An Empirical Study of the Restoration Potential of Urban Deciduous Forest Space to Youth
Abstract
:1. Introduction
2. Materials and Methods
2.1. Participants
2.2. Study Sites and Procedures
2.3. Measure
2.3.1. Blood Pressure, Blood Oxygen and Pulse Measurement
2.3.2. Measurement of Neuroaffective Parameters
2.3.3. POMS Emotion Measurement
2.3.4. Restorative Emotion Measurement
2.3.5. Preference and Spatial Scale Measurement
2.4. Statistical Analysis
3. Results
3.1. Blood Oxygen, Blood Pressure, and Pulse Rate
3.2. Neuroemotional Parameters
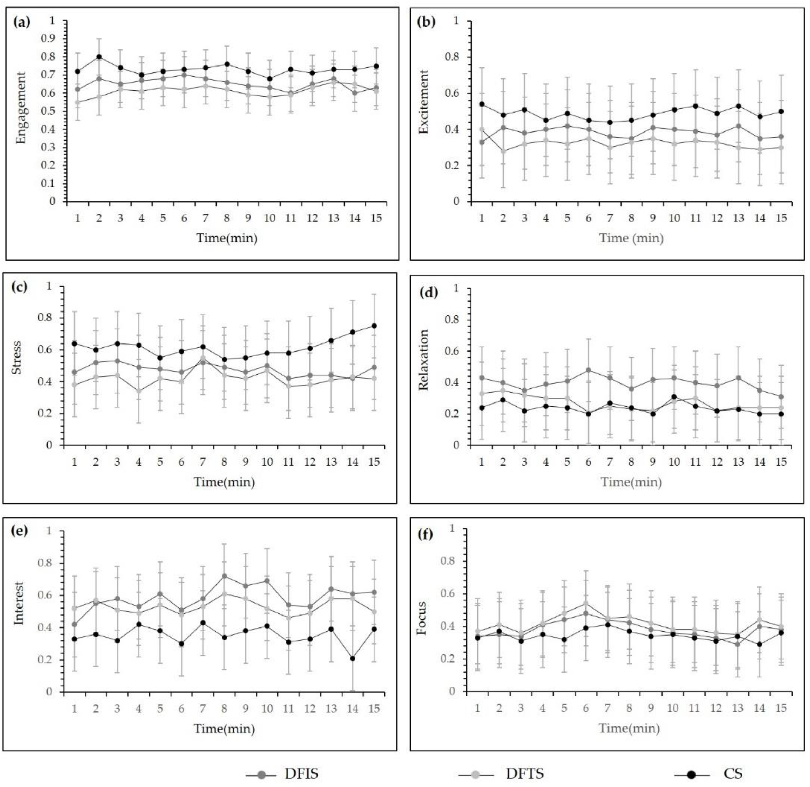
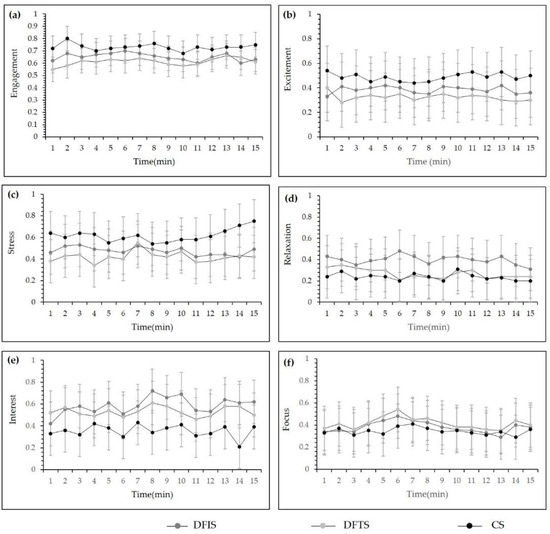
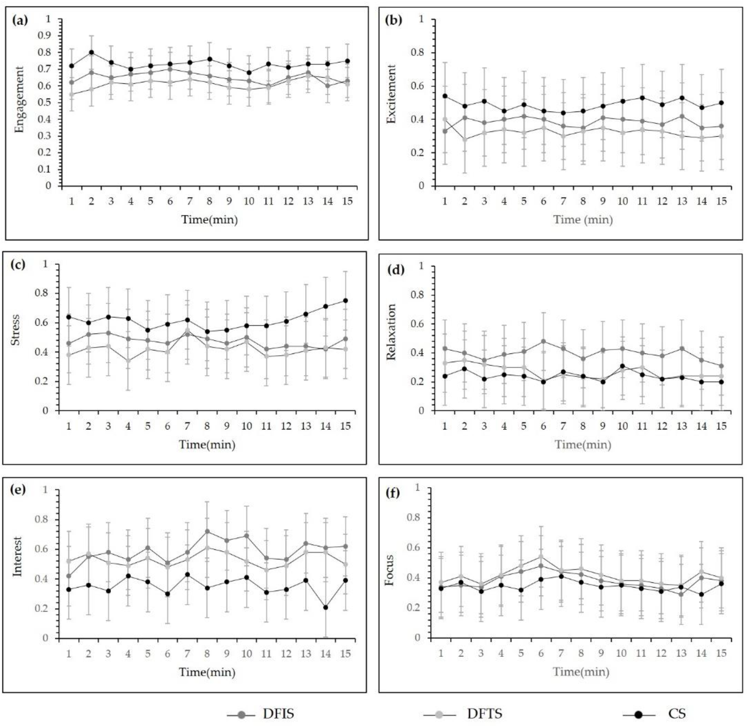
3.3. POMS
3.4. Restorative Emotions
3.5. Preference and Correlation Research
4. Discussion
4.1. Effect on Blood Pressure, Blood Oxygen and Pulse
4.2. Effect on Neuroaffective Parameters
4.3. Influence on POMS Emotion and Restorative Emotion
4.4. Influence on Youths’ Preference and Correlation
4.5. Suggestions for Urban Deciduous Forest Construction Planning
4.6. Limitations
5. Conclusions
Author Contributions
Funding
Institutional Review Board Statement
Informed Consent Statement
Data Availability Statement
Conflicts of Interest
Appendix A
| Sociodemographic Characteristics | The DFIS (N = 40) | The DFTS (N = 40) | The CS (N = 40) | p | |
|---|---|---|---|---|---|
| Gender | Male | 33% | 33% | 34% | 1 |
| Female | 34% | 33% | 33% | ||
| Age | >18 | 95% | 70% | 92% | 0.04 |
| ≤18 | 5% | 30% | 8% | ||
| BMI | 18.5~22.9 | 55% | 75% | 68% | 0.19 |
| <18.5/>22.9 | 45% | 25% | 32% | ||
| Major | Landscape/forestry and related | 45% | 25% | 15% | 0.19 |
| Other | 55% | 75% | 85% | ||
| Highest education obtained | Less than undergraduate degree | 85% | 70% | 89% | 0.26 |
| Undergraduate degree or higher | 15% | 30% | 11% |
References
- Weber, A.M.; Trojan, J. The restorative value of the urban environment: A systematic review of the existing literature. Environ. Health Insights. 2018, 12, 1–13. [Google Scholar] [CrossRef] [PubMed]
- Duane, T.P. Green urbanism: Learning from European cities (book review). J. Am. Plann. Assoc. 2000, 66, 450. [Google Scholar]
- Lin, B.B.; Ossola, A.; Alberti, M.; Andersson, E.; Tan, P.Y. Integrating solutions to adapt cities for climate change. Lancet Planet. Health. 2021, 5, 479–486. [Google Scholar] [CrossRef]
- Gerstenberg, T.; Baumeister, C.F.; Schraml, U.; Plieninger, T. Hot routes in urban forests: The impact of multiple landscape features on recreational use intensity. Landsc. Urban Plan. 2020, 203, 103888. [Google Scholar] [CrossRef]
- Han, Y.; Kang, W.; Thorne, J.; Song, Y. Modeling the effects of landscape patterns of current forests on the habitat quality of historical remnants in a highly urbanized area. Urban For. Urban Green. 2019, 41, 354–363. [Google Scholar] [CrossRef]
