The Impact of Ambient Temperature on Cardiorespiratory Mortality in Northern Greece
Abstract
1. Introduction
2. Materials & Methods
2.1. Area Description
2.2. Data and Methods
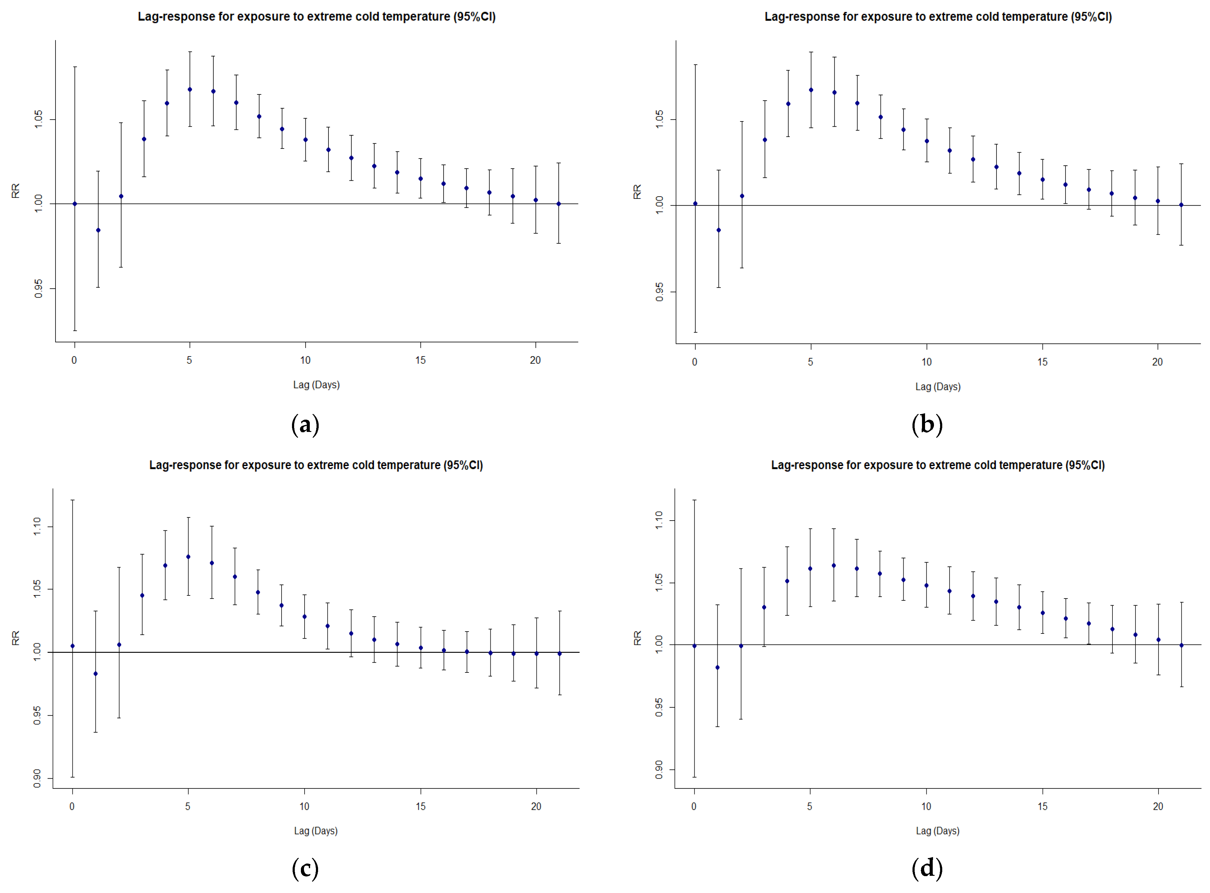
3. Results
4. Discussion
5. Conclusions
Supplementary Materials
Author Contributions
Funding
Institutional Review Board Statement
Informed Consent Statement
Data Availability Statement
Acknowledgments
Conflicts of Interest
References
- Weil, D.N. Health and economic growth. In Handbook of Economic Growth; Aghion, P., Durlauf, S.N., Eds.; Elsevier: New York, NY, USA, 2014; Volume 2. [Google Scholar]
- Arbuthnott, K.G.; Hajat, S. The health effects of hotter summers and heat waves in the population of the United Kingdom: A review of the evidence. Environ. Health 2017, 16 (Suppl. S1), 119. [Google Scholar] [CrossRef] [PubMed]
- Song, X.; Wang, S.; Hu, Y.; Yue, M.; Zhang, T.; Liu, Y.; Tian, J.; Shang, K. Impact of ambient temperature on morbidity and mortality: An overview of reviews. Sci. Total Environ. 2017, 586, 241–254. [Google Scholar] [CrossRef] [PubMed]
- Kouis, P.; Kakkoura, M.; Ziogas, K.; Paschalidou, A.K.; Papatheodorou, S.I. The effect of ambient air temperature on cardiovascular and respiratory mortality in Thessaloniki, Greece. Sci. Total Environ. 2019, 647, 1351–1358. [Google Scholar] [CrossRef] [PubMed]
- Weilnhammer, V.; Schmid, J.; Mittermeier, I.; Schreiber, F.; Jiang, L.; Pastuhovic, V.; Herr, C.; Heinze, S. Extreme weather events in europe and their health consequences—A systematic review. Int. J. Hyg. Environ. Health 2021, 233, 113688. [Google Scholar] [CrossRef]
- Faurie, C.; Varghese, B.M.; Liu, J.; Bi, P. Association between high temperature and heatwaves with heat-related illnesses: A systematic review and meta-analysis. Sci. Total Environ. 2022, 852, 158332. [Google Scholar] [CrossRef]
- Kim, K.-N.; Lim, Y.-H.; Bae, S.; Kim, J.-H.; Hwang, S.-S.; Kim, M.-J.; Oh, J.; Lim, H.; Choi, J.; Kwon, H.-J. Associations between cold spells and hospital admission and mortality due to diabetes: A nationwide multi-region time-series study in Korea. Sci. Total Environ. 2022, 838, 156464. [Google Scholar] [CrossRef]
- Revich, B.; Shaposhnikov, D. The influence of heat and cold waves on mortality in Russian subarctic cities with varying climates. Int. J. Biometeorol. 2022, 66, 2501–2515. [Google Scholar] [CrossRef]
- Revich, B.; Shaposhnikov, D. Excess mortality during heat waves and cold spells in Moscow, Russia. Occup. Environ. Med. 2008, 65, 691–696. [Google Scholar] [CrossRef]
- Robine, J.M.; Cheung, S.L.; le Roy, S.; van Oyen, H.; Herrmann, F.R. Report on excess mortality in Europe during summer 2003. Int. Arch. Occup. Health 2006, 80, 16–24. [Google Scholar]
- Liu, C.; Yavar, Z.; Sun, Q. Cardiovascular response to thermoregulatory challenges. Am. J. Physiol. Circ. Physiol. 2015, 309, H1793–H1812. [Google Scholar] [CrossRef]
- Zhang, Y.; Li, C.; Feng, R.; Zhu, Y.; Wu, K.; Tan, X.; Ma, L. The Short-Term Effect of Ambient Temperature on Mortality in Wuhan, China: A Time-Series Study Using a Distributed Lag Non-Linear Model. Int. J. Environ. Res. Public Health 2016, 13, 722. [Google Scholar] [CrossRef] [PubMed]
- Hajat, S.; Chalabi, Z.; Wilkinson, P.; Erens, B.; Jones, L.; Mays, N. Public health vulnerability to wintertime weather: Time-series regression and episode analyses of national mortality and morbidity databases to inform the Cold Weather Plan for England. Public Health 2016, 137, 26–34. [Google Scholar] [CrossRef] [PubMed]
- Li, M.; Zhou, M.; Yang, J.; Yin, P.; Wang, B.; Liu, Q. Temperature, temperature extremes, and cause-specific respiratory mortality in China: A multi-city time series analysis. Air Qual. Atmos. Health 2019, 12, 539–548. [Google Scholar] [CrossRef]
