraniuk, R.G.; Scott, C.D. Controlling False Alarms with Support Vector Machines. In Proceedings of the 2006 IEEE International Conference on Acoustics Speech and Signal Processing Proceedings, Toulouse, France, 14–19 May 2006; Volume 5. [Google Scholar] [CrossRef]
- Lin, Y.; Lee, Y.; Wahba, G. Support Vector Machines for Classification in Nonstandard Situations. Mach. Learn. 2002, 46, 191–202. [Google Scholar] [CrossRef]
- Kim, K.H.; Sohn, S.Y. Hybrid Neural Network with Cost-Sensitive Support Vector Machine for Class-Imbalanced Multimodal Data. Neural Netw. 2020, 130, 176–184. [Google Scholar] [CrossRef] [PubMed]
- Ma, Y.; Zhao, K.; Wang, Q.; Tian, Y. Incremental Cost-Sensitive Support Vector Machine with Linear-Exponential Loss. IEEE Access 2020, 8, 149899–149914. [Google Scholar] [CrossRef]
- Cheng, F.; Zhang, J.; Wen, C. Cost-Sensitive Large Margin Distribution Machine for Classification of Imbalanced Data. Pattern Recognit. Lett. 2016, 80, 107–112. [Google Scholar] [CrossRef]
- Tao, X.; Li, Q.; Guo, W.; Ren, C.; Li, C.; Liu, R.; Zou, J. Self-Adaptive Cost Weights-Based Support Vector Machine Cost-Sensitive Ensemble for Imbalanced Data Classification. Inf. Sci. 2019, 487, 31–56. [Google Scholar] [CrossRef]
- Akbani, R.; Kwek, S.; Japkowicz, N. Applying Support Vector Machines to Imbalanced Datasets; Lecture Notes in Artificial Intelligence (Subseries of Lecture Notes in Computer Science); Springer: Berlin/Heidelberg, Germany, 2004; Volume 3201, pp. 39–50. [Google Scholar] [CrossRef]
- Yang, X.; Song, Q.; Cao, A. Weighted Support Vector Machine for Data Classification. In Proceedings of the International Joint Conference on Neural Networks, Montreal, QC, Canada, 31 July–4 August 2005; Volume 2, pp. 859–864. [Google Scholar] [CrossRef]
- Laref, R.; Losson, E.; Sava, A.; Siadat, M. On the Optimization of the Support Vector Machine Regression Hyperparameters Setting for Gas Sensors Array Applications. Chemom. Intell. Lab. Syst. 2019, 184, 22–27. [Google Scholar] [CrossRef]
