Mechanism for Reducing the Horizontal Transfer Risk of the Airborne Antibiotic-Resistant Genes of Escherichia coli Species through Microwave or UV Irradiation
Abstract
:1. Introduction
2. Materials and Methods
2.1. Chemicals and Reagents
2.2. Preparation of Antibiotic-Resistant Bacterial Samples
2.3. Experimental Setup of MW and UV Irradiation Device
2.4. DNA Extraction and ARGs Analysis
2.5. Horizontal Gene Transfer Experiments
2.6. Statistical Analysis of Airborne Samples
3. Results and Discussion
3.1. Comparison of Inactivation Performance of Antibiotic Resistant and Antibiotic Sensitive Bacteria under MW or UV Exposure
3.2. Effect of MW or UV Irradiation on the Forward and Reverse Transfer Frequencies
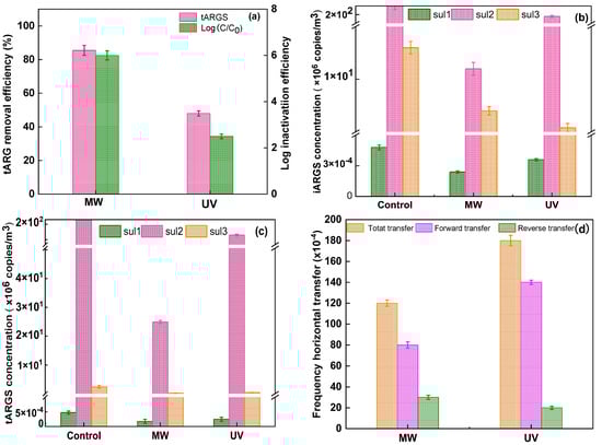
3.3. Potential Assessment of ARGs Horizon Transfer
3.4. Survival of Concentrations of Various Strains at Different Irradiation Times
3.5. Eenergy Efficiency per Order (EE/O) of Various Strains at Different Power Outputs under MW or UV Irradiation
3.6. Mechanism of HGT under MW or UV Applications
4. Conclusions
Supplementary Materials
Author Contributions
Funding
Institutional Review Board Statement
Informed Consent Statement
Data Availability Statement
Conflicts of Interest
References
- Martínez, J.L. Antibiotics and Antibiotic Resistance Genes in Natural Environments. Science 2008, 321, 365–367. [Google Scholar] [CrossRef]
- Zhang, Q.-Q.; Ying, G.-G.; Pan, C.-G.; Liu, Y.-S.; Zhao, J.-L. Comprehensive Evaluation of Antibiotics Emission and Fate in the River Basins of China: Source Analysis, Multimedia Modeling, and Linkage to Bacterial Resistance. Environ. Sci. Technol. 2015, 49, 6772–6782. [Google Scholar] [CrossRef] [PubMed]
- Zhang, M.; Wan, K.; Zeng, J.; Lin, W.; Ye, C.; Yu, X. Co-selection and stability of bacterial antibiotic resistance by arsenic pollution accidents in source water. Environ. Int. 2020, 135, 105351. [Google Scholar] [CrossRef] [PubMed]
- Tseng, C.C.; Hsiao, P.K.; Chang, K.C.; Cheng, C.C.; Yiin, L.M.; Hsieh, C.J. Detection of viable antibiotic-resistant/sensitive Acinetobacter baumannii in indoor air by propidium monoazide quantitative polymerase chain reaction. Indoor Air 2015, 25, 475–487. [Google Scholar] [CrossRef]
- Ouyang, W.; Gao, B.; Cheng, H.; Zhang, L.; Wang, Y.; Lin, C.; Chen, J. Airborne bacterial communities and antibiotic resistance gene dynamics in PM2.5 during rainfall. Environ. Int. 2020, 134, 105318. [Google Scholar] [CrossRef] [PubMed]
- Hu, J.; Shi, J.; Chang, H.; Li, D.; Yang, M.; Kamagata, Y. Phenotyping and Genotyping of Antibiotic-Resistant Escherichia coli Isolated from a Natural River Basin. Environ. Sci. Technol. 2008, 42, 3415–3420. [Google Scholar] [CrossRef] [PubMed]
- Stoll, C.; Sidhu, J.P.S.; Tiehm, A.; Toze, S. Prevalence of Clinically Relevant Antibiotic Resistance Genes in Surface Water Samples Collected from Germany and Australia. Environ. Sci. Technol. 2012, 46, 9716–9726. [Google Scholar] [CrossRef]