- Liu, J.; Hansen, A.; Varghese, B.; Liu, Z.; Tong, M.; Qiu, H.; Tian, L.; Lau, K.K.-L.; Ng, E.; Ren, C.; et al. Cause-specific mortality attributable to cold and hot ambient temperatures in Hong Kong: A time-series study, 2006–2016. Sustain. Cities Soc. 2020, 57, 102131. [Google Scholar] [CrossRef]
- Cheng, J.; Xu, Z.; Zhu, R.; Wang, X.; Jin, L.; Song, J.; Su, H. Impact of diurnal temperature range on human health: A systematic review. Int. J. Biometeorol. 2014, 58, 2011–2024. [Google Scholar] [CrossRef]
- Ding, Z.; Li, L.; Xin, L.; Pi, F.; Dong, W.; Wen, Y.; Au, W.W.; Zhang, Q. High diurnal temperature range and mortality: Effect modification by individual characteristics and mortality causes in a case-only analysis. Sci. Total Environ. 2016, 544, 627–634. [Google Scholar] [CrossRef]
- Wang, Y.; Chen, Y.; Chen, J.; Wu, R.; Guo, P.; Zha, S.; Zhang, Q. Mortality risk attributable to diurnal temperature range: A multicity study in Yunnan of southwest China. Environ. Sci. Pollut. Res. 2021, 28, 60597–60608. [Google Scholar] [CrossRef]
- Zha, Q.; Chai, G.; Zhang, Z.-G.; Sha, Y.; Su, Y. Effects of diurnal temperature range on cardiovascular disease hospital admissions in farmers in China’s Western suburbs. Environ. Sci. Pollut. Res. 2021, 28, 64693–64705. [Google Scholar] [CrossRef]
- Guo, Y.; Gasparrini, A.; Armstrong, B.G.; Tawatsupa, B.; Tobias, A.; Lavigne, E.; Coelho, M.D.S.Z.S.; Pan, X.; Kim, H.; Hashizume, M.; et al. Temperature Variability and Mortality: A Multi-Country Study. Environ. Health Perspect. 2016, 124, 1554–1559. [Google Scholar] [CrossRef]
- Cheng, J.; Xu, Z.; Bambrick, H.; Su, H.; Tong, S.; Hu, W. Impacts of heat, cold, and temperature variability on mortality in Australia, 2000–2009. Sci. Total Environ. 2019, 651, 2558–2565. [Google Scholar] [CrossRef]
- Gasparrini, A.; Guo, Y.; Hashizume, M.; Lavigne, E.; Zanobetti, A.; Schwartz, J.; Tobias, A.; Tong, S.; Rocklöv, J.; Forsberg, B.; et al. Mortality risk attributable to high and low ambient temperature: A multi-country observational study. Lancet 2015, 386, 369–375. [Google Scholar] [CrossRef] [PubMed]
- Silveira, I.H.; Oliveira, B.F.A.; Cortes, T.; Junger, W.L. The effect of ambient temperature on cardiovascular mortality in 27 Brazilian cities. Sci. Total Environ. 2019, 691, 996–1004. [Google Scholar] [CrossRef] [PubMed]
- Cao, R.; Wang, Y.; Huang, J.; He, J.; Ponsawansong, P.; Jin, J.; Xu, Z.; Yang, T.; Pan, X.; Prapamontol, T.; et al. The Mortality Effect of Apparent Temperature: A Multi-City Study in Asia. Int. J. Environ. Res. Public Health 2021, 18, 4675. [Google Scholar] [CrossRef]
- Osilla, E.V.; Marsidi, J.L.; Sharma, S. Physiology, Temperature Regulation. In StatPearls [Internet]; StatPearls: Treasure Island, FL, USA, 2022. [Google Scholar]
- Gasparrini, A.; Armstrong, B.; Kovats, S.; Wilkinson, P. The effect of high temperatures on cause-specific mortality in England and Wales. Occup. Environ. Med. 2012, 69, 56–61. [Google Scholar] [CrossRef] [PubMed]
- Phung, D.; Thai, P.K.; Guo, Y.; Morawska, L.; Rutherford, S.; Chu, C. Ambient temperature and risk of cardiovascular hospitalization: An updated systematic review and meta-analysis. Sci. Total Environ. 2016, 550, 1084–1102. [Google Scholar] [CrossRef] [PubMed]
- D’Amato, M.; Molino, A.; Calabrese, G.; Cecchi, L.; Annesi-Maesano, I.; D’Amato, G. The impact of cold on the respiratory tract and its consequences to respiratory health. Clin. Transl. Allergy 2018, 8, 20. [Google Scholar] [CrossRef]
- Ma, Y.; Zhou, L.; Chen, K. Burden of cause-specific mortality attributable to heat and cold: A multicity time-series study in Jiangsu Province, China. Environ. Int. 2020, 144, 105994. [Google Scholar] [CrossRef]