- Subiza-Perez, M.; Vozmediano, L.; San Juan, C. Green and blue settings as providers of mental health ecosystem services: Comparing urban beaches and parks and building a predictive model of psychological restoration. Landsc. Urban Plan. 2020, 204, 103926. [Google Scholar] [CrossRef]
- Kaplan, R.; Kaplan, S. The Experience of Nature: A Psychological Perspective; Cambridge University Press: Cambridge, UK, 1989. [Google Scholar]
- Ulrich, R.S.; Simons, R.F.; Losito, B.D.; Fiorito, E.; Miles, M.A.; Zelson, M. Stress recovery during exposure to natural and urban environments. J. Environ. Psychol. 1991, 11, 201–230. [Google Scholar] [CrossRef]
- Hao, Z.; Wang, C.; Sun, Z.; Bosch, C.; Pei, N. Soundscape mapping for spatial-temporal estimate on bird activities in urban forests. Urban For. Urban Green. 2020, 57, 126822. [Google Scholar] [CrossRef]
- Hong, X.C.; Wang, G.; Liu, J.; Song, L.; Wu, E. Modeling the impact of soundscape drivers on perceived birdsongs in urban forests. J. Clean. Prod. 2020, 292, 125315. [Google Scholar] [CrossRef]
- Qin, J.; Zhou, X.; Sun, C.; Leng, H.; Lian, Z. Influence of green spaces on environmental satisfaction and physiological status of urban residents. Urban For. Urban Green. 2013, 12, 490–497. [Google Scholar] [CrossRef]
- Jang, H.S.; Kim, J.; Kim, K.S.; Pak, C.H. Human brain activity and emotional responses to plant color stimuli. Color Res. Appl. 2013, 39, 307–316. [Google Scholar] [CrossRef]
- Wu, L.; Dong, Q.; Luo, S.; Jiang, W.; Hao, M.; Chen, Q. Effects of spatial elements of urban landscape forests on the restoration potential and preference of adolescents. Land 2021, 10, 1349. [Google Scholar] [CrossRef]
- Wyc, A.; Xun, L. Urban forests’ recreation and habitat potentials in China: A nationwide synthesis. Urban For. Urban Green. 2021, 66, 127376. [Google Scholar]
- Anderson, K. Canadi an Trees & The Urban Forest; Tree Canada: Ottawa, ON, Canada.
- Wirtz, Z.; Hagerman, S.; Hauer, R.J.; Konijnendijk, C.C. What makes urban forest governance successful?—A study among Canadian experts. Urban For. Urban Green. 2020, 58, 126901. [Google Scholar] [CrossRef]
- Ahmed, M.R.; Hassan, R. People’s perception towards value of urban greenspace in environmental development. In Proceedings of the 12th World Forestry Congress, Quebec City, QC, Canada, 21–28 September 2003; pp. 23–30. [Google Scholar]
- Norimasa, T.; Akio, F.; Haruo, S.; Masahiro, H. Management effectiveness of a secondary coniferous forest for landscape appreciation and psychological restoration. Int. J. Environ. Res. Public Health. 2017, 14, 800. [Google Scholar]
- Konijnendijk, C.C. The Forest and the City. Cult. Landsc. Urban Woodl. 2008, 222, 1061–1062. [Google Scholar]
- Ferrini, F.; Bosch, C.K.V.D.; Fini, A. Routledge Handbook of Urban Forestry; Routledge: Abingdon, UK, 2017. [Google Scholar]
- Avolio, M.L.; Pataki, D.E.; Trammell, T.; Endter-Wada, J. Biodiverse cities: The nursery industry, homeowners, and neighborhood differences drive urban tree composition. Ecol. Monogr. 2018, 88, 259–276. [Google Scholar] [CrossRef] [Green Version]