- Xu, L.; Hou, L.; Zhu, Z.; Li, Y.; Liu, J.; Lei, T.; Wu, X. Mid-Term Prediction of Electrical Energy Consumption for Crude Oil Pipelines Using a Hybrid Algorithm of Support Vector Machine and Genetic Algorithm. Energy 2021, 222, 119955. [Google Scholar] [CrossRef]
- Hunter, R.; Anis, H. Genetic Support Vector Machines as Powerful Tools for the Analysis of Biomedical Raman Spectra. J. Raman Spectrosc. 2018, 49, 1435–1444. [Google Scholar] [CrossRef]
- Ji, B.; Xie, F.; Wang, X.; He, S.; Song, D. Investigate Contribution of Multi-Microseismic Data to Rockburst Risk Prediction Using Support Vector Machine with Genetic Algorithm. IEEE Access 2020, 8, 58817–58828. [Google Scholar] [CrossRef]
- Ali, L.; Wajahat, I.; Amiri Golilarz, N.; Keshtkar, F.; Bukhari, S.A.C. LDA–GA–SVM: Improved Hepatocellular Carcinoma Prediction through Dimensionality Reduction and Genetically Optimized Support Vector Machine. Neural Comput. Appl. 2020, 33, 2783–2792. [Google Scholar] [CrossRef]
- Wicaksono, A.S.; Supianto, A.A. Hyper Parameter Optimization Using Genetic Algorithm on Machine Learning Methods for Online News Popularity Prediction. Int. J. Adv. Comput. Sci. Appl. 2018, 9, 263–267. [Google Scholar] [CrossRef]
- Villalobos-Arias, L.; Quesada-López, C.; Guevara-Coto, J.; Martínez, A.; Jenkins, M. Evaluating Hyper-Parameter Tuning Using Random Search in Support Vector Machines for Software Effort Estimation. In Proceedings of the PROMISE 2020—16th ACM International Conference on Predictive Models and Data Analytics in Software Engineering, Co-Located with ESEC/FSE, Virtual, 8–9 November 2020; pp. 31–40. [Google Scholar] [CrossRef]
- Al-Zoubi, A.M.; Heidari, A.A.; Habib, M.; Faris, H.; Aljarah, I.; Hassonah, M.A. Salp Chain-Based Optimization of Support Vector Machines and Feature Weighting for Medical Diagnostic Information Systems; Springer: Singapore, 2020; pp. 11–34. [Google Scholar] [CrossRef]
- Dweekat, O.Y.; Lam, S.S. Cervical Cancer Diagnosis Using an Integrated System of Principal Component Analysis, Genetic Algorithm, and Multilayer Perceptron. Healthcare 2022, 10, 2002. [Google Scholar] [CrossRef]
