Acute Effects of Fitlight Training on Cognitive-Motor Processes in Young Basketball Players
Abstract
1. Introduction
2. Materials and Methods
2.1. Participants and Study Design
2.2. Experimental Procedures
2.3. Measurements
2.3.1. Agility T-Test
2.3.2. Yo-Yo Intermittent Recovery 1 (Yo-Yo IR1) Test
2.3.3. Physical Activity Enjoyment Scale (PACES)
2.3.4. Borg’s CR-10 Scale
2.3.5. Flanker/Reverse Flanker Task
2.3.6. Digit Span Task
2.4. Statistical Analysis
3. Results
3.1. Executive Functions
3.1.1. Flanker/Reverse Flanker Task
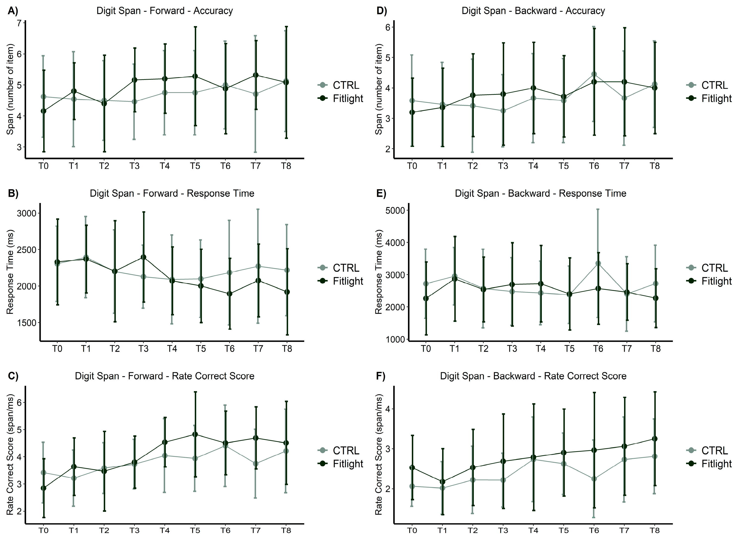
3.1.2. Forward- and Backward-Digit Span
3.2. Perceived Effort
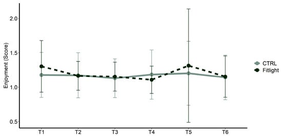
3.3. Session Enjoyment
3.4. Fitness Tests
4. Discussion
5. Conclusions
Author Contributions
Funding
Institutional Review Board Statement
Informed Consent Statement
Data Availability Statement
Conflicts of Interest
References
- Diamond, A. Executive Functions. Annu. Rev. Psychol. 2013, 64, 135–168. [Google Scholar] [CrossRef] [PubMed]
- Diamond, A. Close interrelation of motor development and cognitive development and of the cerebellum and prefrontal cortex. Child Dev. 2000, 71, 44–56. [Google Scholar] [CrossRef] [PubMed]
- Diamond, A. Activities and Programs That Improve Children’s Executive Functions. Curr. Dir. Psychol. Sci. 2012, 21, 335–341. [Google Scholar] [CrossRef]
- Kolovelonis, A.; Goudas, M. Acute enhancement of executive functions through cognitively challenging physical activity games in elementary physical education 2022. Eur. Phys. Educ. Rev. 2022, 1, 1–18. [Google Scholar] [CrossRef]
- Contreras-Osorio, F.; Guzmán-Guzmán, I.P.; Cerda-Vega, E.; Chirosa-Ríos, L.; Ramírez-Campillo, R.; Campos-Jara, C. Effects of the Type of Sports Practice on the Executive Functions of Schoolchildren. Int. J. Environ. Res. Public Health 2022, 19, 3886. [Google Scholar] [CrossRef]
- Contreras-osorio, F.; Campos-jara, C.; Cristian, M.-S.; Chirosa-Rios, L.; Martinez-Garcia, D. Effects of Sport-Based Interventions on Children’ s Executive Function: A Systematic Review and Meta-Analysis. Brain Sci. 2021, 11, 755. [Google Scholar] [CrossRef]
- Beavan, A.F.; Spielmann, J.; Mayer, J.; Skorski, S.; Meyer, T.; Fransen, J. Age-Related Differences in Executive Functions Within High-Level Youth Soccer Players. Braz. J. Mot. Behav. 2019, 13, 64–75. [Google Scholar] [CrossRef]
- Heilmann, F.; Memmert, D.; Weinberg, H.; Lautenbach, F. The relationship between executive functions and sports experience, relative age effect, as well as physical maturity in youth soccer players of different ages. Int. J. Sport Exerc. Psychol. 2022, 1, 1–19. [Google Scholar] [CrossRef]
- Waelle, S.; De Laureys, F.; Lenoir, M.; Bennett, S.J.; Deconinck, F.J.A. Children Involved in Team Sports Show Superior Executive Function Compared to Their Peers Involved in Self-Paced Sports. Children 2021, 8, 264. [Google Scholar] [CrossRef]
- Gu, Q.; Zou, L.; Loprinzi, P.D.; Quan, M.; Huang, T. Effects of Open Versus Closed Skill Exercise on Cognitive Function: A Systematic Review. Front. Psychol. 2019, 27, 1707. [Google Scholar] [CrossRef]
- Diamond, A. Effects of Physical Exercise on Executive Functions: Going beyond Simply Moving. Ann. Sport. Med. Res. 2015, 2, 1011. [Google Scholar]
- Formenti, D.; Trecroci, A.; Duca, M.; Cavaggioni, L.; Longo, S.; Alberti, G. Differences in inhibitory control and motor fitness in children practicing open and closed skill sports. Sci. Rep. 2021, 11, 4033. [Google Scholar] [CrossRef]