- Yoo, E.-H.; Eum, Y.; Gao, Q.; Chen, K. Effect of extreme temperatures on daily emergency room visits for mental disorders. Environ. Sci. Pollut. Res. 2021, 28, 39243–39256. [Google Scholar] [CrossRef]
- Xu, R.; Shi, C.; Wei, J.; Lu, W.; Li, Y.; Liu, T.; Wang, Y.; Zhou, Y.; Chen, G.; Sun, H.; et al. Cause-specific cardiovascular disease mortality attributable to ambient temperature: A time-stratified case-crossover study in Jiangsu province, China. Ecotoxicol. Environ. Saf. 2022, 236, 113498. [Google Scholar] [CrossRef]
- Pica, N.; Bouvier, N. Ambient Temperature and Respiratory Virus Infection. Pediatr. Infect. Dis. J. 2014, 33, 311–313. [Google Scholar] [CrossRef]
- Luber, G.; McGeehin, M. Climate Change and Extreme Heat Events. Am. J. Prev. Med. 2008, 35, 429–435. [Google Scholar] [CrossRef] [PubMed]
- Makinen, T.M. Different types of cold adaptation in humans. Front. Biosci. 2010, 2, 1047–1067. [Google Scholar] [CrossRef] [PubMed]
- Gronlund, C.J. Racial and Socioeconomic Disparities in Heat-Related Health Effects and Their Mechanisms: A Review. Curr. Epidemiol. Rep. 2014, 1, 165–173. [Google Scholar] [CrossRef] [PubMed]
- Vicedo-Cabrera, A.M.; Sera, F.; Guo, Y.; Chung, Y.; Arbuthnott, K.; Tong, S.; Tobias, A.; Lavigne, E.; de Sousa Zanotti Stagliorio Coelho, M.; do Nascimento Saldiva, P.H.; et al. A multi-country analysis on potential adaptive mechanisms to cold and heat in a changing climate. Environ. Int. 2018, 111, 239–246. [Google Scholar] [CrossRef]
- Linares, C.; Díaz, J.; Negev, M.; Martínez, G.S.; Debono, R.; Paz, S. Impacts of climate change on the public health of the Mediterranean Basin population—Current situation, projections, preparedness and adaptation. Environ. Res. 2020, 182, 109107. [Google Scholar] [CrossRef]
- Hajat, S.; Kovats, R.S.; Lachowycz, K. Heat-related and cold-related deaths in England andWales:who is at risk? Occup. Environ. Med. 2007, 64, 93–100. [Google Scholar] [CrossRef]
- Hajat, S.; Kosatky, T. Heat-related mortality: A review and exploration of heterogeneity. J. Epidemiol. Community Health 2010, 64, 753–760. [Google Scholar] [CrossRef]
- Qiu, H.; Tian, L.; Ho, K.-F.; Yu, I.T.S.; Thach, T.-Q.; Wong, C.-M. Who is more vulnerable to death from extremely cold temperatures? A case-only approach in Hong Kong with a temperate climate. Int. J. Biometeorol. 2016, 60, 711–717. [Google Scholar] [CrossRef]
- Sun, S.; Tian, L.; Qiu, H.; Chan, K.-P.; Tsang, H.; Tang, R.; Lee, R.S.-Y.; Thach, T.-Q.; Wong, C.-M. The influence of pre-existing health conditions on short-term mortality risks of temperature: Evidence from a prospective Chinese elderly cohort in Hong Kong. Environ. Res. 2016, 148, 7–14. [Google Scholar] [CrossRef]
- Chersich, M.F.; Pham, M.D.; Areal, A.; Haghighi, M.M.; Manyuchi, A.; Swift, C.P.; Wernecke, B.; Robinson, M.; Hetem, R.; Boeckmann, M.; et al. Associations between high temperatures in pregnancy and risk of preterm birth, low birth weight, and stillbirths: Systematic review and meta-analysis. BMJ 2020, 371, m3811. [Google Scholar] [CrossRef]
- Petkova, E.P.; Dimitrova, L.K.; Sera, F.; Gasparrini, A. Mortality attributable to heat and cold among the elderly in Sofia, Bulgaria. Int. J. Biometeorol. 2021, 65, 865–872. [Google Scholar] [CrossRef] [PubMed]
- Son, J.Y.; Liu, J.C.; Bell, M.L. Temperature-related mortality: A systematic review and investigation of effect modifiers. Environ. Res. Lett. 2019, 14, 073004. [Google Scholar] [CrossRef]
- Henderson, S.B.; Wan, V.; Kosatsky, T. Differences in heat-related mortality across four ecological regions with diverse urban, rural, and remote populations in British Columbia, Canada. Health Place 2013, 23, 48–53. [Google Scholar] [CrossRef] [PubMed]