- Cawley, G.C. Leave-One-out Cross-Validation Based Model Selection Criteria for Weighted LS-SVMs. In Proceedings of the 2006 IEEE International Joint Conference on Neural Network Proceedings, Vancouver, BC, Canada, 16–21 July 2006; pp. 1661–1668. [Google Scholar] [CrossRef]
- Syarif, I.; Prugel-Bennett, A.; Wills, G. SVM Parameter Optimization Using Grid Search and Genetic Algorithm to Improve Classification Performance. TELKOMNIKA (Telecommun. Comput. Electron. Control.) 2016, 14, 1502–1509. [Google Scholar] [CrossRef]
- Canbek, G.; Temizel, T.T.; Sagiroglu, S.; Baykal, N. Binary Classification Performance Measures/Metrics: A Comprehensive Visualized Roadmap to Gain New Insights. In Proceedings of the 2nd International Conference on Computer Science and Engineering (UBMK), Antalya, Turkey, 5–8 October 2017; pp. 821–826. [Google Scholar] [CrossRef]
- Toney-Butler, T.J.; Thayer, J.M. Nursing Process; StatPearls Publishing: Treasure Island, FL, USA, 2022; ISBN 9781496309945. [Google Scholar]
- Wadhera, R.K.; Choi, E.; Shen, C.; Yeh, R.W.; Joynt Maddox, K.E. Trends, Causes, and Outcomes of Hospitalizations for Homeless Individuals. Med. Care 2019, 57, 21–27. [Google Scholar] [CrossRef]
- Lavery, A.M.; Preston, L.E.; Ko, J.Y.; Chevinsky, J.R.; DeSisto, C.L.; Pennington, A.F.; Kompaniyets, L.; Datta, S.D.; Click, E.S.; Golden, T.; et al. Characteristics of Hospitalized COVID-19 Patients Discharged and Experiencing Same-Hospital Readmission—United States, March–August 2020. Morb. Mortal. Wkly. Rep. 2022, 69, 1695–1699. [Google Scholar] [CrossRef]
- Ghosh, A.K.; Geisler, B.P.; Ibrahim, S. Racial/Ethnic and Socioeconomic Variations in Hospital Length of Stay: A State-Based Analysis. Medicine 2021, 100, e25976. [Google Scholar] [CrossRef] [PubMed]
- Dweekat, O.Y.; Lam, S.S.; McGrath, L. A Hybrid System of Braden Scale and Machine Learning to Predict Hospital-Acquired Pressure Injuries (Bedsores): A Retrospective Observational Cohort Study. Diagnostics 2023, 13, 31. [Google Scholar] [CrossRef]