- Trecroci, A.; Duca, M.; Cavaggioni, L.; Rossi, A.; Scurati, R.; Longo, S.; Merati, G.; Alberti, G.; Formenti, D. Relationship between cognitive functions and sport-specific physical performance in youth volleyball players. Brain Sci. 2021, 11, 227. [Google Scholar] [CrossRef] [PubMed]
- Elferink-Gemser, M.T.; Faber, I.R.; Visscher, C.; Hung, T.; de Vries, S.G.; Nijhuis-Van der Sanden, M.W.G. Higher-level cognitive functions in Dutch elite and sub-elite table tennis players. PLoS ONE 2018, 13, e0206151. [Google Scholar] [CrossRef]
- Huijgen, B.; Leemhuis, S.; Kok, N.M.; Verburgh, L.; Oosterlaan, J.; Elferink-Gemser, M.T.; Visscher, C. Cognitive functions in elite and sub-elite youth soccer players aged 13 to 17 years. PLoS ONE 2015, 10, e0144580. [Google Scholar] [CrossRef] [PubMed]
- Ishihara, T.; Mizuno, M. Effects of tennis play on executive function in 6–11-year-old children: A 12-month longitudinal study. Eur. J. Sport Sci. 2018, 18, 741–752. [Google Scholar] [CrossRef]
- Ishihara, T.; Sugasawa, S.; Matsuda, Y.; Mizuno, M. Improved executive functions in 6-12-year-old children following cognitively engaging tennis lessons. J. Sports Sci. 2017, 35, 2014–2020. [Google Scholar] [CrossRef]
- Wang, J.G.; Cai, K.; Liu, Z.; Herold, F.; Zou, L.; Zhu, L.; Xiong, X.; Chen, A. Effects of mini-basketball training program on executive functions and core symptoms among preschool children with autism spectrum disorders. Brain Sci. 2020, 10, 263. [Google Scholar] [CrossRef]
- Heilmann, F.; Weinberg, H.; Wollny, R. The Impact of Practicing Open- vs. Closed-Skill Sports on Executive Functions-A Meta-Analytic and Systematic Review with a Focus on Characteristics of Sports. Brain Sci. 2022, 12, 1071. [Google Scholar] [CrossRef]
- Scanlan, A.T.; Tucker, P.S.; Dalbo, V.J. A comparison of linear speed, closed-skill agility, and open-skill agility qualities between backcourt and frontcourt adult semiprofessional male basketball players. J. Strength Cond. Res. 2014, 28, 1319–1327. [Google Scholar] [CrossRef]
- Chiu, Y.K.; Pan, C.Y.; Chen, F.C.; Tseng, Y.T.; Tsai, C.L. Behavioral and cognitive electrophysiological differences in the executive functions of taiwanese basketball players as a function of playing position. Brain Sci. 2020, 10, 387. [Google Scholar] [CrossRef]
- Heisler, S.M.; Lobinger, B.H.; Musculus, L. A developmental perspective on decision making in young soccer players: The role of executive functions. Psychol. Sport Exerc. 2023, 65, 102362. [Google Scholar] [CrossRef]
- Raab, M. Simple heuristics in sports. Int. Rev. Sport Exerc. Psychol. 2012, 5, 104–120. [Google Scholar] [CrossRef]
- Johnson, J.G.; Raab, M. Take The First: Option-generation and resulting choices. Organ. Behav. Hum. Decis. Process. 2003, 91, 215–229. [Google Scholar] [CrossRef]
- Hepler, T.J.; Feltz, D.L. Take the first heuristic, self-efficacy, and decision-making in sport. J. Exp. Psychol. Appl. 2012, 18, 154–161. [Google Scholar] [CrossRef]
- Lucia, S.; Bianco, V.; Boccacci, L.; Di Russo, F. Effects of a Cognitive-Motor Training on Anticipatory Brain Functions and Sport Performance in Semi-Elite Basketball Players. Brain Sci. 2022, 12, 68. [Google Scholar] [CrossRef]
