An Integrated System of Braden Scale and Random Forest Using Real-Time Diagnoses to Predict When Hospital-Acquired Pressure Injuries (Bedsores) Occur
Abstract
1. Introduction
2. Contributions
- Research studies have predicted who will develop HAPIs or predicted HAPI stages. However, no studies have investigated when HAPIs happen for predicted at-risk patients by considering the changes in the status of patients from admission until HAPI occurrence.
- Predicting who will develop HAPIs provides incomplete information for the clinical team because knowing who will develop HAPIs does not help differentiate the severity of those predicted patients.
- This research aims to develop a hybrid random forest, grid search, and Braden Scale integrated system to predict when the patient will develop HAPI to provide early intervention for the highest-risk patients.
- This research is the first study that predicts when HAPIs occur by considering the changes in the status of patients from admission until HAPI occurrence.
- This research prioritizes who is likely to develop HAPIs at a specific point in time (high risk) and it helps with better staff planning to provide intervention for high-risk patients.
- This research measures the financial impact of the proposed model.
3. Research Methodology
3.1. Study Design and Setting
3.2. Data Source
3.3. Variables
3.4. Model Development
| Algorithm 1. Pseudocode for Random Forest Algorithm [49]. |
| To generate classifiers: for to do Randomly sample the training data with replacement to produce Create a root node, that contains Call Build Tree () end for Build Tree(N): if contains instances of only one class then return else Randomly select x% of the possible splitting features in Select the variable with the highest information gain to split on Create child nodes of , where has possible values for to do Set the contents of to , where is all instances in that match Call Build Tree () end for end if |
3.5. Performance Metrics
4. Results
5. Discussion
6. Conclusions and Future Work
Author Contributions
Funding
Institutional Review Board Statement
Informed Consent Statement
Data Availability Statement
Acknowledgments
Conflicts of Interest
References
- National Pressure Injury Advisory Panel (NPIAP) Pressure Injury Fact Sheet. Available online: https://npiap.com/store/viewproduct.aspx?id=14427618 (accessed on 12 November 2022).
- Kottner, J.; Cuddigan, J.; Carville, K.; Balzer, K.; Berlowitz, D.; Law, S.; Litchford, M.; Mitchell, P.; Moore, Z.; Pittman, J.; et al. Prevention and Treatment of Pressure Ulcers/Injuries: The Protocol for the Second Update of the International Clinical Practice Guideline 2019. J. Tissue Viability 2019, 28, 51–58. [Google Scholar] [CrossRef]
- Jansen, R.C.S.; Silva, K.B.D.A.; Moura, M.E.S. Braden Scale in Pressure Ulcer Risk Assessment. Rev. Bras. Enferm. 2020, 73, e20190413. [Google Scholar] [CrossRef] [PubMed]
- Wei, M.; Wu, L.; Chen, Y.; Fu, Q.; Chen, W.; Yang, D. Predictive Validity of the Braden Scale for Pressure Ulcer Risk in Critical Care: A Meta-Analysis. Nurs. Crit. Care 2020, 25, 165–170. [Google Scholar] [CrossRef]