- Allen, M.J.; Sheridan, S.C. Mortality risks during extreme temperature events (ETEs) using a distributed lag non-linear model. Int. J. Biometeorol. 2018, 62, 57–67. [Google Scholar] [CrossRef] [PubMed]
- Hajat, S.; Kovats, S. A note of caution about the excess winter deaths measure. Nat. Clim. Change 2014, 4, 647. [Google Scholar] [CrossRef]
- Heaviside, C.; Tsangari, H.; Paschalidou, A.; Vardoulakis, S.; Kassomenos, P.; Georgiou, K.E.; Yamasaki, E.N. Heat-related mortality in Cyprus for current and future climate scenarios. Sci. Total Environ. 2016, 569, 627–633. [Google Scholar] [CrossRef]
- Sanderson, M.; Arbuthnott, K.; Kovats, S.; Hajat, S.; Falloon, P. The use of climate information to estimate future mortality from high ambient temperature: A systematic literature review. PLoS ONE 2017, 12, e0180369. [Google Scholar] [CrossRef]
- Barreca, A.; Clay, K.; Deschenes, O.; Greenstone, M.; Shapiro, J.S. Adapting to climate change: The remarkable decline in the US temperature-mortality relationship over the twentieth century. J. Polit. Econ. 2016, 124, 105–159. [Google Scholar] [CrossRef]
- Chung, Y.; Noh, H.; Honda, Y.; Hashizume, M.; Bell, M.L.; Guo, Y.L.; Kim, H. Temporal changes in mortality related to extreme temperatures for 15 cities in Northeast Asia: Adaptation to heat and maladaptation to cold. Am. J. Epidemiol. 2017, 185, 907–913. [Google Scholar] [CrossRef]
- Todd, N.; Valleron, A.-J. Space–Time Covariation of Mortality with Temperature: A Systematic Study of Deaths in France, 1968–2009. Environ. Health Perspect. 2015, 123, 659–664. [Google Scholar] [CrossRef]
- Díaz, J.; Carmona, R.; Mirón, I.J.; Luna, Y.; Linares, C. Time trends in the impact attributable to cold days in Spain: Incidence of local factors. Sci. Total Environ. 2019, 655, 305–312. [Google Scholar] [CrossRef] [PubMed]
- Psistaki, K.; Paschalidou, A.K.; McGregor, G. Weather patterns and all-cause mortality in England, UK. Int. J. Biometeorol. 2020, 64, 123–136. [Google Scholar] [CrossRef] [PubMed]
- Iñiguez, C.; Royé, D.; Tobías, A. Contrasting patterns of temperature related mortality and hospitalization by cardiovascular and respiratory diseases in 52 Spanish cities. Environ. Res. 2021, 192, 110191. [Google Scholar] [CrossRef] [PubMed]
- Macintyre, H.L.; Heaviside, C.; Cai, X.; Phalkey, R. The winter urban heat island: Impacts on cold-related mortality in a highly urbanized European region for present and future climate. Environ. Int. 2021, 154, 106530. [Google Scholar] [CrossRef]
- Rodrigues, M.; Santana, P.; Rocha, A. Modelling of Temperature-Attributable Mortality among the Elderly in Lisbon Metropolitan Area, Portugal: A Contribution to Local Strategy for Effective Prevention Plans. J. Urban Health 2021, 98, 516–531. [Google Scholar] [CrossRef]
- Ali, E.; Cramer, W.; Carnicer, J.; Georgopoulou, E.; Hilmi, N.J.M.; le Cozannet, G.; Lionello, P. Cross-Chapter Paper 4: Mediterranean Region. In Climate Change 2022: Impacts, Adaptation and Vulnerability. Contribution of Working Group II to the Sixth Assessment Report of the Intergovernmental Panel on Climate Change; Pörtner, H.-O., Roberts, D.C., Tignor, M., Poloczanska, E.S., Mintenbeck, K., Alegría, A., Craig, M., Langsdorf, S., Löschke, S., Möller, V., et al., Eds.; Cambridge University Press: Cambridge, UK; New York, NY, USA, 2022; pp. 2233–2272. [Google Scholar] [CrossRef]
- Founda, D.; Varotsos, K.; Pierros, F.; Giannakopoulos, C. Observed and projected shifts in hot extremes’ season in the Eastern Mediterranean. Glob. Planet. Change 2019, 175, 190–200. [Google Scholar] [CrossRef]
- Cardell, M.F.; Amengual, A.; Romero, R.; Ramis, C. Future extremes of temperature and precipitation in Europe derived from a combination of dynamical and statistical approaches. Int. J. Clim. 2020, 40, 4800–4827. [Google Scholar] [CrossRef]
