Spatial Analysis of Shared Risk Factors between Pleural and Ovarian Cancer Mortality in Lombardy (Italy)
Abstract
:1. Introduction
2. Materials and Methods
2.1. Mortality and Population Data
2.2. Bayesian Models
2.2.1. Spatial Pattern of Diseases
2.2.2. Shared Bayesian Models
2.3. Model Comparison
2.4. Computational Details
3. Results
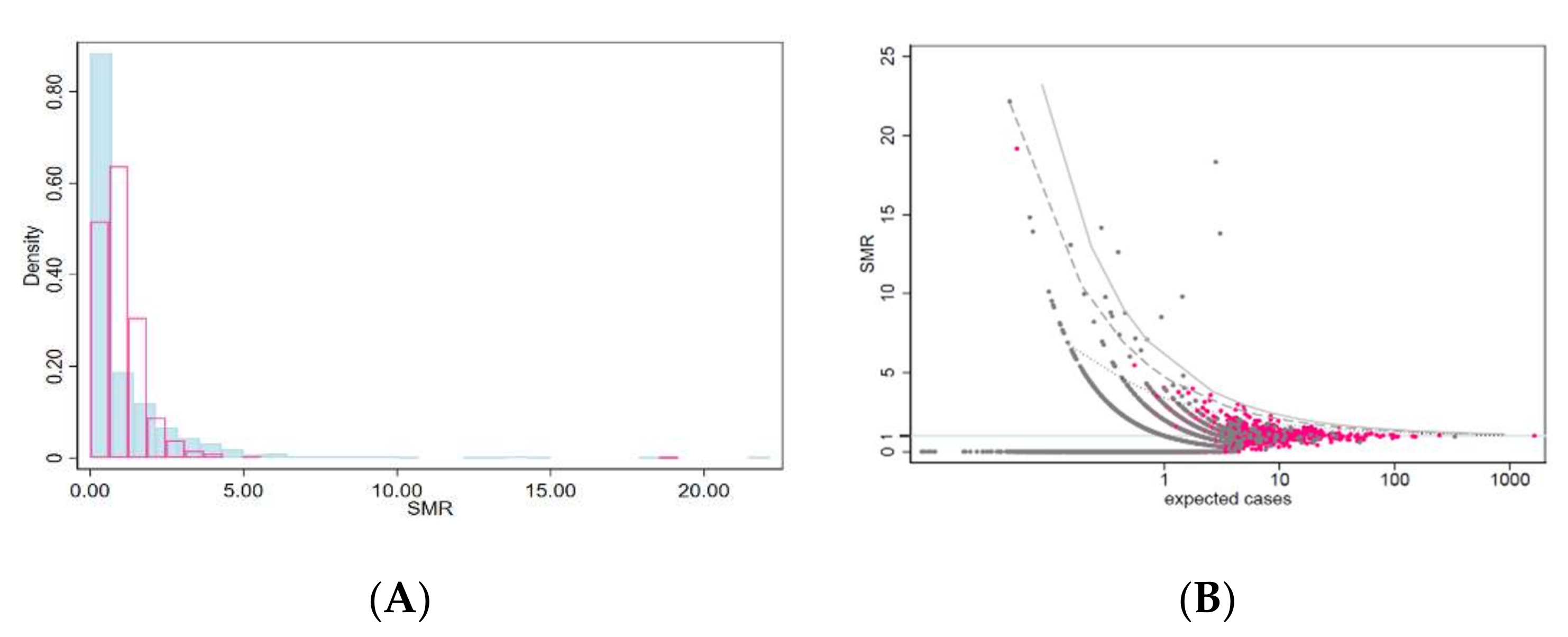
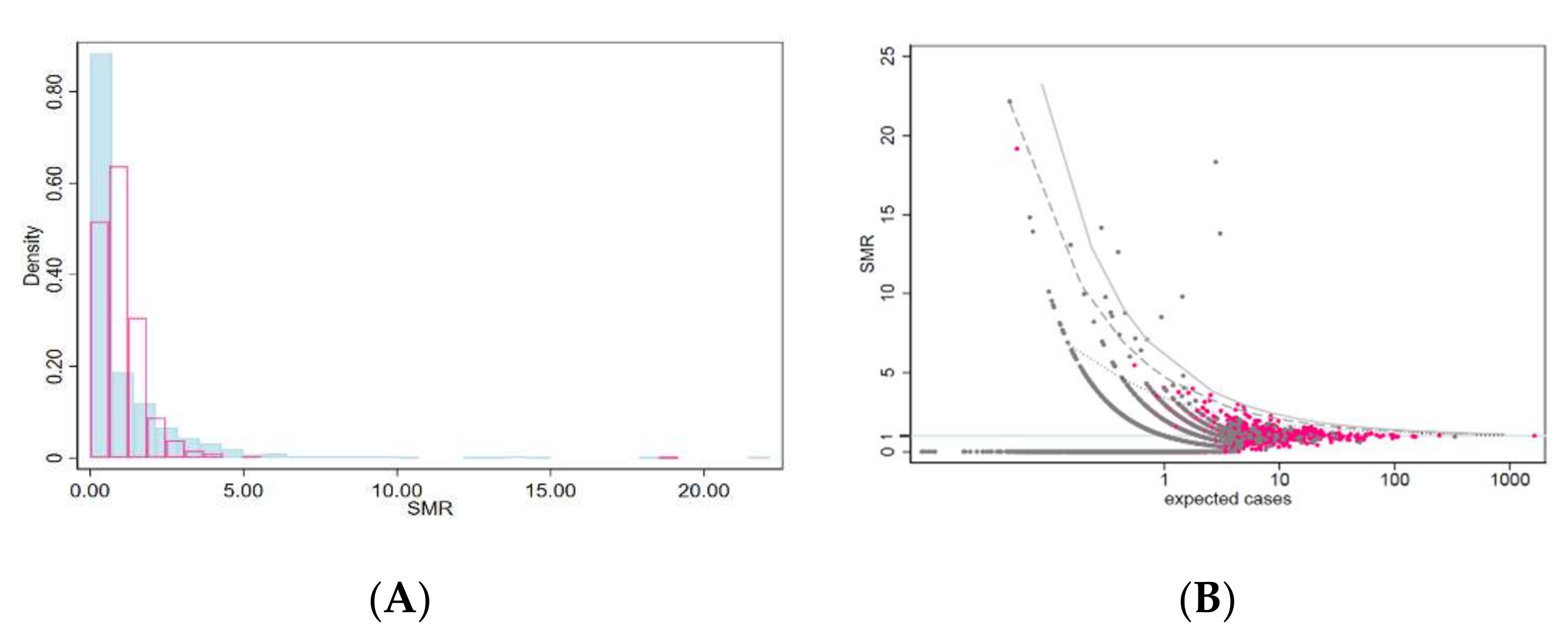
3.1. Spatial Pattern of the Two Diseases
3.2. Shared Bayesian Models and Model Comparison
4. Discussion
5. Conclusions
Supplementary Materials
Author Contributions
Funding
Institutional Review Board Statement
Informed Consent Statement
Data Availability Statement
Conflicts of Interest
References
- Momenimovahed, Z.; Tiznobaik, A.; Taheri, S.; Salehiniya, H. Ovarian cancer in the world: Epidemiology and risk factors. Int. J. Womens Health 2019, 11, 287–299. [Google Scholar] [CrossRef] [PubMed] [Green Version]
- AIOM: I Numeri del Cancro. Available online: https://www.aiom.it/wp-content/uploads/2020/10/2020_Numeri_Cancro-operatori_web.pdf (accessed on 24 January 2022).
- Straif, K.; Benbrahim-Tallaa, L.; Baan, R.; Grosse, Y.; Secretan, B.; El Ghissassi, F.; Bouvard, V.; Guha, N.; Freeman, C.; Galichet, L.; et al. A review of human carcinogens—Part C: Metals, arsenic, dusts, and fibres. Lancet Oncol. 2009, 10, 453–454. [Google Scholar] [CrossRef]
- Terry, K.L.; Karageorgi, S.; Shvetsov, Y.B.; Merritt, M.A.; Lurie, G.; Thompson, P.J.; Carney, M.E.; Weber, R.P.; Akushevich, L.; Lo-Ciganic, W.-H.; et al. Genital powder use and risk of ovarian cancer: A pooled analysis of 8,525 cases and 9,859 controls. Cancer Prev. Res. Phila. Pa 2013, 6, 811–821. [Google Scholar] [CrossRef] [PubMed] [Green Version]
- Tran, T.H.; Steffen, J.E.; Clancy, K.M.; Bird, T.; Egilman, D.S. Talc, Asbestos, and Epidemiology: Corporate Influence and Scientific Incognizance. Epidemiol. Camb. Mass 2019, 30, 783–788. [Google Scholar] [CrossRef]
- Luberto, F.; Ferrante, D.; Silvestri, S.; Angelini, A.; Cuccaro, F.; Nannavecchia, A.M.; Oddone, E.; Vicentini, M.; Barone-Adesi, F.; Cena, T.; et al. Cumulative asbestos exposure and mortality from asbestos related diseases in a pooled analysis of 21 asbestos cement cohorts in Italy. Environ. Health 2019, 18, 71. [Google Scholar] [CrossRef] [Green Version]
- Pira, E.; Romano, C.; Violante, F.S.; Farioli, A.; Spatari, G.; La Vecchia, C.; Boffetta, P. Updated mortality study of a cohort of asbestos textile workers. Cancer Med. 2016, 5, 2623–2628. [Google Scholar] [CrossRef]