- Gawade, S.M.; Lakhani, R.; Patil, Y. A Descriptive Study to Measure the Reliability of Braden Scale Score Calculated by Clinical Nurses and Evaluate Its Predictive Value for Pressure Ulcer Risk among ICU Patients. J. Pharm. Res. Int. 2021, 33, 57–63. [Google Scholar] [CrossRef]









| Phase 1 (n = 15,889) | Target | If HAPI Developed or Not | |
| Distribution of Phase 1 | Non-HAPI | HAPI | |
| Number of Patients | 15,404 (97%) | 485 (3%) | |
| Phase 2 (n = 485) | Target | When HAPI developed for patients with HAPI | |
| Distribution of Phase 2 | 0–7 days (High-Risk) | >7 days (Medium Risk) | |
| Number of Patients | 136 patients (28%) | 349 patients (72%) | |
| Predicted HAPI | |||
| Non-HAPI (0) | HAPI (1) | ||
| Actual HAPI | Non-HAPI (0) | TN | FP |
| HAPI (1) | FN | TP | |
| Models | 80% Training (10-Fold Cross-Validation) | 20% Testing | ||||||||
|---|---|---|---|---|---|---|---|---|---|---|
| Sensitivity | AUC | G-mean | FPR | Sensitivity | AUC | G-Mean | FPR | |||
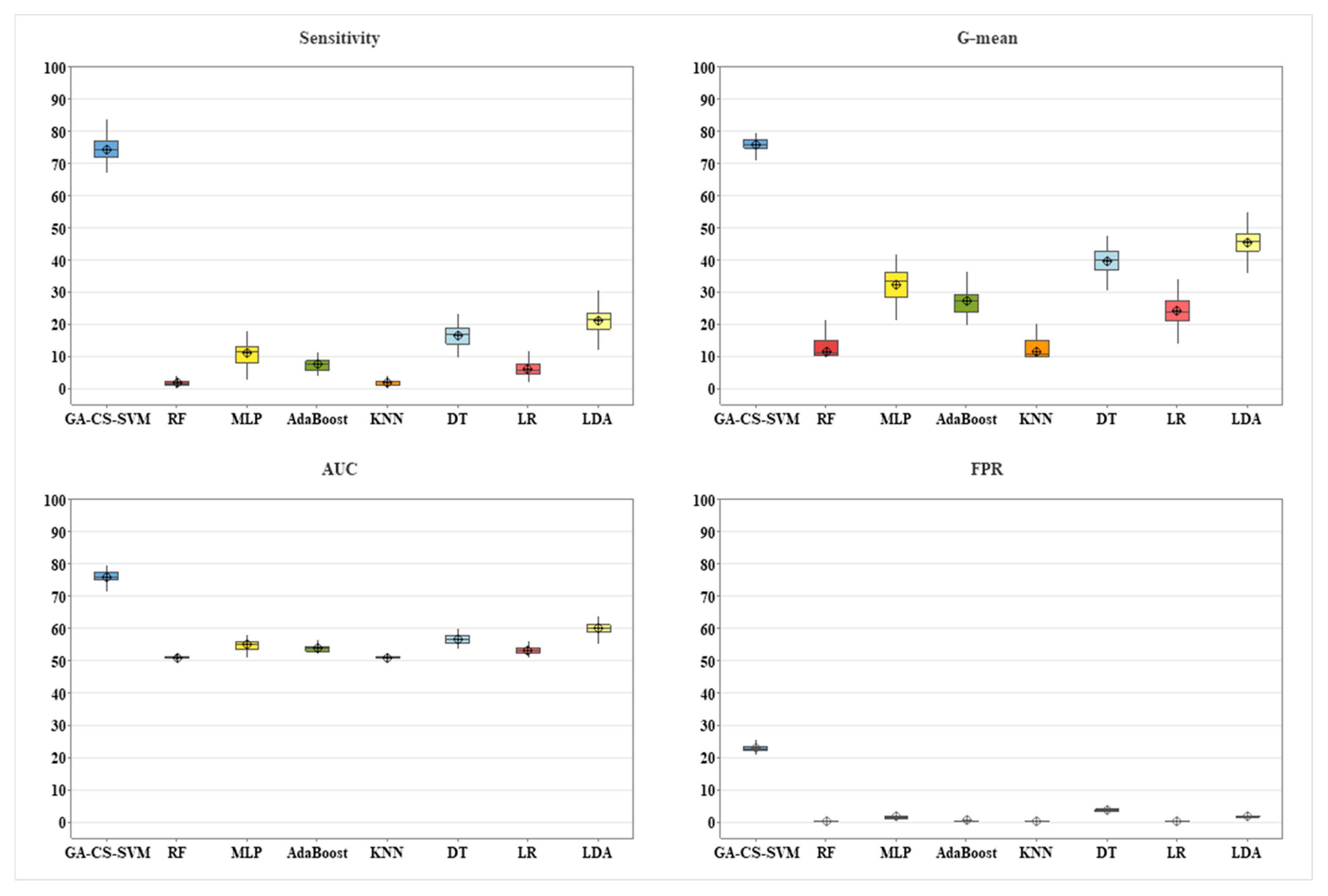
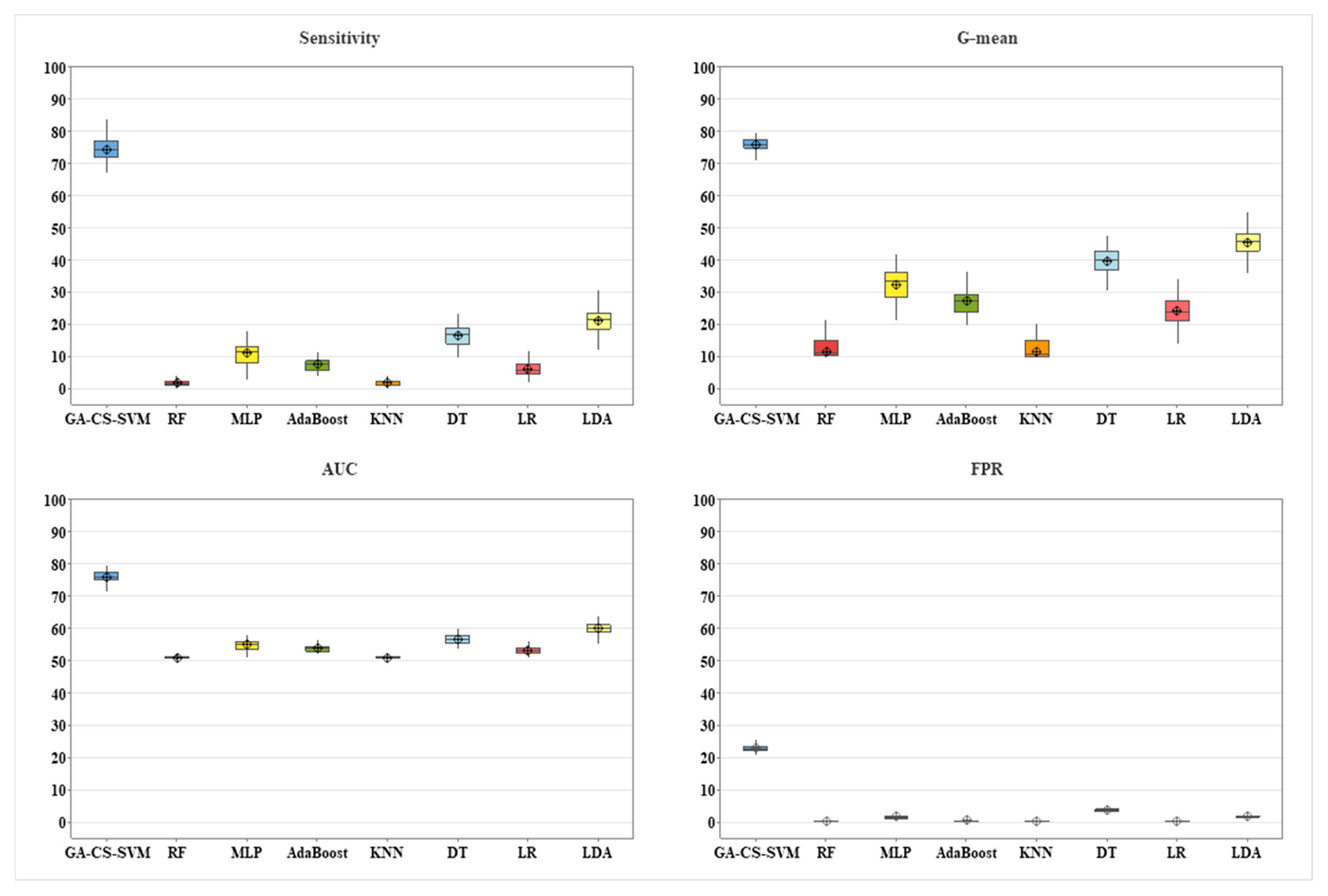
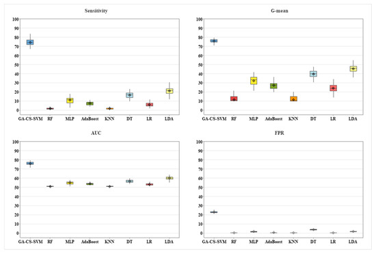
| Proposed Approach | GA-CS-SVM | Mean | 74.06 | 75.67 | 75.65 | 22.71 | 74.29 | 75.79 | 75.73 | 22.71 |
| * CL | 0.45 | 0.20 | 0.21 | 0.15 | 1.23 | 0.58 | 0.59 | 0.37 | ||
| Other Algorithms | SVM | Mean | 0.01 | 50.00 | 0.10 | 0.01 | 0.01 | 50.00 | 0.10 | 0.01 |
| CL | 0.01 | 0.00 | 0.20 | 0.00 | 0.01 | 0.00 | 0.20 | 0.00 | ||
| LR | Mean | 6.55 | 53.19 | 25.45 | 0.16 | 5.87 | 52.86 | 23.83 | 0.15 | |
| CL | 0.33 | 0.16 | 0.67 | 0.01 | 0.56 | 0.28 | 1.17 | 0.02 | ||
| AdaBoost | Mean | 8.40 | 54.05 | 28.88 | 0.29 | 7.41 | 53.55 | 26.88 | 0.30 | |
| CL | 0.31 | 0.15 | 0.54 | 0.01 | 0.60 | 0.30 | 1.10 | 0.03 | ||
| LDA | Mean | 20.67 | 59.57 | 45.11 | 1.53 | 21.01 | 59.74 | 45.30 | 1.54 | |
| CL | 0.25 | 0.13 | 0.27 | 0.02 | 1.02 | 0.51 | 1.12 | 0.06 | ||
| KNN | Mean | 1.49 | 50.68 | 11.87 | 0.13 | 1.66 | 50.77 | 11.12 | 0.13 | |
| CL | 0.17 | 0.08 | 0.78 | 0.01 | 0.41 | 0.21 | 1.80 | 0.02 | ||