- Calderón-Franco, D.; van Loosdrecht, M.C.M.; Abeel, T.; Weissbrodt, D.G. Free-floating extracellular DNA: Systematic profiling of mobile genetic elements and antibiotic resistance from wastewater. Water Res. 2021, 189, 116592. [Google Scholar] [CrossRef]
- Zarei-Baygi, A.; Smith, A.L. Intracellular versus extracellular antibiotic resistance genes in the environment: Prevalence, horizontal transfer, and mitigation strategies. Bioresour. Technol. 2021, 319, 124181. [Google Scholar] [CrossRef]
- Slipko, K.; Reif, D.; Wögerbauer, M.; Hufnagl, P.; Krampe, J.; Kreuzinger, N. Removal of extracellular free DNA and antibiotic resistance genes from water and wastewater by membranes ranging from microfiltration to reverse osmosis. Water Res. 2019, 164, 114916. [Google Scholar] [CrossRef]
- Rodríguez-Beltrán, J.; Rodríguez-Rojas, A.; Yubero, E.; Blázquez, J. The animal food supplement sepiolite promotes a direct horizontal transfer of antibiotic resistance plasmids between bacterial species. Antimicrob. Agents Chemother. 2013, 57, 2651–2653. [Google Scholar] [CrossRef] [PubMed] [Green Version]
- Wang, D.-N.; Liu, L.; Qiu, Z.-G.; Shen, Z.-Q.; Guo, X.; Yang, D.; Li, J.; Liu, W.; Jin, M.; Li, J.-W. A new adsorption-elution technique for the concentration of aquatic extracellular antibiotic resistance genes from large volumes of water. Water Res. 2016, 92, 188–198. [Google Scholar] [CrossRef] [PubMed]
- Ahmed, Y.; Lu, J.; Yuan, Z.; Bond, P.L.; Guo, J. Efficient inactivation of antibiotic resistant bacteria and antibiotic resistance genes by photo-Fenton process under visible LED light and neutral pH. Water Res. 2020, 179, 115878. [Google Scholar] [CrossRef] [PubMed]
- Dodd, M.C. Potential impacts of disinfection processes on elimination and deactivation of antibiotic resistance genes during water and wastewater treatment. J. Environ. Monit. 2012, 14, 1754–1771. [Google Scholar] [CrossRef]
- Alexander, J.; Knopp, G.; Dötsch, A.; Wieland, A.; Schwartz, T. Ozone treatment of conditioned wastewater selects antibiotic resistance genes, opportunistic bacteria, and induce strong population shifts. Sci. Total Environ. 2016, 559, 103–112. [Google Scholar] [CrossRef]
- Sousa, J.M.; Macedo, G.; Pedrosa, M.; Becerra-Castro, C.; Castro-Silva, S.; Pereira, M.F.R.; Silva, A.M.T.; Nunes, O.C.; Manaia, C.M. Ozonation and UV254nm radiation for the removal of microorganisms and antibiotic resistance genes from urban wastewater. J. Hazard. Mater. 2017, 323, 434–441. [Google Scholar] [CrossRef]
- Wang, X.; Hu, X.; Wang, H.; Hu, C. Synergistic effect of the sequential use of UV irradiation and chlorine to disinfect reclaimed water. Water Res. 2012, 46, 1225–1232. [Google Scholar] [CrossRef]
- Destiani, R.; Templeton, M.R. Chlorination and ultraviolet disinfection of antibiotic-resistant bacteria and antibiotic resistance genes in drinking water. AIMS Environ. Sci. 2019, 6, 222–241. [Google Scholar] [CrossRef]
- Plazas-Tuttle, J.; Das, D.; Sabaraya, I.V.; Saleh, N.B. Harnessing the power of microwaves for inactivating Pseudomonas aeruginosa with nanohybrids. Environ. Sci. Nano 2018, 5, 72–82. [Google Scholar] [CrossRef]