- Ferrante, D.; Bertolotti, M.; Todesco, A.; Mirabelli, D.; Terracini, B.; Magnani, C. Cancer Mortality and Incidence of Mesothelioma in a Cohort of Wives of Asbestos Workers in Casale Monferrato, Italy. Environ. Health Perspect. 2007, 115, 1401–1405. [Google Scholar] [CrossRef]
- Nowak, D.; Schmalfeldt, B.; Tannapfel, A.; Mahner, S. Asbestos Exposure and Ovarian Cancer—A Gynaecological Occupational Disease. Background, Mandatory Notification, Practical Approach. Geburtshilfe Frauenheilkd. 2021, 81, 555–561. [Google Scholar] [CrossRef]
- Henley, S.J.; Peipins, L.A.; Hee Rim, S.; Larson, T.C.; Miller, J.W. Geographic co-occurrence of mesothelioma and ovarian cancer incidence. J. Womens Health 2020, 29, 111–118. [Google Scholar] [CrossRef]
- Mensi, C.; Matteis, S.D.; Catelan, D.; Dallari, B.; Riboldi, L.; Pesatori, A.C.; Consonni, D. Geographical patterns of mesothelioma incidence and asbestos exposure in Lombardy, Italy. Med. Lav. 2016, 107, 340–355. [Google Scholar]
- Catelan, D.; Consonni, D.; Biggeri, A.; Dallari, B.; Pesatori, A.C.; Riboldi, L.; Mensi, C. Estimate of environmental and occupational components in the spatial distribution of malignant mesothelioma incidence in Lombardy (Italy). Environ. Res. 2020, 188, 109691. [Google Scholar] [CrossRef]
- Held, L.; Natário, I.; Fenton, S.E.; Rue, H.; Becker, N. Towards joint disease mapping. Stat. Methods Med. Res. 2005, 14, 61–82. [Google Scholar] [CrossRef] [PubMed] [Green Version]
- Breslow, N.E.; Day, N.E. Indirect standardization and multiplicative models for rates, with reference to the age adjustment of cancer incidence and relative frequency data. J. Chronic Dis. 1975, 28, 289–303. [Google Scholar] [CrossRef]
- Clifford, P.; Richardson, S.; Hémon, D. Assessing the Significance of the Correlation between Two Spatial Processes. Biometrics 1989, 45, 123–134. [Google Scholar] [CrossRef] [PubMed]
- Besag, J.; York, J.; Molliè, A. Bayesian image restoration, with two applications in spatial statistics. Ann. Inst. Stat. Math. 1991, 43, 1–20. [Google Scholar] [CrossRef]
- Clayton, D.; Kaldor, J. Empirical Bayes Estimates of Age-Standardized Relative Risks for Use in Disease Mapping. Biometrics 1987, 43, 671–681. [Google Scholar] [CrossRef] [PubMed]
- Kelsall, J.E.; Wakefield, J.C. Bayesian Statistics. In Bayesian Models for Spatially Correlated Disease and Exposure Data; Oxford University Press: Oxford, UK, 1999. [Google Scholar]