| DT | Mean | 16.33 | 56.38 | 39.62 | 3.57 | 16.25 | 56.33 | 39.38 | 3.60 | |
| CL | 0.49 | 0.25 | 0.60 | 0.05 | 0.89 | 0.45 | 1.11 | 0.12 | ||
| RF | Mean | 1.68 | 50.79 | 12.71 | 0.09 | 1.63 | 50.78 | 11.30 | 0.08 | |
| CL | 0.18 | 0.09 | 0.71 | 0.01 | 0.35 | 0.18 | 1.65 | 0.01 | ||
| MLP | Mean | 54.72 | 54.72 | 73.41 | 1.50 | 10.83 | 54.67 | 32.19 | 1.48 | |
| CL | 0.20 | 0.20 | 0.13 | 0.04 | 0.95 | 0.45 | 1.52 | 0.11 | ||
| Balancing Methods | RO | Mean | 93.43 | 89.00 | 88.87 | 15.43 | 61.57 | 73.01 | 68.56 | 15.55 |
| CL | 0.36 | 0.78 | 0.79 | 1.27 | 5.14 | 2.14 | 5.63 | 1.84 | ||
| SMOTE | Mean | 96.76 | 98.38 | 98.36 | 0.01 | 0.10 | 50.05 | 1.02 | 0.01 | |
| CL | 0.02 | 0.01 | 0.01 | 0.00 | 0.92 | 0.04 | 0.84 | 0.00 | ||
| Performance | ANOVA | t-test | ||||
|---|---|---|---|---|---|---|
| All Methods (Figure 6) | GA-CS-SVM vs. SVM (Figure 5) | GA-CS-SVM vs. RO (Figure 7) | ||||
| F-Value | p-Value | T-Statistic | p-Value | T-Statistic | p-Value | |
| Sensitivity | 811.49 | 0.00 | −117.41 | 0.00 | 4.65 | 0.00 |
| AUC | 628.32 | 0.00 | −85.72 | 0.00 | 2.63 | 0.01 |
| G-mean | 486.17 | 0.00 | −234.73 | 0.00 | 7.17 | 0.02 |
| FPR | 1302.70 | 0.00 | −119.26 | 0.00 | 10.38 | 0.00 |
| Models | Training | LOOCV | |||||||
|---|---|---|---|---|---|---|---|---|---|
| Sensitivity | AUC | G-Mean | FPR | Sensitivity | AUC | G-Mean | FPR | ||
| Proposed Approach | GS-SVM | 80.00 | 79.29 | 79.28 | 21.43 | 75.56 | 75.06 | 75.06 | 25.43 |
| Other Algorithms | SVM | 53.33 | 69.10 | 67.27 | 15.14 | 59.26 | 72.49 | 71.27 | 14.29 |
| LR | 54.81 | 73.55 | 71.12 | 7.71 | 44.44 | 66.79 | 62.94 | 10.86 | |
| AdaBoost | 54.07 | 72.61 | 70.20 | 8.86 | 42.22 | 64.54 | 60.56 | 13.14 | |
| LDA | 56.30 | 72.72 | 70.84 | 10.86 | 49.63 | 68.39 | 65.76 | 12.86 | |
| KNN | 51.11 | 73.41 | 69.94 | 4.29 | 35.56 | 63.21 | 56.84 | 9.14 | |
| DT | 100.00 | 100.00 | 100.00 | 0.00 | 45.19 | 63.45 | 60.76 | 18.3 | |
| RF | 100.00 | 100.00 | 100.00 | 0.00 | 45.93 | 69.39 | 65.39 | 7.10 | |
| MLP | 82.96 | 89.77 | 89.51 | 17.04 | 44.44 | 65.51 | 62.03 | 13.43 | |