- Wang, C.; Zhang, Z.W.; Liu, H. Microwave-induced release and degradation of airborne endotoxins from Escherichia coli bioaerosol. J. Hazard. Mater. 2019, 366, 27–33. [Google Scholar] [CrossRef]
- Takashima, H.; Miyakawa, Y.; Kanno, Y. Microwave sterilization with metal thin film coated catalyst in liquid phase. Mater. Sci. Eng. C 2007, 27, 898–903. [Google Scholar] [CrossRef]
- Mawioo, P.M.; Rweyemamu, A.; Garcia, H.A.; Hooijmans, C.M.; Brdjanovic, D. Evaluation of a microwave based reactor for the treatment of blackwater sludge. Sci. Total Environ. 2016, 548–549, 72–81. [Google Scholar] [CrossRef] [PubMed] [Green Version]
- Awuah, G.B.; Ramaswamy, H.S.; Economides, A.; Mallikarjunan, K. Inactivation of Escherichia coli K-12 and Listeria innocua in milk using radio frequency (RF) heating. Innov. Food Sci. Emerg. Technol. 2005, 6, 396–402. [Google Scholar] [CrossRef]
- Wu, Y.; Yao, M. Control of airborne and liquid-borne fungal and pet allergens using microwave irradiation. J. Occup. Environ. Hyg. 2013, 10, 547–555. [Google Scholar] [CrossRef] [PubMed]
- Chen, H.; Huang, Z.; Huang, Y.; Zhang, Y.; Ge, Z.; Qin, B.; Liu, Z.; Shi, Q.; Xiao, P.; Yang, Y.; et al. Synergistically assembled MWCNT/graphene foam with highly efficient microwave absorption in both C and X bands. Carbon 2017, 124, 506–514. [Google Scholar] [CrossRef]
- Zhang, Y.; Huang, Y.; Chen, H.; Huang, Z.; Yang, Y.; Xiao, P.; Zhou, Y.; Chen, Y. Composition and structure control of ultralight graphene foam for high-performance microwave absorption. Carbon 2016, 105, 438–447. [Google Scholar] [CrossRef]
- Zhu, L.; Kong, X.; Yang, C.; Ren, B.; Tang, Q. Fabrication and characterization of the magnetic separation photocatalyst C-TiO2@Fe3O4/AC with enhanced photocatalytic performance under visible light irradiation. J. Hazard. Mater. 2020, 381, 120910. [Google Scholar] [CrossRef]
- Sun, G.; Dong, B.; Cao, M.; Wei, B.; Hu, C. Hierarchical Dendrite-Like Magnetic Materials of Fe3O4, γ-Fe2O3, and Fe with High Performance of Microwave Absorption. Chem. Mater. 2011, 23, 1587–1593. [Google Scholar] [CrossRef]
- Guo, M.-T.; Huang, J.-J.; Hu, H.-Y.; Liu, W.-J.; Yang, J. Quantitative Characterization and Prediction Modeling of Photoreactivation of Coliforms After Ultraviolet Disinfection of Reclaimed Municipal Wastewater. Water Air Soil Pollut. 2013, 224, 1774. [Google Scholar] [CrossRef]
- Lin, X.; Willeke, K.; Ulevicius, V.; Grinshpun, S. Effect of Sampling Time on the Collection Efficiency of All-Glass Impingers. Am. Ind. Hyg. Assoc. J. 1997, 58, 480–488. [Google Scholar] [CrossRef]
- Lasky, L.C.; McCullough, J.; Zanjani, E.D. Liquid storage of unseparated human bone marrow. Evaluation of hematopoietic progenitors by clonal assay. Transfusion 1986, 26, 331–334. [Google Scholar] [CrossRef] [PubMed]
- Gluckman, E. History of cord blood transplantation. Bone Marrow Transplant. 2009, 44, 621–626. [Google Scholar] [CrossRef] [PubMed] [Green Version]
- Wang, C.; Lu, S.; Zhang, Z. Inactivation of airborne bacteria using different UV sources: Performance modeling, energy utilization, and endotoxin degradation. Sci. Total Environ. 2019, 655, 787–795. [Google Scholar] [CrossRef] [PubMed]