- Badau, D.; Badau, A.; Ene-Voiculescu, C.; Larion, A.; Ene-Voiculescu, V.; Mihaila, I.; Fleancu, J.L.; Tudor, V.; Tifrea, C.; Cotovanu, A.S.; et al. The Impact of Implementing an Exergame Program on the Level of Reaction Time Optimization in Handball, Volleyball, and Basketball Players. Int. J. Environ. Res. Public Health 2022, 19, 5598. [Google Scholar] [CrossRef] [PubMed]
- Fitlight System. Available online: https://www.fitlighttraining.com/products/fitlight-system (accessed on 12 October 2022).
- Perroni, F.; Vetrano, M.; Rainoldi, A.; Guidetti, L.; Baldari, C. Relationship among performance value, body fat, fat free mass and pubertal development in youth soccer players. A preliminary study. Sport Sci. Health 2014, 10, 67–73. [Google Scholar] [CrossRef]
- Carskadon, M.A.; Acebo, C. A self-administered rating scale for pubertal development. J. Adolesc. Health 1993, 14, 190–195. [Google Scholar] [CrossRef]
- Stewart, P.F.; Turner, A.N.; Milleret, S.C. Reliability, factorial validity, and interrelationships of five commonly used change of direction speed tests. Scand. J. Med. Sci. Sport. 2014, 24, 500–506. [Google Scholar] [CrossRef]
- Chang, W.D.; Chou, L.W.; Chang, N.J.; Chen, S. Comparison of Functional Movement Screen, Star Excursion Balance Test, and Physical Fitness in Junior Athletes with Different Sports Injury Risk. BioMed Res. Int. 2020, 2020, 8690540. [Google Scholar] [CrossRef] [PubMed]
- Nyakayiru, J.; Jonvik, K.L.; Trommelen, J.; Pinckaers, P.J.M.; Senden, J.M.; van Loon, L.J.C.; Verdijk, L.B. Beetroot juice supplementation improves high-intensity intermittent type exercise performance in trained soccer players. Nutrients 2017, 9, 314. [Google Scholar] [CrossRef] [PubMed]
- Motl, R.W.; Dishman, R.K.; Saunders, R.; Dowda, M.; Felton, G.; Pate, R.R. Measuring enjoyment of physical activity in adolescent girls. Am. J. Prev. Med. 2001, 21, 110–117. [Google Scholar] [CrossRef]
- Egan, A.D.; Winchester, J.B.; Foster, C.; McGuigan, M.R. Using Session RPE to Monitor Different Methods of Resistance Training. J. Sport. Sci. Med. 2006, 5, 289–295. [Google Scholar]
- Diamond, A.; Barnett, W.S.; Thomas, J.; Munro, S. Preschool program improves cognitive control. Science 2007, 30, 1387–1388. [Google Scholar] [CrossRef] [PubMed]
- Hooper, B.; Faria, L.O.; Fortes, L.S.; Wanner, S.P.; Albuquerque, M.R. Development and reliability of a test for assessing executive functions during exercise. Appl. Neuropsychol. Adult 2022, 29, 750–760. [Google Scholar] [CrossRef]
- Hogan, J.; Cordes, S.; Holochwost, S.; Ryu, E.; Diamond, A.; Winner, E. Is more time in general music class associated with stronger extra-musical outcomes in kindergarten? Early Child. Res. Q. 2018, 45, 238–248. [Google Scholar] [CrossRef]
- Samuel, R.D.; Zavdy, O.; Levav, M.; Reuveny, R.; Katz, U.; Dubnov-Raz, G. The Effects of Maximal Intensity Exercise on Cognitive Performance in Children. J. Hum. Kinet. 2017, 57, 85–96. [Google Scholar] [CrossRef]
- de Paula, J.J.; Malloy-Diniz, L.F.; Romano-Silva, M.A. Reliability of working memory assessment in neurocognitive disorders: A study of the Digit Span and Corsi Block-Tapping tasks. Braz. J. Psychiatry 2016, 38, 262–263. [Google Scholar] [CrossRef]
- Xu, Y.; Zhang, W.; Zhang, K.; Feng, M.; Duan, T.; Chen, Y.; Wei, X.; Luo, Y.; Ni, G. Basketball training frequency is associated with executive functions in boys aged 6 to 8 years. Front. Hum. Neurosci. 2022, 16, 917385. [Google Scholar] [CrossRef]