- Konijnendijk, C.; Nilsson, K.; Randrup, T.; Schipperijn, J. Urban forests and trees. The selection of plant materials for street Trees. Park Trees Urban Woodl. 2005, 11, 257–280. [Google Scholar]
- Hartig, G.T. Change in mood as a function of environmental design: Arousal and pleasure on a simulated forest hike. J. Environ. Psychol. 1997, 17, 283–300. [Google Scholar]
- Abraham, A.; Sommerhalder, K.; Abel, T. Landscape and well-being: A scoping study on the health-promoting impact of outdoor environments. Int. J. Pub. Health 2010, 55, 59–69. [Google Scholar] [CrossRef] [Green Version]
- Meidenbauer, K.L.; Stenfors, C.; Bratman, G.N.; Gross, J.J.; Berman, M.G. The affective benefits of nature exposure: What’s nature got to do with it? J. Environ. Psychol. 2020, 72, 101498. [Google Scholar] [CrossRef] [PubMed]
- Hanai, T. Tourism meets psychology. J. Glob. Tour. Res. 2016, 1, 89–92. [Google Scholar] [CrossRef]
- Sidenius, U.; Stigsdotter, U.; Refshauge, A.D. A year in the therapy forest garden nacadia® participans′ use and preferred locations in the garden during a nature-based treatment program. Univ. Putra Malasya 2015, 8, 44–53. [Google Scholar]
- Simkin, J.; Ojala, A.; Tyrvinen, L. Restorative effects of mature and young commercial forests, pristine old-growth forest and urban recreation forest—A field experiment. Urban For. Urban Green. 2002, 48, 126567. [Google Scholar] [CrossRef]
- Němec, I. Vojcek na rozhlasovém jevišti. Němec ivan.vyd.praha Tdeník Rozhlas S.roč Č S. 2009, 19, 20. [Google Scholar]
- Tyrvainen, L.; Ojala, A.; Korpela, K.; Lanki, T.; Tsunetsugu, Y.; Kagawa, T. The influence of urban green environments on stress relief measures: A field experiment. J. Environ. Psychol. 2014, 38, 1–9. [Google Scholar] [CrossRef]
- Schirpke, U.; Zoderer, B.M.; Tappeiner, U.; Tasser, E. Effects of past landscape changes on aesthetic landscape values in the European Alps. Landsc. Urban Plan. 2021, 212, 104109. [Google Scholar] [CrossRef]
- Milligan, C.; Bingley, A. Restorative places or scary spaces? The impact of woodland on the mental well-being of young adults. Health Place. 2007, 13, 799–811. [Google Scholar] [CrossRef]
- Chorong, S.; Harumi, I.; Miho, I.; Michiko, T.; Yoshifumi, M. Physiological and psychological effects of a walk in urban parks in fall. Int. J. Environ. Res. Pub. Health. 2015, 12, 14216–14228. [Google Scholar]
- Bielinis, E.; Lukowski, A.; Mmela, A.; Boiko, S.; Takayama, N.; Grebner, L.D. The effect of recreation in a snow-covered forest environment on the psychological wellbeing of young adults: Randomized controlled study. Forests 2019, 10, 827. [Google Scholar] [CrossRef] [Green Version]
- Lin, B. Research progress of forest litter. J. Ecol. 2004, 1, 60–64. [Google Scholar]
- Chapin, F.S.; Matson, P.A.; Mooney, H.A. Principles of Terrestrial Ecosystem Ecology; Springer: New York, NY, USA, 2011. [Google Scholar]