- Mao, D.; Luo, Y.; Mathieu, J.; Wang, Q.; Feng, L.; Mu, Q.; Feng, C.; Alvarez, P.J.J. Persistence of extracellular DNA in river sediment facilitates antibiotic resistance gene propagation. Environ. Sci. Technol. 2014, 48, 71–78. [Google Scholar] [CrossRef] [PubMed]
- Hao, H.; Shi, D.; Yang, D.; Yang, Z.; Qiu, Z.; Liu, W.; Shen, Z.; Yin, J.; Wang, H.; Li, J.; et al. Profiling of intracellular and extracellular antibiotic resistance genes in tap water. J. Hazard. Mater. 2019, 365, 340–345. [Google Scholar] [CrossRef]
- Guo, M.-T.; Zhang, G.-S. Graphene oxide in the water environment could affect tetracycline-antibiotic resistance. Chemosphere 2017, 183, 197–203. [Google Scholar] [CrossRef]
- Wu, Y.; Yao, M. In situ airborne virus inactivation by microwave irradiation. Chin. Sci. Bull. 2014, 59, 1438–1445. [Google Scholar] [CrossRef]
- Guo, M.-T.; Tian, X.-B. Impacts on antibiotic-resistant bacteria and their horizontal gene transfer by graphene-based TiO2&Ag composite photocatalysts under solar irradiation. J. Hazard. Mater. 2019, 380, 120877. [Google Scholar] [CrossRef]
- Zheng, J.; Su, C.; Zhou, J.; Xu, L.; Qian, Y.; Chen, H. Effects and mechanisms of ultraviolet, chlorination, and ozone disinfection on antibiotic resistance genes in secondary effluents of municipal wastewater treatment plants. Chem. Eng. J. 2017, 317, 309–316. [Google Scholar] [CrossRef]
- Chang, P.H.; Juhrend, B.; Olson, T.M.; Marrs, C.F.; Wigginton, K.R. Degradation of Extracellular Antibiotic Resistance Genes with UV254 Treatment. Environ. Sci. Technol. 2017, 51, 6185–6192. [Google Scholar] [CrossRef]
- Wang, H.; Wang, J.; Li, S.; Ding, G.; Wang, K.; Zhuang, T.; Huang, X.; Wang, X. Synergistic effect of UV/chlorine in bacterial inactivation, resistance gene removal, and gene conjugative transfer blocking. Water Res. 2020, 185, 116290. [Google Scholar] [CrossRef] [PubMed]
- Sharma, V.K.; Johnson, N.; Cizmas, L.; McDonald, T.J.; Kim, H. A review of the influence of treatment strategies on antibiotic resistant bacteria and antibiotic resistance genes. Chemosphere 2016, 150, 702–714. [Google Scholar] [CrossRef]
- Destiani, R.; Templeton, M.R.; Kowalski, W. Relative Ultraviolet Sensitivity of Selected Antibiotic Resistance Genes in Waterborne Bacteria. Environ. Eng. Sci. 2017, 35, 770–774. [Google Scholar] [CrossRef]
- Pei, R.; Cha, J.; Carlson, K.H.; Pruden, A. Response of antibiotic resistance genes (ARG) to biological treatment in dairy lagoon water. Environ. Sci. Technol. 2007, 41, 5108. [Google Scholar] [CrossRef]
- Liu, X.; Hu, J.Y. Effect of DNA sizes and reactive oxygen species on degradation of sulphonamide resistance sul1 genes by combined UV/free chlorine processes. J. Hazard. Mater. 2020, 392, 122283. [Google Scholar] [CrossRef]
- Xie, R.; Meng, X.; Sun, P.; Niu, J.; Jiang, W.; Bottomley, L.; Li, D.; Chen, Y.; Crittenden, J. Electrochemical oxidation of ofloxacin using a TiO2-based SnO2-Sb/polytetrafluoroethylene resin-PbO2 electrode: Reaction kinetics and mass transfer impact. Appl. Catal. B Environ. 2017, 203, 515–525. [Google Scholar] [CrossRef] [Green Version]