- Knorr-Held, L.; Best, N.G. A Shared Component Model for Detecting Joint and Selective Clustering of Two Diseases. J. R. Stat. Soc. Ser. A Stat. Soc. 2001, 164, 73–85. [Google Scholar] [CrossRef]
- Watanabe, S. Asymptotic Equivalence of Bayes Cross Validation and Widely Applicable Information Criterion in Singular Learning Theory. Mach. Learn. Res. 2010, 11, 3571–3594. [Google Scholar]
- McCulloch, R.E. Local Model Influence. J. Am. Stat. Assoc. 1989, 84, 473–478. [Google Scholar] [CrossRef]
- Spiegelhalter, D.J.; Marshall, E.C. Strategies for inference robustness in focused modelling. J. Appl. Stat. 2006, 33, 217–232. [Google Scholar] [CrossRef]
- Lagazio, C.; Biggeri, A.; Dreassi, E. Age-period-cohort models and disease mapping. Environmetrics 2003, 14, 475–490. [Google Scholar] [CrossRef]
- Biggeri, A.; Catelan, D.; Dreassi, E. The epidemic of lung cancer in Tuscany (Italy): A joint analysis of male and female mortality by birth cohort. Spat. Spatio.-Temporal Epidemiol. 2009, 1, 31–40. [Google Scholar] [CrossRef] [PubMed]
- Lunn, D.J.; Thomas, A.; Best, N.; Spiegelhalter, D. WinBUGS—A Bayesian modelling framework: Concepts, structure, and extensibility. Stat. Comput. 2000, 10, 325–337. [Google Scholar] [CrossRef]
- Gelman, A.; Rubin, D.B. Inference from Iterative Simulation Using Multiple Sequences. Stat. Sci. 1992, 7, 457–472. [Google Scholar] [CrossRef]
- Spiegelhalter, D.J. Funnel Plots for Comparing Institutional Performance. Stat. Med. 2005, 24, 1185–1202. [Google Scholar] [CrossRef]
- Biggeri, A.; Marchi, M.; Lagazio, C.; Martuzzi, M.; Böhning, D. Non-parametric maximum likelihood estimators for disease mapping. Stat. Med. 2000, 19, 2539–2554. [Google Scholar] [CrossRef]
- McCullagh, P.; Nelder, J.A. Generalized Linear Models, 2nd ed.; Chapman & Hall: Boca Raton, FL, USA, 1989; ISBN 978-0-412-31760-6. [Google Scholar]
- Arachi, D.; Furuya, S.; David, A.; Mangwiro, A.; Chimed-Ochir, O.; Lee, K.; Tighe, P.; Takala, J.; Driscoll, T.; Takahashi, K. Development of the “National Asbestos Profile” to Eliminate Asbestos-Related Diseases in 195 Countries. Int. J. Environ. Res. Public. Health 2021, 18, 1804. [Google Scholar] [CrossRef]
- Odgerel, C.-O.; Takahashi, K.; Sorahan, T.; Driscoll, T.; Fitzmaurice, C.; Yoko-o, M.; Sawanyawisuth, K.; Furuya, S.; Tanaka, F.; Horie, S.; et al. Estimation of the Global Burden of Mesothelioma Deaths from Incomplete National Mortality Data. Occup. Environ. Med. 2017, 74, 851–858. [Google Scholar] [CrossRef] [Green Version]