- Zhu, L. Landscape value of ginkgo biloba and its application in the garden. For. Invent. Plan. 2012, 37, 112–114. [Google Scholar]
- Jing, G.; Yaqiong, W.; Bo, W.; Yan, L.; Fuliang, C.; Guibin, W. The effects of fertilization on the growth and physiological characteristics of Ginkgo biloba L. Forests 2016, 7, 293. [Google Scholar]
- Lin, W.; Chen, Q.; Jiang, M.; Tao, J.; Zeng, Q. Sitting or walking? Analyzing the neural emotional indicators of urban green space behavior with mobile EEG. J. Urban Health 2020, 97, 191–203. [Google Scholar] [CrossRef] [PubMed]
- Zeng, C.; Lyu, B.; Deng, S.; Yu, Y.; Li, N.; Lin, W.; Li, D.; Chen, Q. Benefits of a three-day bamboo forest therapy session on the physiological responses of university students. Int. J. Environ. Res. Pub. Health 2020, 17, 3238. [Google Scholar] [CrossRef]
- Naaa, A.; Lys, A.; Mdmm, A.; Tlr, A.; Fhs, B.; Nmn, C. Effectiveness of urban green space on undergraduates′ stress relief in tropical city: A field experiment in Kuala Lumpur. Urban For. Urban Green. 2021, 63, 127236. [Google Scholar]
- Neale, C.; Aspinall, P.; Roe, J.; Tilley, S.; Mavros, P.; Cinderby, S.; Coyne, R.; Thin, N.; Bennett, G.; Thompson, C.W. The aging urban brain: Analyzing outdoor physical activity using the emotiv affectiv suite in older people. J. Urban Health Bull. N. Y. Acad. Med. 2017, 94, 869–880. [Google Scholar] [CrossRef] [Green Version]
- Huang, J. Summary of plant community survey methods. Biol. Bull. 1992, 5, 45–46. [Google Scholar]
- Daniel, T.C.; Boster, R.S. Measuring Landscape Esthetics; Rocky Mountain Forest and Range Experiment Station: Fort Collins, CO, USA, 1976. [Google Scholar]
- Fredrickson, B.L.; Levenson, R.W. Positive emotions speed recovery from the cardiovascular sequelae of negative emotions. Cognit. Emot. 1998, 12, 191–220. [Google Scholar] [CrossRef] [Green Version]
- Lee, M.-S.; Lee, J.; Park, B.-J.; Miyazaki, Y. Interaction with indoor plants may reduce psychological and physiological stress by suppressing autonomic nervous system activity in young adults: A randomized crossover study. J. Physiol. Anthropol. 2015, 34, 21. [Google Scholar] [CrossRef] [Green Version]
- Ochiai, H.; Ikei, H.; Song, C.; Kobayashi, M.; Takamatsu, A.; Miura, T.; Kagawa, T.; Li, Q.; Kumeda, S.; Imai, M.; et al. Physiological and psychological effects of forest therapy on middle-aged males with high-normal blood pressure. Int. J. Environ. Res. Pub. Health 2015, 12, 2532–2542. [Google Scholar] [CrossRef] [PubMed] [Green Version]
- Yu, C.P.S.; Hsieh, H. Beyond restorative benefits: Evaluating the effect of forest therapy on creativity. Urban For. Urban Green. 2020, 51, 126670. [Google Scholar] [CrossRef]
- Wang, Y.; Jiang, M.; Huang, Y.; Sheng, Z.; Huang, X.; Lin, W.; Chen, Q.; Li, X.; Luo, Z.; Lv, B. Physiological and psychological effects of watching videos of different durations showing urban bamboo forests with varied structures. Int. J. Environ. Res. Pub. Health 2020, 17, 3434. [Google Scholar] [CrossRef] [PubMed]