- Gaspar, S.; Peralta, M.; Budri, A.; Ferreira, C.; Gaspar de Matos, M. Pressure Ulcer Risk Profiles of Hospitalized Patients Based on the Braden Scale: A Cluster Analysis. Int. J. Nurs. Pract. 2022, 28, e13038. [Google Scholar] [CrossRef]
- Ribeiro, F.; Fidalgo, F.; Silva, A.; Metrôlho, J.; Santos, O.; Dionisio, R. Literature Review of Machine-Learning Algorithms for Pressure Ulcer Prevention: Challenges and Opportunities. Informatics 2021, 8, 76. [Google Scholar] [CrossRef]
- Jiang, M.; Ma, Y.; Guo, S.; Jin, L.; Lv, L.; Han, L.; An, N. Using Machine Learning Technologies in Pressure Injury Management: Systematic Review. JMIR Med. Inform. 2021, 9, e25704. [Google Scholar] [CrossRef] [PubMed]
- Dweekat, O.Y.; Lam, S.S.; Mcgrath, L. Machine Learning Techniques, Applications, and Potential Future Opportunities in Pressure Injuries (Bedsores) Management: A Systematic Review. Int. J. Environ. Res. Public Health 2023, 20, 796. [Google Scholar] [CrossRef] [PubMed]
- Dweekat, O.Y.; Lam, S.S.; McGrath, L. An Integrated System of Multifaceted Machine Learning Models to Predict If and When Hospital-Acquired Pressure Injuries (Bedsores) Occur. Int. J. Environ. Res. Public Health 2023, 20, 828. [Google Scholar] [CrossRef] [PubMed]
- Nakagami, G.; Yokota, S.; Kitamura, A.; Takahashi, T.; Morita, K.; Noguchi, H.; Ohe, K.; Sanada, H. Supervised Machine Learning-Based Prediction for in-Hospital Pressure Injury Development Using Electronic Health Records: A Retrospective Observational Cohort Study in a University Hospital in Japan. Int. J. Nurs. Stud. 2021, 119, 103932. [Google Scholar] [CrossRef]
- Walther, F.; Heinrich, L.; Dresden, T.U.; Schmitt, J.; Roessler, M. Prediction of Inpatient Pressure Ulcers Based on Routine Healthcare Data Using Machine Learning Methodology. Sci. Rep. 2021, 12, 5044. [Google Scholar] [CrossRef]
- Song, W.; Kang, M.J.; Zhang, L.; Jung, W.; Song, J.; Bates, D.W.; Dykes, P.C. Predicting Pressure Injury Using Nursing Assessment Phenotypes and Machine Learning Methods. J. Am. Med. Inform. Assoc. 2021, 28, 759–765. [Google Scholar] [CrossRef] [PubMed]
- Alderden, J.; Drake, K.P.; Wilson, A.; Dimas, J.; Cummins, M.R.; Yap, T.L. Hospital Acquired Pressure Injury Prediction in Surgical Critical Care Patients. BMC Med. Inform. Decis. Mak. 2021, 21, 12. [Google Scholar] [CrossRef]
- Anderson, C.; Bekele, Z.; Qiu, Y.; Tschannen, D.; Dinov, I.D. Modeling and Prediction of Pressure Injury in Hospitalized Patients Using Artificial Intelligence. BMC Med. Inform. Decis. Mak. 2021, 21, 253. [Google Scholar] [CrossRef] [PubMed]
- Ossai, C.I.; O’Connor, L.; Wickramasighe, N. Real-Time Inpatients Risk Profiling in Acute Care: A Comparative Study of Falls and Pressure Injuries Vulnerabilities; University of Maribor: Maribor, Slovenia, 2021; pp. 35–50. [Google Scholar]
- Hu, Y.H.; Lee, Y.L.; Kang, M.F.; Lee, P.J. Constructing Inpatient Pressure Injury Prediction Models Using Machine Learning Techniques. CIN Comput. Inform. Nurs. 2020, 38, 415–423. [Google Scholar] [CrossRef] [PubMed]