- Nastos, P.T.; Matzarakis, A. The effect of air temperature and human thermal indices on mortality in Athens, Greece. Theor. Appl. Clim. 2012, 108, 591–599. [Google Scholar] [CrossRef]
- Zoumakis, M.; Papadakis, N.; Benos, A.; Zoumakis, N.; Efstathiou, G.; Staliopoulou, M. Mortality and bioclimatic discomfort in the municipality of Thessaloniki, Greece. In Proceedings of the Protection and Restoration of the Environment XI Conference, Thessaloniki, Greece, 3–6 July 2012; pp. 1771–1784. [Google Scholar]
- Zoumakis, M.; Papadakis, N.; Benos, A.; Zoumakis, N.; Prevezanos, M.; Vosniakos, F.; Karakolios, E.; Kassomenos, P.; Tzekis, P. Heat-related mortality in the municipality of Thessaloniki during the period from 1945 to 2012. J. Environ. Prot. Ecol. 2013, 14, 1140–1147. [Google Scholar]
- Paravantis, J.; Santamouris, M.; Cartalis, C.; Efthymiou, C.; Kontoulis, N. Mortality Associated with High Ambient Temperatures, Heatwaves, and the Urban Heat Island in Athens, Greece. Sustainability 2017, 9, 606. [Google Scholar] [CrossRef]
- Zafeiratou, S.; Analitis, A.; Founda, D.; Giannakopoulos, C.; Varotsos, K.V.; Sismanidis, P.; Keramitsoglou, I.; Katsouyanni, K. Spatial Variability in the Effect of High Ambient Temperature on Mortality: An Analysis at Municipality Level within the Greater Athens Area. Int. J. Environ. Res. Public Health 2019, 16, 3689. [Google Scholar] [CrossRef] [PubMed]
- Dimitriadou, L.; Nastos, P.; Eleftheratos, K.; Kapsomenakis, J.; Zerefos, C. Mortality Related to Air Temperature in European Cities, Based on Threshold Regression Models. Int. J. Environ. Res. Public Health 2022, 19, 4017. [Google Scholar] [CrossRef] [PubMed]
- Parliari, D.; Cheristanidis, S.; Giannaros, C.; Keppas, S.C.; Papadogiannaki, S.; De’Donato, F.; Sarras, C.; Melas, D. Short-Term Effects of Apparent Temperature on Cause-Specific Mortality in the Urban Area of Thessaloniki, Greece. Atmosphere 2022, 13, 852. [Google Scholar] [CrossRef]
- Psistaki, K.; Dokas, I.; Paschalidou, A. Analysis of the heat- and cold-related cardiovascular mortality in an urban mediterranean environment through various thermal indices. Environ. Res. 2023, 216, 114831. [Google Scholar] [CrossRef]
- Gasparrini, A.; Armstrong, B. Time series analysis on the health effects of temperature: Advancements and limitations. Environ. Res. 2010, 110, 633–638. [Google Scholar] [CrossRef] [PubMed]
- Gasparrini, A.; Armstrong, B.; Kenward, M.G. Distributed lag non-linear models. Stat. Med. 2010, 29, 2224–2234. [Google Scholar] [CrossRef]
- Yang, J.; Yin, P.; Zhou, M.; Ou, C.-Q.; Guo, Y.; Gasparrini, A.; Liu, Y.; Yue, Y.; Gu, S.; Sang, S.; et al. Cardiovascular mortality risk attributable to ambient temperature in China. Heart 2015, 101, 1966–1972. [Google Scholar] [CrossRef]
- Chen, R.; Yin, P.; Wang, L.; Liu, C.; Niu, Y.; Wang, W.; Jiang, Y.; Liu, Y.; Liu, J.; Qi, J.; et al. Association between ambient temperature and mortality risk and burden: Time series study in 272 main Chinese cities. BMJ 2018, 363, k4306. [Google Scholar] [CrossRef]
- Gasparrini, A.; Leone, M. Attributable risk from distributed lag models. BMC Med. Res. Methodol. 2014, 14, 55. [Google Scholar] [CrossRef]
- Rodrigues, M.; Santana, P.; Rocha, A. Effects of extreme temperatures on cerebrovascular mortality in Lisbon: A distributed lag non-linear model. Int. J. Biometeorol. 2019, 63, 549–559. [Google Scholar] [CrossRef]
- Guo, Y.; Gasparrini, A.; Armstrong, B.; Li, S.; Tawatsupa, B.; Tobías, A.; Lavigne, E.; de Sousa Zanotti Stagliorio Coelho, M.; Leone, M.; Pan, X.; et al. Global Variation in the Effects of Ambient Temperature on Mortality: A systematic evaluation. Epidemiology 2014, 25, 781–789. [Google Scholar] [CrossRef] [PubMed]