- Sacchelli, S.; Grilli, G.; Capecchi, I.; Bambi, L.; Borghini, T. Neuroscience application for the analysis of cultural ecosystem services related to stress relief in forest. Forests 2020, 11, 190. [Google Scholar] [CrossRef] [Green Version]
- Norwood, M.F.; Lakhani, A.; Maujean, A.; Zeeman, H.; Kendall, E. Brain activity, underlying mood and the environment: A systematic review. J. Environ. Psychol. 2019, 65, 101321. [Google Scholar] [CrossRef]
- Chang, C.Y.; Hammitt, W.E.; Chen, K.P. Psychophysiological responses and restorative values of natural environments in Taiwan. Landsc. Urban Plan. 2008, 85, 79–84. [Google Scholar] [CrossRef]
- Roe, J.J.; Aspinall, P.A.; Mavros, P.; Coyne, R. Engaging the brain: The impact of natural versus urban scenes using novel EEG methods in an experimental setting. Environ. Sci. 2013, 1, 93–104. [Google Scholar] [CrossRef] [Green Version]
- Hartig, T.; Lindblom, K.; Ovefelt, K. The home and near-home area offer restoration opportunities differentiated by gender. Scand. Hous. Plan. Res. 1998, 15, 283–296. [Google Scholar] [CrossRef]
- Staats, H.; Kieviet, A.; Hartig, T. Where to recover from attentional fatigue: An expectancy-value analysis of environmental preference. J. Environ. Psychol. 2003, 23, 147–157. [Google Scholar] [CrossRef]
- Korpela, K.M.; Ylen, M.; Tyrvainen, L.; Silvennoinen, H. Determinants of restorative experiences in everyday favorite places. Health Place. 2008, 14, 636–652. [Google Scholar] [CrossRef] [Green Version]
- Lin, W.; Chen, Q.; Zhang, X.; Tao, J.; Zeng, C. Effects of different bamboo forest spaces on psychophysiological stress and spatial scale evaluation. Forests 2020, 11, 616. [Google Scholar] [CrossRef]
- Bendezu, J.J.; Thai, M.; Wiglesworth, A.; Cullen, K.R.; Klimes-Dougan, B. Adolescent stress experience-expression-physiology correspondence: Links to depression, self-injurious thoughts and behaviors, and frontolimbic neural circuity. J. Affect. Disord. 2022, 300, 269–279. [Google Scholar] [CrossRef] [PubMed]
- Kazmierski, K.F.M.; Borelli, J.L.; Rao, U. Negative affect, childhood adversity, and adolescent′s eating following stress. Appetite 2022, 168, 105766. [Google Scholar] [CrossRef]
- Stigsdotter, U.K.; Corazon, S.S.; Sidenius, U.; Refshauge, A.D.; Grahn, P. Forest design for mental health promotion—Using perceived sensory dimensions to elicit restorative responses. Landsc. Urban Plan. 2017, 160, 1–15. [Google Scholar] [CrossRef]
- Ahmad, H.; Jiang, T.; Guo, L.; Mingyan, J.; Liu, A.; Jiang, Z.; Liu, Z.; Chen, Q. Effects of walking in bamboo forest and city environments on brainwave activity in young adults. Evid. Based Compl. Altern. Med. 2018, 2018, 9653857. [Google Scholar]
- Wang, R.; Zhao, J.; Meitner, M.J.; Hu, Y.; Xu, X. Characteristics of urban green spaces in relation to aesthetic preference and stress recovery. Urban For. Urban Green. 2019, 41, 6–13. [Google Scholar] [CrossRef]