- Vyas, K.; Samadani, A.; Milosevic, M.; Ostadabbas, S.; Parvaneh, S. Additional Value of Augmenting Current Subscales in Braden Scale with Advanced Machine Learning Technique for Pressure Injury Risk Assessment. In Proceedings of the 2020 IEEE International Conference on Bioinformatics and Biomedicine, BIBM 2020, Seoul, Republic of Korea, 16–19 December 2020; Institute of Electrical and Electronics Engineers Inc.: New York City, NY, USA, 2020; pp. 2993–2995. [Google Scholar]
- Jin, Y.; Jin, T.; Lee, S.M. Automated Pressure Injury Risk Assessment System Incorporated into an Electronic Health Record System. Nurs. Res. 2017, 66, 462–472. [Google Scholar] [CrossRef]
- Alderden, J.; Pepper, G.A.; Wilson, A.; Whitney, J.D.; Richardson, S.; Butcher, R.; Jo, Y.; Cummins, M.R. Predicting Pressure Injury in Critical Care Patients: A Machinelearning Model. Am. J. Crit. Care 2018, 27, 461–468. [Google Scholar] [CrossRef]
- Deng, X.; Yu, T.; Hu, A. Predicting the Risk for Hospital-Acquired Pressure Ulcers in Critical Care Patients. Crit. Care Nurse 2017, 37, e1–e11. [Google Scholar] [CrossRef]
- Ladios-Martin, M.; Fernández-De-Maya, J.; Ballesta-López, F.J.; Belso-Garzas, A.; Mas-Asencio, M.; Cabañero-Martínez, M.J. Predictive Modeling of Pressure Injury Risk in Patients Admitted to an Intensive Care Unit. Am. J. Crit. Care 2020, 29, e70–e80. [Google Scholar] [CrossRef]
- Cramer, E.M.; Seneviratne, M.G.; Sharifi, H.; Ozturk, A.; Hernandez-Boussard, T. Predicting the Incidence of Pressure Ulcers in the Intensive Care Unit Using Machine Learning. Egems (Gener. Evid. Methods Improv. Patient Outcomes) 2019, 7, 49. [Google Scholar] [CrossRef]
- Gao, L.; Yang, L.; Li, X.; Chen, J.; Du, J.; Bai, X.; Yang, X. The Use of a Logistic Regression Model to Develop a Risk Assessment of Intraoperatively Acquired Pressure Ulcer. J. Clin. Nurs. 2018, 27, 2984–2992. [Google Scholar] [CrossRef]
- Ahmad, M.A.; Larson, B.; Overman, S.; Kumar, V.; Xie, J.; Rossington, A.; Patel, A.; Teredesai, A. Machine Learning Approaches for Pressure Injury Prediction. In Proceedings of the 2021 IEEE 9th International Conference on Healthcare Informatics, ISCHI 2021, Victoria, BC, Canada, 9–12 August 2021; Institute of Electrical and Electronics Engineers Inc.: New York City, NY, USA, 2021; pp. 427–431. [Google Scholar]
- Song, J.; Gao, Y.; Yin, P.; Li, Y.; Li, Y.; Zhang, J.; Su, Q.; Fu, X.; Pi, H. The Random Forest Model Has the Best Accuracy among the Four Pressure Ulcer Prediction Models Using Machine Learning Algorithms. Risk Manag. Health Policy 2021, 14, 1175–1187. [Google Scholar] [CrossRef]
- Chen, Y.-C.; Wang, P.-C.; Su, C.-T. Pressure Ulcers Prediction Using Support Vector Machines. In Proceedings of the 2008 4th International Conference on Wireless Communications, Networking and Mobile Computing, Dalian, China, 12–17 October 2008; IEEE: New York City, NY, USA, 2008; pp. 1–4. [Google Scholar]
- Su, C.T.; Wang, P.C.; Chen, Y.C.; Chen, L.F. Data Mining Techniques for Assisting the Diagnosis of Pressure Ulcer Development in Surgical Patients. J. Med. Syst. 2012, 36, 2387–2399. [Google Scholar] [CrossRef] [PubMed]
- Li, H.L.; Lin, S.W.; Hwang, Y.T. Using Nursing Information and Data Mining to Explore the Factors That Predict Pressure Injuries for Patients at the End of Life. CIN Comput. Inform. Nurs. 2019, 37, 133–141. [Google Scholar] [CrossRef] [PubMed]