- Diamond, A.; Ling, D.S. Conclusions about interventions, programs, and approaches for improving executive functions that appear justified and those that, despite much hype, do not. Dev. Cogn. Neurosci. 2016, 18, 34–48. [Google Scholar] [CrossRef] [PubMed]
- Koch, P.; Krenn, B. Executive functions in elite athletes—Comparing open-skill and closed-skill sports and considering the role of athletes’ past involvement in both sport categories. Psychol. Sport Exerc. 2021, 55, 101925. [Google Scholar] [CrossRef]
- Fransen, J. There is no evidence for a far transfer of cognitive training to sport performance. SportRχiv 2022, 1, 1–13. [Google Scholar] [CrossRef]
- Theofilou, G.; Ladakis, I.; Mavroidi, C.; Kilintzis, V.; Mirachtsis, T.; Chouvarda, I.; Kouidi, E. The Effects of a Visual Stimuli Training Program on Reaction Time, Cognitive Function, and Fitness in Young Soccer Players. Sensors 2022, 22, 6680. [Google Scholar] [CrossRef]
- Van Cutsem, J.; Marcora, S.; De Pauw, K.; Bailey, S.; Meeusen, R.; Roelands, B. The Effects of Mental Fatigue on Physical Performance: A Systematic Review. Sport. Med. 2017, 47, 1569–1588. [Google Scholar] [CrossRef] [PubMed]
- Habay, J.; Van Cutsem, J.; Verschueren, J.; De Bock, S.; Proost, M.; De Wachter, J.; Tassignon, B.; Meeusen, R.; Roelands, B. Mental Fatigue and Sport-Specific Psychomotor Performance: A Systematic Review. Sport. Med. 2021, 51, 1527–1548. [Google Scholar] [CrossRef] [PubMed]
- Habay, J.; Proost, M.; De Wachter, J.; Díaz-García, J.; De Pauw, K.; Meeusen, R.; Van Cutsem, J.; Roelands, B. Mental fatigue-associated decrease in table tennis performance: Is there an electrophysiological signature? Int. J. Environ. Res. Public Health 2021, 18, 12906. [Google Scholar] [CrossRef] [PubMed]
- Van Cutsem, J.; De Pauw, K.; Vandervaeren, C.; Marcora, S.M.; Meeusen, R.; Roelands, B. Mental fatigue impairs visuomotor response time in badminton players and controls. Psychol. Sport Exerc. 2019, 45, 101579. [Google Scholar] [CrossRef]
- Cao, S.; Geok, S.K.; Roslan, S.; Sun, H.; Lam, S.K.; Qian, S. Mental Fatigue and Basketball Performance: A Systematic Review. Front. Psychol. 2022, 12, 819081. [Google Scholar] [CrossRef]
- Faro, H.; de Sousa Fortes, L.; de Lima-Junior, D.; Teixeira Barbosa, B.; Caputo Ferreira, M.E.; Sousa Almeida, S. Sport-based video game causes mental fatigue and impairs visuomotor skill in male basketball players. Int. J. Sport Exerc. Psychol. 2022, 1, 15. [Google Scholar] [CrossRef]
- Silva, D.C.; Afonso, J.; Augusto, D.; Hallé Petiot, G.; Martins Filho, C.C.; Vasconcellos, F. Influence of pre-induced mental fatigue on tactical behaviour and performance among young elite football players. Int. J. Sport Exerc. Psychol. 2022, 1, 13. [Google Scholar] [CrossRef]
- Jung, Y.; Kang, H.; Jang, S. The Effects of High School Basketball Player’ s Sports Participation Motivation on Achievement Goal Orientation and Achievement Behaviors. Iran. J. Public Health 2021, 50, 1953–1962. [Google Scholar] [CrossRef] [PubMed]
- Benzing, V.; Schmidt, M. The effect of exergaming on executive functions in children with ADHD: A randomized clinical trial. Scand J. Med. Sci. Sport. 2019, 29, 1243–1253. [Google Scholar] [CrossRef] [PubMed]






| Week | Type of Exercise | Specific Proposal | Fitlight Role Description |
|---|---|---|---|
| First Week | Footwork Dribbling drills Shooting drills |