- White, M.P.; Pahl, S.; Ashbullby, K.; Herbert, S.; Depledge, M.H. Feelings of restoration from recent nature visits. J. Environ. Psychol. 2013, 35, 40–51. [Google Scholar] [CrossRef]
- Jennings, V.; Gragg, R.S.; Brown, C.P.; Hartel, D.; Kondo, M. Structural characteristics of tree cover and the association with cardiovascular and respiratory health in Tampa, FL. J. Urban Health 2019, 96, 669–681. [Google Scholar] [CrossRef]
- Lyu, B.; Zeng, C.; Xie, S.; Li, D.; Lin, W.; Li, N.; Jiang, M.; Liu, S.; Chen, Q. Benefits of a three-day bamboo forest therapy session on the psychophysiology and immune system responses of male college students. Int. J. Environ. Res. Pub. Health 2019, 16, 4991. [Google Scholar] [CrossRef] [PubMed] [Green Version]
- Jia, B.B.; Yang, Z.X.; Mao, G.X.; Lv, Y.D.; Wen, X.L.; Xu, W.L.; Lv, X.L.; Cao, Y.B.; Wang, G.F. Beneficial effect of forest bathing for elderly patients with stable chronic obstructive pulmonary disease. In Proceedings of the Zhejiang Clinical Research Conference and Zhejiang Annual Conference on Clinical Epidemiology and Evidence-based Medicine, HangZhou, China, 12 September 2015. [Google Scholar]
- Juyoung, L. Experimental study on the health benefits of garden landscape. Int. J. Environ. Res. Pub. Health 2017, 14, 829. [Google Scholar]
- Deng, L.; Li, X.; Luo, H.; Fu, E.K.; Jia, Y. Empirical study of landscape types, landscape elements and landscape components of the urban park promoting physiological and psychological restoration. Urban For. Urban Green. 2019, 48, 126488. [Google Scholar] [CrossRef]
- Parsons, R. Conflict between ecological sustainability and environmental aesthetics: Conundrum, canard or curiosity. Landsc. Urban Plan. 1995, 32, 227–244. [Google Scholar] [CrossRef]
- Chiang, Y.C.; Li, D.; Jane, H.A. Wild or tended nature? The effects of landscape location and vegetation density on physiological and psychological responses. Landsc. Urban Plan. 2017, 167, 72–83. [Google Scholar] [CrossRef]
- Jiang, B.; Larsen, L.; Deal, B.; Sullivan, W.C. A dose–response curve describing the relationship between tree cover density and landscape preference. Landsc. Urban Plan. 2015, 139, 16–25. [Google Scholar] [CrossRef]
- Berman, M.G.; Jonides, J.; Kaplan, S. The cognitive benefits of interacting with nature. Psychol. Sci. 2009, 19, 1207–1212. [Google Scholar] [CrossRef] [PubMed]
- Stigsdotter, U.K.; Corazon, S.S.; Sidenius, U.; Kristiansen, J.; Grahn, P. It is not all bad for the grey city—A crossover study on physiological and psychological restoration in a forest and an urban environment. Health Place. 2017, 46, 145–154. [Google Scholar] [CrossRef]
- Hall, E.T. The silent language. Anchor. Books 1980, 38, 87–96. [Google Scholar]
- Choi, J.-S. Life between Buildings: Using Public Space. Rev. Archit. Build. Sci. 2015, 2, 73–74. [Google Scholar]