- Cichosz, S.L.; Voelsang, A.B.; Tarnow, L.; Hasenkam, J.M.; Fleischer, J. Prediction of In-Hospital Pressure Ulcer Development. Adv. Wound Care (New Rochelle) 2019, 8, 1–6. [Google Scholar] [CrossRef] [PubMed]
- Šín, P.; Hokynková, A.; Marie, N.; Andrea, P.; Krč, R.; Podroužek, J. Machine Learning-Based Pressure Ulcer Prediction in Modular Critical Care Data. Diagnostics 2022, 12, 850. [Google Scholar] [CrossRef] [PubMed]
- Xu, J.; Chen, D.; Deng, X.; Pan, X.; Chen, Y.; Zhuang, X.; Sun, C. Development and Validation of a Machine Learning Algorithm–Based Risk Prediction Model of Pressure Injury in the Intensive Care Unit. Int. Wound J. 2022, 19, 1637–1649. [Google Scholar] [CrossRef]
- Do, Q.; Lipatov, K.; Ramar, K.; Rasmusson, J.; Pickering, B.W.; Herasevich, V. Pressure Injury Prediction Model Using Advanced Analytics for At-Risk Hospitalized Patients. J. Patient Saf. 2022, 18, e1083–e1089. [Google Scholar] [CrossRef]
- Kaewprag, P.; Newton, C.; Vermillion, B.; Hyun, S.; Huang, K.; Machiraju, R. Predictive Models for Pressure Ulcers from Intensive Care Unit Electronic Health Records Using Bayesian Networks. BMC Med. Inform. Decis. Mak. 2017, 17, 81–91. [Google Scholar] [CrossRef]
- Hyun, S.; Moffatt-Bruce, S.; Cooper, C.; Hixon, B.; Kaewprag, P. Prediction Model for Hospital-Acquired Pressure Ulcer Development: Retrospective Cohort Study. JMIR Med. Inform. 2019, 7, e13785. [Google Scholar] [CrossRef]
- Borlawsky, T.; Hripcsak, G. Evaluation of an Automated Pressure Ulcer Risk Assessment Model. Home Health Care Manag. Pract. 2007, 19, 272–284. [Google Scholar] [CrossRef]
- Levy, J.J.; Lima, J.F.; Miller, M.W.; Freed, G.L.; James O’Malley, A.; Emeny, R.T. Investigating the Potential for Machine Learning Prediction of Patient Outcomes: A Retrospective Study of Hospital Acquired Pressure Injuries. medRxiv 2020. [Google Scholar] [CrossRef]
- Setoguchi, Y.; Ghaibeh, A.A.; Mitani, K.; Abe, Y.; Hashimoto, I.; Moriguchi, H. Predictability of Pressure Ulcers Based on Operation Duration, Transfer Activity, and Body Mass Index Through the Use of an Alternating Decision Tree. J. Med. Investig. 2016, 63, 248–255. [Google Scholar] [CrossRef]
- Cheng, F.M.; Jin, Y.J.; Chien, C.W.; Chuang, Y.C.; Tung, T.H. The Application of Braden Scale and Rough Set Theory for Pressure Injury Risk in Elderly Male Population. J. Mens. Health 2021, 17, 156–165. [Google Scholar] [CrossRef]
- Wang, Y.; Jiang, X.; Yu, K.; Shi, F.; Qin, L.; Zhou, H.; Cai, F. Infrared Thermal Images Classification for Pressure Injury Prevention Incorporating the Convolutional Neural Networks. IEEE Access 2021, 9, 15181–15190. [Google Scholar] [CrossRef]
- Ay, B.; Tasar, B.; Utlu, Z.; Ay, K.; Aydin, G. Deep Transfer Learning-Based Visual Classification of Pressure Injuries Stages. Neural Comput. Appl. 2022, 34, 16157–16168. [Google Scholar] [CrossRef]
- Fergus, P.; Chalmers, C.; Henderson, W.; Roberts, D.; Waraich, A. Pressure Ulcer Categorisation Using Deep Learning: A Clinical Trial to Evaluate Model Performance. arXiv 2022, arXiv:2203.06248. [Google Scholar]
- Liu, T.J.; Christian, M.; Chu, Y.C.; Chen, Y.C.; Chang, C.W.; Lai, F.; Tai, H.C. A Pressure Ulcers Assessment System for Diagnosis and Decision Making Using Convolutional Neural Networks. J. Formos. Med. Assoc. 2022, 121, 2227–2236. [Google Scholar] [CrossRef]