- Tsoutsoubi, L.; Ioannou, L.G.; Flouris, A.D. Mortality due to circulatory causes in hot and cold environments in Greece. Scand. Cardiovasc. J. 2021, 55, 333–335. [Google Scholar] [CrossRef] [PubMed]
- Åström, D.O.; Bertil, F.; Joacim, R. Heat wave impact on morbidity and mortality in the elderly population: A review of recent studies. Maturitas 2011, 69, 99–105. [Google Scholar] [CrossRef] [PubMed]
- Zhai, L.; Ma, X.; Wang, J.; Luan, G.; Zhang, H. Effects of ambient temperature on cardiovascular disease: A time-series analysis of 229288 deaths during 2009-2017 in Qingdao, China. Int. J. Environ. Health Res. 2022, 32, 181–190. [Google Scholar] [CrossRef]
- Jacobson, L.D.S.V.; Oliveira, B.F.A.D.; Schneider, R.; Gasparrini, A.; Hacon, S.D.S. Mortality Risk from Respiratory Diseases Due to Non-Optimal Temperature among Brazilian Elderlies. Int. J. Environ. Res. Public Health 2021, 18, 5550. [Google Scholar] [CrossRef]
- Founda, D.; Katavoutas, G.; Pierros, F.; Mihalopoulos, N. Centennial changes in heat waves characteristics in Athens (Greece) from multiple definitions based on climatic and bioclimatic indices. Glob. Planet. Change 2022, 212, 103807. [Google Scholar] [CrossRef]
- Qin, R.X.; Xiao, C.; Zhu, Y.; Li, J.; Yang, J.; Gu, S.; Xia, J.; Su, B.; Liu, Q.; Woodward, A. The interactive effects between high temperature and air pollution on mortality: A time-series analysis in Hefei, China. Sci. Total. Environ. 2017, 575, 1530–1537. [Google Scholar] [CrossRef]
- Chen, K.; Wolf, K.; Breitner, S.; Gasparrini, A.; Stafoggia, M.; Samoli, E.; Andersen, Z.J.; Bero-Bedada, G.; Bellander, T.; Hennig, F.; et al. Two-way effect modifications of air pollution and air temperature on total natural and cardiovascular mortality in eight European urban areas. Environ. Int. 2018, 116, 186–196. [Google Scholar] [CrossRef] [PubMed]
- Tian, L.; Liang, F.; Guo, Q.; Chen, S.; Xiao, S.; Wu, Z.; Jin, X.; Pan, X. The effects of interaction between particulate matter and temperature on mortality in Beijing, China. Environ. Sci. Process. Impacts 2018, 20, 395–405. [Google Scholar] [CrossRef]
- Ma, W.; Zeng, W.; Zhou, M.; Wang, L.; Rutherford, S.; Lin, H.; Liu, T.; Zhang, Y.; Xiao, J.; Zhang, Y.; et al. The short-term effect of heat waves on mortality and its modifiers in China: An analysis from 66 communities. Environ. Int. 2015, 75, 103–109. [Google Scholar] [CrossRef]
- Benmarhnia, T.; Deguen, S.; Kaufman, J.; Smargiassi, A. Vulnerability to Heat-related Mortality: A Systematic Review, Meta-analysis, and Meta-regression Analysis. Epidemiology 2015, 26, 781–793. [Google Scholar] [CrossRef]
- Son, J.Y.; Lee, J.T.; Anderson, G.B.; Bell, M.L. Vulnerability to temperature-related mortality in Seoul, Korea. Environ. Res. Lett. 2011, 6, 034027. [Google Scholar] [CrossRef]
- Yu, W.; Mengersen, K.; Wang, X.; Ye, X.; Guo, Y.; Pan, X.; Tong, S. Daily average temperature and mortality among the elderly: A meta-analysis and systematic review of epidemiological evidence. Int. J. Biometeorol. 2012, 56, 569–581. [Google Scholar] [CrossRef] [PubMed]
- Bai, L.; Cirendunzhu Woodward, A.; Dawa, X.; Liu, Q. Temperature and mortality on the roof of the world: A time-series analysis in three Tibetan counties. China Sci. Total Environ. 2014, 485, 41–48. [Google Scholar] [CrossRef]
- Achebak, H.; Devolder, D.; Ballester, J. Trends in temperature-related age-specific and sex-specific mortality from cardiovascular diseases in Spain: A national time-series analysis. Lancet Planet. Health 2019, 3, e297–e306. [Google Scholar] [CrossRef] [PubMed]
- Wan, K.; Feng, Z.; Hajat, S.; Doherty, R.M. Temperature-related mortality and associated vulnerabilities: Evidence from Scotland using extended time-series datasets. Environ. Health 2022, 21, 99. [Google Scholar] [CrossRef] [PubMed]