- Delgermaa, V.; Takahashi, K.; Park, E.-K.; Le, G.V.; Hara, T.; Sorahan, T. Global Mesothelioma Deaths Reported to the World Health Organization between 1994 and 2008. Bull. World Health Organ. 2011, 89, 716–724C. [Google Scholar] [CrossRef]
- Fazzo, L.; Minelli, G.; De Santis, M.; Bruno, C.; Zona, A.; Conti, S.; Comba, P. Epidemiological Surveillance of Mesothelioma Mortality in Italy. Cancer Epidemiol. 2018, 55, 184–191. [Google Scholar] [CrossRef]
- Fazzo, L.; Minelli, G.; De Santis, M.; Bruno, C.; Zona, A.; Marinaccio, A.; Conti, S.; Pirastu, R.; Comba, P. Mesothelioma Mortality Surveillance and Asbestos Exposure Tracking in Italy. Ann. Ist. Super. Sanita. 2012, 48, 300–310. [Google Scholar] [CrossRef] [PubMed]
- Conti, S.; Minelli, G.; Ascoli, V.; Marinaccio, A.; Bonafede, M.; Manno, V.; Crialesi, R.; Straif, K. Peritoneal Mesothelioma in Italy: Trends and Geography of Mortality and Incidence. Am. J. Ind. Med. 2015, 58, 1050–1058. [Google Scholar] [CrossRef] [PubMed]
- Fazzo, L.; De Santis, M.; Minelli, G.; Bruno, C.; Zona, A.; Marinaccio, A.; Conti, S.; Comba, P. Pleural mesothelioma mortality and asbestos exposure mapping in Italy. Am. J. Ind. Med. 2012, 55, 11–24. [Google Scholar] [CrossRef] [PubMed]
- Lawson, A.; Carroll, R.; Faes, C.; Kirby, R.; Aregay, M.; Watjou, K. Spatiotemporal Multivariate Mixture Models for Bayesian Model Selection in Disease Mapping. Environmetrics 2017, 28, e2465. [Google Scholar] [CrossRef] [PubMed]
- Spiegelhalter, D.J.; Best, N.G.; Carlin, B.P.; Linde, A.V.D. Bayesian Measures of Model Complexity and Fit. J. R. Stat. Soc. Ser. B Stat. Methodol. 2002, 64, 583–639. [Google Scholar] [CrossRef] [Green Version]
- Vehtari, A.; Gelman, A.; Gabry, J. Practical Bayesian Model Evaluation Using Leave-One-out Cross-Validation and WAIC. Stat. Comput. 2017, 27, 1413–1432. [Google Scholar] [CrossRef] [Green Version]
- Eberly, L.E.; Carlin, B.P. Identifiability and Convergence Issues for Markov Chain Monte Carlo Fitting of Spatial Models. Stat. Med. 2000, 19, 2279–2294. [Google Scholar] [CrossRef]








| Municipality | Ovarian Cancer | Pleural Cancer | ||||
|---|---|---|---|---|---|---|
| Observed | Expected | SMR | Observed | Expected | SMR | |
| Deaths | Deaths | Deaths | Deaths | |||
| Rosate | 13 | 4.96 | 2.62 | 0 | 0.94 | 0 |
| Bovegno | 9 | 2.51 | 3.58 | <3 | 0.50 | 3.97 |