- Yilmaz, A.; Kızıl, H.; Kaya, U.; Çakır, R.; Demiral, M. Prediction and Classification of Pressure Injuries by Deep Learning. Health Probl. Civiliz. 2021, 15, 328–335. [Google Scholar] [CrossRef]
- Yilmaz, B.; Atagun, E.; Demircan, F.O.; Yucedag, I. Classification of Pressure Ulcer Images with Logistic Regression. In Proceedings of the 2021 International Conference on INnovations in Intelligent SysTems and Applications, INISTA 2021, Kocaeli, Turkey, 25–27 August 2021; Institute of Electrical and Electronics Engineers Inc.: New York City, NY, USA, 2021. [Google Scholar]
- Matsumoto, M.; Karube, M.; Nakagami, G.; Kitamura, A.; Tamai, N.; Miura, Y.; Kawamoto, A.; Kurita, M.; Miyake, T.; Hayashi, C.; et al. Development of an Automatic Ultrasound Image Classification System for Pressure Injury Based on Deep Learning. Appl. Sci. 2021, 11, 7817. [Google Scholar] [CrossRef]
- Dweekat, O.Y.; Lam, S.S.; McGrath, L. A Hybrid System of Braden Scale and Machine Learning to Predict Hospital-Acquired Pressure Injuries (Bedsores): A Retrospective Observational Cohort Study. Diagnostics 2023, 13, 31. [Google Scholar] [CrossRef] [PubMed]
- Breiman, L. Random Forests. Mach. Learn. 2001, 45, 5–32. [Google Scholar] [CrossRef]
- Biau, G.; Scornet, E. A Random Forest Guided Tour. Test 2016, 25, 197–227. [Google Scholar] [CrossRef]
- Guo, H.; Nguyen, H.; Vu, D.A.; Bui, X.N. Forecasting Mining Capital Cost for Open-Pit Mining Projects Based on Artificial Neural Network Approach. Resour. Policy 2021, 74, 101474. [Google Scholar] [CrossRef]
- Probst, P.; Wright, M.N.; Boulesteix, A.L. Hyperparameters and Tuning Strategies for Random Forest. Wiley Interdiscip Rev. Data Min. Knowl. Discov. 2019, 9, e1301. [Google Scholar] [CrossRef]
- Dweekat, O.Y.; Lam, S.S.; Alders, V.; Alkhawaldeh, R.; Lu, W.; Wadhawa, T.; Jarrold, K. Addressing Cancer Readmission Prediction Model Drift: A Case Study. In Proceedings of the IISE Annual Conference and Expo 2022, Seattle, WA, USA, 21–24 May 2022; pp. 43–2011282. Available online: https://search.bvsalud.org/global-literature-on-novel-coronavirus-2019-ncov/resource/ca/covidwho-2011282 (accessed on 11 December 2022).
- Yap, T.L.; Horn, S.D.; Sharkey, P.D.; Zheng, T.; Bergstrom, N.; Colon-Emeric, C.; Sabol, V.K.; Alderden, J.; Yap, W.; Kennerly, S.M. Effect of Varying Repositioning Frequency on Pressure Injury Prevention in Nursing Home Residents: TEAM-UP Trial Results. Adv. Skin Wound Care 2022, 35, 315–325. [Google Scholar] [CrossRef]
- Buğdaycı, D.S.; Paker, N. Is Repositioning Effective for Pressure Injury Prevention in Adults? A Cochrane Review Summary with Commentary. Turk. J. Phys. Med. Rehabil. 2021, 67, 526. [Google Scholar] [CrossRef]
- Gillespie, B.M.; Walker, R.M.; Latimer, S.L.; Thalib, L.; Whitty, J.A.; McInnes, E.; Chaboyer, W.P. Repositioning for Pressure Injury Prevention in Adults. Cochrane Database Syst. Rev. 2020, 6, CD009958. [Google Scholar] [CrossRef]
- Wadhera, R.K.; Choi, E.; Shen, C.; Yeh, R.W.; Joynt Maddox, K.E. Trends, Causes, and Outcomes of Hospitalizations for Homeless Individuals. Med. Care 2019, 57, 21–27. [Google Scholar] [CrossRef]