| Balancing Methods | RO | 100.00 | 95.14 | 95.05 | 9.71 | 94.29 | 86.00 | 85.60 | 22.29 |
| SMOTE | 92.00 | 93.14 | 93.14 | 5.71 | 86.00 | 84.79 | 84.56 | 16.86 | |
Disclaimer/Publisher’s Note: The statements, opinions and data contained in all publications are solely those of the individual author(s) and contributor(s) and not of MDPI and/or the editor(s). MDPI and/or the editor(s) disclaim responsibility for any injury to people or property resulting from any ideas, methods, instructions or products referred to in the content. |
© 2023 by the authors. Licensee MDPI, Basel, Switzerland. This article is an open access article distributed under the terms and conditions of the Creative Commons Attribution (CC BY) license (https://creativecommons.org/licenses/by/4.0/).
Share and Cite
Dweekat, O.Y.; Lam, S.S.; McGrath, L. An Integrated System of Multifaceted Machine Learning Models to Predict If and When Hospital-Acquired Pressure Injuries (Bedsores) Occur. Int. J. Environ. Res. Public Health 2023, 20, 828. https://doi.org/10.3390/ijerph20010828
Dweekat OY, Lam SS, McGrath L. An Integrated System of Multifaceted Machine Learning Models to Predict If and When Hospital-Acquired Pressure Injuries (Bedsores) Occur. International Journal of Environmental Research and Public Health. 2023; 20(1):828. https://doi.org/10.3390/ijerph20010828
Chicago/Turabian StyleDweekat, Odai Y., Sarah S. Lam, and Lindsay McGrath. 2023. "An Integrated System of Multifaceted Machine Learning Models to Predict If and When Hospital-Acquired Pressure Injuries (Bedsores) Occur" International Journal of Environmental Research and Public Health 20, no. 1: 828. https://doi.org/10.3390/ijerph20010828
APA StyleDweekat, O. Y., Lam, S. S., & McGrath, L. (2023). An Integrated System of Multifaceted Machine Learning Models to Predict If and When Hospital-Acquired Pressure Injuries (Bedsores) Occur. International Journal of Environmental Research and Public Health, 20(1), 828. https://doi.org/10.3390/ijerph20010828