| Capriate SG | 19 | 8.37 | 2.27 | <3 | 1.66 | 1.2 |
| Pedrengo | 13 | 4.35 | 2.99 | 3 | 0.79 | 3.81 |
| Calcio | 14 | 4.87 | 2.87 | 8 | 0.94 | 8.52 |
| Disease | Clustering SD | Heterogeneity SD | Odds Heterogeneity: Clustering |
|---|---|---|---|
| Pleural cancer | 0.6267 | 0.1207 | 1:5.2 |
| Ovarian cancer | 0.08213 | 0.0567 | 1:1.4 |
| Model | Description | WAIC | Calibrated KL |
|---|---|---|---|
| M7 | Uk U Vk V | 5116.985 | 0.500 |
| M5 | Uk Vk V | 5122.904 | 0.531 |
| M2 | Uk U Vk | 5129.669 | 0.548 |
| M3 | Uk U V | 5146.176 | 0.564 |
| M4 | U Vk V | 5143.311 | 0.571 |
| M9 | Uk V | 5152.181 | 0.669 |
| M1 | Uk Vk | 5167.727 | 0.680 |
| M6 | U V | 5186.008 | 0.739 |
| M8 | U Vk | 5197.524 | 0.772 |
Publisher’s Note: MDPI stays neutral with regard to jurisdictional claims in published maps and institutional affiliations. |
© 2022 by the authors. Licensee MDPI, Basel, Switzerland. This article is an open access article distributed under the terms and conditions of the Creative Commons Attribution (CC BY) license (https://creativecommons.org/licenses/by/4.0/).
Share and Cite
Stoppa, G.; Mensi, C.; Fazzo, L.; Minelli, G.; Manno, V.; Consonni, D.; Biggeri, A.; Catelan, D. Spatial Analysis of Shared Risk Factors between Pleural and Ovarian Cancer Mortality in Lombardy (Italy). Int. J. Environ. Res. Public Health 2022, 19, 3467. https://doi.org/10.3390/ijerph19063467
Stoppa G, Mensi C, Fazzo L, Minelli G, Manno V, Consonni D, Biggeri A, Catelan D. Spatial Analysis of Shared Risk Factors between Pleural and Ovarian Cancer Mortality in Lombardy (Italy). International Journal of Environmental Research and Public Health. 2022; 19(6):3467. https://doi.org/10.3390/ijerph19063467
Chicago/Turabian StyleStoppa, Giorgia, Carolina Mensi, Lucia Fazzo, Giada Minelli, Valerio Manno, Dario Consonni, Annibale Biggeri, and Dolores Catelan. 2022. "Spatial Analysis of Shared Risk Factors between Pleural and Ovarian Cancer Mortality in Lombardy (Italy)" International Journal of Environmental Research and Public Health 19, no. 6: 3467. https://doi.org/10.3390/ijerph19063467
APA StyleStoppa, G., Mensi, C., Fazzo, L., Minelli, G., Manno, V., Consonni, D., Biggeri, A., & Catelan, D. (2022). Spatial Analysis of Shared Risk Factors between Pleural and Ovarian Cancer Mortality in Lombardy (Italy). International Journal of Environmental Research and Public Health, 19(6), 3467. https://doi.org/10.3390/ijerph19063467