| Risk Factors | Labs | Demographics | Medical | Assessments | Medications | Diagnosis | Medical Devices |
|---|---|---|---|---|---|---|---|
| Additional Risk Factors | Albumin | Age | Visiting Transitional Unit During Hospitalization | Blood Pressure Systolic | Opioids | Comorbidity | Artificial Air Management |
| Blood Urea Nitrogen (BUN) | Ethnic Group | American Society of Anesthesiologists (ASA) Score | Blood Pressure Diastolic | Steroid Use | Depression | Face Mask | |
| C-reactive Protein | Race | Steroid History | BMI (Body Mass Index) | Stimuli Anesthesia | Diabetes | Nasal Cannula | |
| Creatine Serum | Sex | Number of Surgeries | Count of Glasgow Coma Score (GCS) Comment | Stimuli Paralytics | Pressure Injury on Admission | Noninvasive Ventilation | |
| Hemoglobin | Palliative Orders | Glasgow Coma Score | Stimuli Sedation | Renal Failure | Pharyngeal | ||
| High MAP (Mean Arterial Pressure) | Number of Pressure Injuries | Weight Loss | Stimuli Tracheostomy | Sepsis Diagnosis | Room Air | ||
| Lactate | Visiting ICU During Hospitalization (i.e., ICU During Encounter) | Patient Refusal to Change Position | Vasopressor | Stroke History | Ventilator | ||
| Sodium | Prior Year Inpatient Visit Counter | Pulse Oximetry | Feeding Tube | ||||
| Length-of-stay at Emergency Department | Skin Abnormality on Admission | ||||||
| Body Temperature | |||||||
| Modifiable Risk Factors (Braden Scale) | Overall Braden Scale, Braden Six Subscales (Sensory Perception, Skin Moisture, Activity Status, Mobility Status, Nutrition Status, and Friction, and Shear Status) |
| Category | All Records | 0–7 days (High Risk) | >7 days (Medium Risk) |
|---|---|---|---|
| Number of Records (%) | 4619 (100%) | 1698 (36.76%) | 2921 (63.24%) |
| Predicted HAPI Time | |||
|---|---|---|---|
| Medium Risk | High Risk | ||
| Actual HAPI Time | Medium Risk | TN | FP |
| High Risk | FN | TP | |
| Models | 80% Training (10-Fold Cross-Validation) | 20% Testing | ||||||||
|---|---|---|---|---|---|---|---|---|---|---|
| Sensitivity | AUC | G-mean | FPR | Sensitivity | AUC | G-mean | FPR | |||
| Proposed Approach | GS-RF | Mean | 89.08 | 91.23 | 91.20 | 6.62 | 89.33 | 91.20 | 91.17 | 6.94 |
| CL | 0.16 | 0.09 | 0.10 | 0.10 | 0.49 | 0.26 | 0.26 | 0.31 | ||
| Other Algorithms | RF | Mean | 87.27 | 90.55 | 90.49 | 6.16 | 87.16 | 90.34 | 90.28 | 6.48 |
| CL | 0.62 | 0.37 | 0.38 | 0.33 | 1.78 | 1.02 | 1.03 | 1.21 | ||
| MLP | Mean | 85.48 | 89.09 | 89.02 | 7.30 | 86.12 | 89.26 | 89.18 | 7.61 | |
| CL | 0.31 | 0.14 | 0.14 | 0.16 | 0.82 | 0.35 | 0.36 | 0.46 | ||
| AdaBoost | Mean | 48.22 | 66.44 | 63.88 | 15.35 | 48.70 | 66.71 | 64.20 | 15.28 | |
| CL | 0.38 | 0.18 | 0.24 | 0.17 | 0.74 | 0.35 | 0.46 | 0.40 | ||
| KNN | Mean | 78.66 | 83.74 | 83.59 | 11.17 | 78.25 | 83.40 | 83.23 | 11.44 | |
| CL | 0.30 | 0.17 | 0.18 | 0.15 | 0.69 | 0.34 | 0.36 | 0.39 | ||
| DT | Mean | 84.59 | 87.28 | 87.24 | 10.02 | 84.57 | 87.09 | 87.05 | 10.38 | |
| CL | 0.28 | 0.18 | 0.18 | 0.16 | 0.57 | 0.32 | 0.32 | 0.34 | ||
| LR | Mean | 51.64 | 68.19 | 66.14 | 15.26 | 52.43 | 68.48 | 66.55 | 15.47 | |
| CL | 0.34 | 0.15 | 0.20 | 0.15 | 0.65 | 0.32 | 0.38 | 0.47 | ||
| SVM | Mean | 46.75 | 68.88 | 65.21 | 8.99 | 47.53 | 69.20 | 65.69 | 9.12 | |