| The Fitlight system was used to create a randomized sequence of flashing lights. A sequence of two or three different colors was used up to a maximum of six lights. The association between color and movement changed with each exercise. Each color was associated with a single movement. A specific color did not require any movement in response. |
| Second Week | Footwork Dribbling drills Shooting drills |
| A sequence of three or four different colors was used up to a maximum of eight lights. The association between color and movement changed with each exercise. Each color was associated with a single movement but there were sequences where two colors corresponded to the same movement. Two lights could be switched on at the same time. A specific color did not require any movement in response and this color changed with each exercise. |
| Third Week | Footwork Dribbling drills Shooting drills |
| A sequence of four or five different colors was used up to a maximum of 10 lights. The association between color and movement changed with each exercise. Each color was associated with a single movement but there were sequences where two colors corresponded to the same movement. Two lights could be switched on at the same time. Two specific colors did not require any movement in response and these colors changed with each exercise. |
Disclaimer/Publisher’s Note: The statements, opinions and data contained in all publications are solely those of the individual author(s) and contributor(s) and not of MDPI and/or the editor(s). MDPI and/or the editor(s) disclaim responsibility for any injury to people or property resulting from any ideas, methods, instructions or products referred to in the content. |
© 2023 by the authors. Licensee MDPI, Basel, Switzerland. This article is an open access article distributed under the terms and conditions of the Creative Commons Attribution (CC BY) license (https://creativecommons.org/licenses/by/4.0/).
Share and Cite
Silvestri, F.; Campanella, M.; Bertollo, M.; Albuquerque, M.R.; Bonavolontà, V.; Perroni, F.; Baldari, C.; Guidetti, L.; Curzi, D. Acute Effects of Fitlight Training on Cognitive-Motor Processes in Young Basketball Players. Int. J. Environ. Res. Public Health 2023, 20, 817. https://doi.org/10.3390/ijerph20010817
Silvestri F, Campanella M, Bertollo M, Albuquerque MR, Bonavolontà V, Perroni F, Baldari C, Guidetti L, Curzi D. Acute Effects of Fitlight Training on Cognitive-Motor Processes in Young Basketball Players. International Journal of Environmental Research and Public Health. 2023; 20(1):817. https://doi.org/10.3390/ijerph20010817
Chicago/Turabian StyleSilvestri, Fioretta, Matteo Campanella, Maurizio Bertollo, Maicon Rodrigues Albuquerque, Valerio Bonavolontà, Fabrizio Perroni, Carlo Baldari, Laura Guidetti, and Davide Curzi. 2023. "Acute Effects of Fitlight Training on Cognitive-Motor Processes in Young Basketball Players" International Journal of Environmental Research and Public Health 20, no. 1: 817. https://doi.org/10.3390/ijerph20010817
APA StyleSilvestri, F., Campanella, M., Bertollo, M., Albuquerque, M. R., Bonavolontà, V., Perroni, F., Baldari, C., Guidetti, L., & Curzi, D. (2023). Acute Effects of Fitlight Training on Cognitive-Motor Processes in Young Basketball Players. International Journal of Environmental Research and Public Health, 20(1), 817. https://doi.org/10.3390/ijerph20010817