- Parsons, K. Human Thermal Environments: The Effects of Hot, Moderate, and Cold Environments on Human Health, Comfort, and Performance, 3rd ed.; CRC Press: Boca Raton, FL, USA, 2014. [Google Scholar]
- Cheshire, W.P., Jr. Thermoregulatory disorders and illness related to heat and cold stress. Auton. Neurosci. 2016, 196, 91–104. [Google Scholar] [CrossRef] [PubMed]
- Ellena, M.; Ballester, J.; Mercogliano, P.; Ferracin, E.; Barbato, G.; Costa, G.; Ingole, V. Social inequalities in heat-attributable mortality in the city of Turin, northwest of Italy: A time series analysis from 1982 to 2018. Environ. Health 2020, 19, 116. [Google Scholar] [CrossRef] [PubMed]
- Han, J.; Liu, S.; Zhang, J.; Zhou, L.; Fang, Q.; Zhang, J.; Zhang, Y. The impact of temperature extremes on mortality: A time-series study in Jinan, China. BMJ Open 2017, 7, e014741. [Google Scholar] [CrossRef]
- Lin, Y.-K.; Ho, T.-J.; Wang, Y.-C. Mortality risk associated with temperature and prolonged temperature extremes in elderly populations in Taiwan. Environ. Res. 2011, 111, 1156–1163. [Google Scholar] [CrossRef]
- Iñiguez, C.; Ballester, F.; Ferrandiz, J.; Pérez-Hoyos, S.; Sáez, M.; López, A. Relation between temperature and mortality in thirteen Spanish cities. Int. J. Environ. Res. Public Health 2010, 7, 3196–3210. [Google Scholar] [CrossRef] [PubMed]
- Xie, H.; Yao, Z.; Zhang, Y.; Xu, Y.; Xu, X.; Liu, T.; Lin, H.; Lao, X.Q.; Rutherford, S.; Chu, C.; et al. Short-Term Effects of the 2008 Cold Spell on Mortality in Three Subtropical Cities in Guangdong Province, China. Environ. Health Perspect. 2013, 121, 210–216. [Google Scholar] [CrossRef] [PubMed]
- Yi, W.; Chan, A.P.C. Effects of temperature on mortality in Hong Kong: A time series analysis. Int. J. Biometeorol. 2015, 59, 927–936. [Google Scholar] [CrossRef] [PubMed]
- Gagnon, D.; Kenny, G.P. Does sex have an independent effect on thermoeffector responses during exercise in the heat? J. Physiol. 2012, 590, 5963–5973. [Google Scholar] [CrossRef] [PubMed]
- Kaciuba-Uscilko, H.; Grucza, R. Gender differences in thermoregulation. Curr. Opin. Clin. Nutr. Metab. Care 2001, 4, 533–536. [Google Scholar] [CrossRef] [PubMed]
- Ragettli, M.S.; Vicedo-Cabrera, A.M.; Schindler, C.; Röösli, M. Exploring the association between heat and mortality in Switzerland between 1995 and 2013. Environ. Res. 2017, 158, 703–709. [Google Scholar] [CrossRef] [PubMed]
- Moghadamnia, M.T.; Ardalan, A.; Mesdaghinia, A.; Keshtkar, A.; Naddafi, K.; Yekaninejad, M.S. Ambient temperature and cardiovascular mortality: A systematic review and meta-analysis. PeerJ 2017, 5, e3574. [Google Scholar] [CrossRef]







| Mean | Median | Standard Deviation | Min | Max | 1st Percentile | 10th Percentile | 90th Percentile | 99th Percentile | |
|---|---|---|---|---|---|---|---|---|---|
| Temperature (°C) | 16.2 | 16.1 | 8.36 | −5.67 | 33.8 | −0.12 | 5.09 | 27.5 | 30.6 |
| Maximum Temperature (°C) | 18.23 | 17.97 | 8.39 | −4.15 | 35.6 | 1.63 | 6.90 | 29.5 | 32.8 |
| Minimum Temperature (°C) | 11.89 | 11.97 | 7.77 | −10.33 | 28.3 | −3.97 | 1.32 | 22.1 | 25.1 |
| Relative Humidity (%) | 65.1 | 65.3 | 14.7 | 16.7 | 100 | 22.3 | 46.7 | 83.7 | 92.5 |
| Mortality from cardiorespiratory diseases | |||||||||
| Mean | Median | Standard Deviation | Min | Max | 1st percentile | 10th percentile | 90th percentile | 99th percentile | |
| Total Population | 9.87 | 10 | 3.50 | 0 | 30 | 3 | 6 | 14 | 19 |
| Males | 4.73 | 5 | 2.28 | 0 | 17 | 0 | 2 | 8 | 11 |
| Females | 5.15 | 5 | 2.43 | 0 | 16 | 1 | 2 | 8 | 12 |
| Elderly (≥65 years) | 8.92 | 9 | 3.32 | 0 | 25 | 2.04 | 5 | 13 | 18 |