| CL | 0.45 | 0.19 | 0.28 | 0.19 | 0.65 | 0.34 | 0.44 | 0.38 | ||
| LDA | Mean | 51.53 | 68.02 | 65.99 | 15.49 | 52.45 | 68.35 | 66.45 | 15.75 | |
| CL | 0.34 | 0.16 | 0.20 | 0.15 | 0.61 | 0.32 | 0.37 | 0.44 | ||
| Performance | ANOVA | t-Test | ||||
|---|---|---|---|---|---|---|
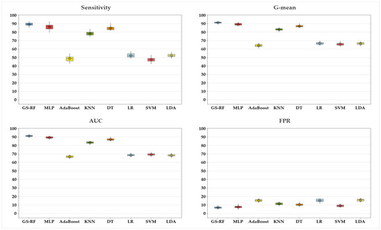
| All Methods (Figure 4) | GS-RF vs. RF (Figure 5) | GS-RF vs. MLP (Figure 6) | ||||
| F-Value | p-Value | T-Statistic | p-Value | T-Statistic | p-Value | |
| Sensitivity | 3026.42 | 0.000 | −6.07 | 0.000 | 6.50 | 0.000 |
| AUC | 4068.01 | 0.000 | −4.36 | 0.000 | 8.74 | 0.000 |
| G-mean | 3860.58 | 0.000 | −4.48 | 0.000 | 8.73 | 0.000 |
| FPR | 302.94 | 0.000 | −1.96 | 0.053 | −2.34 | 0.022 |
| Prevention Actions Cost per Patient * | Patients Required for Prevention Actions per Day Based on the Detection Prevalence | Savings per Day (Number of Patients) | Savings per Year ($) | |
|---|---|---|---|---|
| Without the Timing Model, Detection Prevalence is 100% | With the Timing Model (GS-RF) Detection Prevalence (36.23 ± 0.36) | |||
| $50 per patient per day | 100 | 35–37 | 63–65 | 1,149,750–1,186,250 |
| $75 per patient per day | 100 | 35–37 | 63–65 | 1,724,625–1,779,375 |
| $100 per patient per day | 100 | 35–37 | 63–65 | 2,299,500–2,372,500 |
Disclaimer/Publisher’s Note: The statements, opinions and data contained in all publications are solely those of the individual author(s) and contributor(s) and not of MDPI and/or the editor(s). MDPI and/or the editor(s) disclaim responsibility for any injury to people or property resulting from any ideas, methods, instructions or products referred to in the content. |
© 2023 by the authors. Licensee MDPI, Basel, Switzerland. This article is an open access article distributed under the terms and conditions of the Creative Commons Attribution (CC BY) license (https://creativecommons.org/licenses/by/4.0/).
Share and Cite
Dweekat, O.Y.; Lam, S.S.; McGrath, L. An Integrated System of Braden Scale and Random Forest Using Real-Time Diagnoses to Predict When Hospital-Acquired Pressure Injuries (Bedsores) Occur. Int. J. Environ. Res. Public Health 2023, 20, 4911. https://doi.org/10.3390/ijerph20064911
Dweekat OY, Lam SS, McGrath L. An Integrated System of Braden Scale and Random Forest Using Real-Time Diagnoses to Predict When Hospital-Acquired Pressure Injuries (Bedsores) Occur. International Journal of Environmental Research and Public Health. 2023; 20(6):4911. https://doi.org/10.3390/ijerph20064911
Chicago/Turabian StyleDweekat, Odai Y., Sarah S. Lam, and Lindsay McGrath. 2023. "An Integrated System of Braden Scale and Random Forest Using Real-Time Diagnoses to Predict When Hospital-Acquired Pressure Injuries (Bedsores) Occur" International Journal of Environmental Research and Public Health 20, no. 6: 4911. https://doi.org/10.3390/ijerph20064911
APA StyleDweekat, O. Y., Lam, S. S., & McGrath, L. (2023). An Integrated System of Braden Scale and Random Forest Using Real-Time Diagnoses to Predict When Hospital-Acquired Pressure Injuries (Bedsores) Occur. International Journal of Environmental Research and Public Health, 20(6), 4911. https://doi.org/10.3390/ijerph20064911