- Hall, R.M. Integrons and gene cassettes: Hotspots of diversity in bacterial genomes. Ann. N. Y. Acad. Sci. 2012, 1267, 71–78. [Google Scholar] [CrossRef] [PubMed]
- Huddleston, J.R. Horizontal gene transfer in the human gastrointestinal tract: Potential spread of antibiotic resistance genes. Infect. Drug Resist. 2014, 7, 167–176. [Google Scholar] [CrossRef] [Green Version]
- Yang, S.; Tschaplinski, T.J.; Engle, N.L.; Carroll, S.L.; Martin, S.L.; Davison, B.H.; Palumbo, A.V.; Rodriguez, M.; Brown, S.D. Transcriptomic and metabolomic profiling of Zymomonas mobilis during aerobic and anaerobic fermentations. BMC Genom. 2009, 10, 167–176. [Google Scholar] [CrossRef] [PubMed] [Green Version]
- Pei, R.T.; Kim, S.C.; Carlson, K.H.; Pruden, A. Effect of River Landscape on the sediment concentrations of antibiotics and corresponding antibiotic resistance genes (ARG). Water Res. 2006, 40, 2427–2435. [Google Scholar] [CrossRef]
- Xi, C.W.; Zhang, Y.L.; Marrs, C.F.; Ye, W.; Simon, C.; Foxman, B.; Nriagu, J. Prevalence of antibiotic resistance in drinking water treatment and distribution systems. Appl. Environ. Microbiol. 2009, 75, 5714–5718. [Google Scholar] [CrossRef] [Green Version]








Publisher’s Note: MDPI stays neutral with regard to jurisdictional claims in published maps and institutional affiliations. |
© 2022 by the authors. Licensee MDPI, Basel, Switzerland. This article is an open access article distributed under the terms and conditions of the Creative Commons Attribution (CC BY) license (https://creativecommons.org/licenses/by/4.0/).
Share and Cite
Laghari, A.A.; Liu, L.; Kalhoro, D.H.; Chen, H.; Wang, C. Mechanism for Reducing the Horizontal Transfer Risk of the Airborne Antibiotic-Resistant Genes of Escherichia coli Species through Microwave or UV Irradiation. Int. J. Environ. Res. Public Health 2022, 19, 4332. https://doi.org/10.3390/ijerph19074332
Laghari AA, Liu L, Kalhoro DH, Chen H, Wang C. Mechanism for Reducing the Horizontal Transfer Risk of the Airborne Antibiotic-Resistant Genes of Escherichia coli Species through Microwave or UV Irradiation. International Journal of Environmental Research and Public Health. 2022; 19(7):4332. https://doi.org/10.3390/ijerph19074332
Chicago/Turabian StyleLaghari, Azhar Ali, Liming Liu, Dildar Hussain Kalhoro, Hong Chen, and Can Wang. 2022. "Mechanism for Reducing the Horizontal Transfer Risk of the Airborne Antibiotic-Resistant Genes of Escherichia coli Species through Microwave or UV Irradiation" International Journal of Environmental Research and Public Health 19, no. 7: 4332. https://doi.org/10.3390/ijerph19074332
APA StyleLaghari, A. A., Liu, L., Kalhoro, D. H., Chen, H., & Wang, C. (2022). Mechanism for Reducing the Horizontal Transfer Risk of the Airborne Antibiotic-Resistant Genes of Escherichia coli Species through Microwave or UV Irradiation. International Journal of Environmental Research and Public Health, 19(7), 4332. https://doi.org/10.3390/ijerph19074332