| Minimum Mortality Temperature (MMT, °C) | Minimum Mortality Percentile (MMP) | Lag Period | Relative Risk for Extreme Cold (95% CI) | Relative Risk for Extreme Heat (95% CI) | Relative Risk for Moderate Cold (95% CI) | Relative Risk for Moderate Heat (95% CI) | |
|---|---|---|---|---|---|---|---|
| Total Population | 20.9 | 65 | 0–21 | 1.74 (1.44–2.10) | 1.82 (1.52–2.18) | 1.19 (1.00–1.42) | 1.33 (1.20–1.48) |
| 0 | 1.00 (0.93–1.08) | 1.22 (1.13–1.32) | 0.99 (0.93–1.06) | 1.11 (1.06–1.17) | |||
| 1–2 | 0.99 (0.92–1.07) | 1.32 (1.23–1.42) | 0.95 (0.89–1.01) | 1.17 (1.12–1.22) | |||
| 3–5 | 1.17 (1.12–1.24) | 1.08 (1.03–1.13) | 1.09 (1.04–1.14) | 1.02 (0.99–1.05) | |||
| 6–21 | 1.50 (1.30–1.73) | 1.04 (0.91–1.19) | 1.16 (1.02–1.33) | 1.00 (0.92–1.07) | |||
| Males | 20.5 | 64 | 0–21 | 1.60 (1.23–2.08) | 1.88 (1.44–2.44) | 1.20 (0.94–1.53) | 1.36 (1.17–1.59) |
| 0 | 1.01 (0.90–1.12) | 1.25 (1.11–1.40) | 0.98 (0.89–1.08) | 1.14 (1.06–1.22) | |||
| 1–2 | 0.99 (0.89–1.10) | 1.25 (1.13–1.39) | 0.98 (0.89–1.07) | 1.13 (1.06–1.20) | |||
| 3–5 | 1.20 (1.12–1.29) | 1.06 (0.99–1.14) | 1.12 (1.05–1.19) | 1.01 (0.97–1.06) | |||
| 6–21 | 1.34 (1.09–1.64) | 1.13 (0.93–1.37) | 1.12 (0.93–1.35) | 1.05 (0.93–1.17) | |||
| Females | 21.4 | 67 | 0–21 | 1.88 (1.44–2.45) | 1.78 (1.39–2.27) | 1.19 (0.92–1.52) | 1.30 (1.14–1.50) |
| 0 | 1.00 (0.89–1.12) | 1.20 (1.08–1.34) | 1.01 (0.92–1.11) | 1.09 (1.03–1.16) | |||
| 1–2 | 0.98 (0.88–1.09) | 1.38 (1.25–1.52) | 0.91 (0.83–1.00) | 1.20 (1.14–1.27) | |||
| 3–5 | 1.15 (1.07–1.24) | 1.09 (1.02–1.17) | 1.06 (1.00–1.13) | 1.03 (1.00–1.07) | |||
| 6–21 | 1.66 (1.35–2.05) | 0.98 (0.82–1.17) | 1.21 (1.00–1.47) | 0.96 (0.87–1.06) | |||
| Elderly (≥65 years) | 20.7 | 65 | 0–21 | 1.81 (1.49–2.20) | 1.94 (1.60–2.36) | 1.22 (1.02–1.47) | 1.38 (1.23–1.54) |
| 0 | 1.02 (0.94–1.10) | 1.23 (1.13–1.34) | 1.00 (0.93–1.07) | 1.12 (1.06–1.18) | |||
| 1–2 | 0.97 (0.90–1.05) | 1.35 (1.25–1.46) | 0.94 (0.88–1.00) | 1.19 (1.14–1.24) | |||
| 3–5 | 1.18 (1.12–1.24) | 1.10 (1.04–1.16) | 1.09 (1.04–1.14) | 1.03 (1.00–1.06) | |||
| 6–21 | 1.55 (1.34–1.81) | 1.07 (0.93–1.23) | 1.20 (1.04–1.38) | 1.00 (0.93–1.09) |
Disclaimer/Publisher’s Note: The statements, opinions and data contained in all publications are solely those of the individual author(s) and contributor(s) and not of MDPI and/or the editor(s). MDPI and/or the editor(s) disclaim responsibility for any injury to people or property resulting from any ideas, methods, instructions or products referred to in the content. |
© 2022 by the authors. Licensee MDPI, Basel, Switzerland. This article is an open access article distributed under the terms and conditions of the Creative Commons Attribution (CC BY) license (https://creativecommons.org/licenses/by/4.0/).
Share and Cite
Psistaki, K.; Dokas, I.M.; Paschalidou, A.K. The Impact of Ambient Temperature on Cardiorespiratory Mortality in Northern Greece. Int. J. Environ. Res. Public Health 2023, 20, 555. https://doi.org/10.3390/ijerph20010555
Psistaki K, Dokas IM, Paschalidou AK. The Impact of Ambient Temperature on Cardiorespiratory Mortality in Northern Greece. International Journal of Environmental Research and Public Health. 2023; 20(1):555. https://doi.org/10.3390/ijerph20010555
Chicago/Turabian StylePsistaki, Kyriaki, Ioannis M. Dokas, and Anastasia K. Paschalidou. 2023. "The Impact of Ambient Temperature on Cardiorespiratory Mortality in Northern Greece" International Journal of Environmental Research and Public Health 20, no. 1: 555. https://doi.org/10.3390/ijerph20010555
APA StylePsistaki, K., Dokas, I. M., & Paschalidou, A. K. (2023). The Impact of Ambient Temperature on Cardiorespiratory Mortality in Northern Greece. International Journal of Environmental Research and Public Health, 20(1), 555. https://doi.org/10.3390/ijerph20010555