- Collado, S.; Staats, H.; Sorrel, M.A. A relational model of perceived restorativeness: Intertwined effects of obligations, familiarity, security and parental supervision. J. Environ. Psychol. 2016, 48, 24–32. [Google Scholar] [CrossRef]
- Wilkie, S.; Stavridou, A. Influence of environmental preference and environment type congruence on judgments of restoration potential. Urban For. Urban Green. 2013, 12, 163–170. [Google Scholar] [CrossRef]
- Purcell, T.; Peron, E.; Berto, R. Why do preferences differ between scene types? Environ. Behav. 2001, 33, 93–106. [Google Scholar] [CrossRef]
- Tang, I.C.; Sullivan, W.C.; Chang, C.Y. Perceptual evaluation of natural landscapes. Environ. Behav. 2014, 47, 595–617. [Google Scholar] [CrossRef] [Green Version]
- Paquette, A.; Sousa-Silva, R.; Maure, F.; Cameron, E.; Belluau, M.; Messier, C. Praise for diversity: A functional approach to reduce risks in urban forests. Urban For. Urban Green. 2021, 62, 127157. [Google Scholar] [CrossRef]
- Marcelo, G.T.; Constance, B.; Joseph, M.; Kay, A.; David, Z.; Maarten, V.S.; Adrienne, G.R. Do we have enough recreational spaces during pandemics? An answer based on the analysis of individual mobility patterns in Switzerland. Landsc. Urban Plan. 2022, 221, 104373. [Google Scholar] [CrossRef]
- Barboza, E.P.; Cirach, M.; Khomenko, S.; Iungman, T.; Mueller, N.; Barrera-Gomez, J.; Rojas-Rueda, D.; Kondo, M.; Nieuwenhuijsen, M. Green space and mortality in European cities: A health impact assessment study. Lancet Planet. Health 2021, 5, 718–730. [Google Scholar] [CrossRef]
- De Valck, J.; Vlaeminck, P.; Broekx, S.; Liekens, I.; Aertsens, J.; Chen, W.; Vranken, L. Benefits of clearing forest plantations to restore nature? Evidence from a discrete choice experiment in Flanders, Belgium. Landsc. Urban Plan. 2014, 125, 65–75. [Google Scholar] [CrossRef]
- Lundhede, O.T. An economic valuation of the recreational benefits associated with nature-based forest management practices. Landsc. Urban Plan. 2007, 80, 63–71. [Google Scholar]
- Gao, Y.; Zhang, T.; Zhang, W.; Meng, H.; Zhang, Z. Research on visual behavior characteristics and cognitive evaluation of different types of forest landscape spaces. Urban For. Urban Green. 2020, 54, 126788. [Google Scholar] [CrossRef]
- Barron, S.; Sheppard, S.; Kozak, R.; Dunster, K.; Rayner, J. What do they like about trees? Adding local voices to urban forest design and planning. Trees For. People 2021, 5, 100116. [Google Scholar] [CrossRef]
- Yu, G.A.; Tong, Z.A.; Ks, B.; Mu, B.; Yu, J.A.; Lu, Q.C. The spatial cognition of a forest landscape and its relationship with tourist viewing intention in different walking passage stages. Urban For. Urban Green. 2021, 58, 126975. [Google Scholar]
- Doimo, I.; Gatto, P.; Masiero, M. Forest and wellbeing: Bridging medical and forest research for effective forest-based initiatives. Forests 2020, 11, 791. [Google Scholar] [CrossRef]








| Parameter (Mean ± SD) | 3 November 2020 | 4 November 2020 | 5 November 2020 | ||||||
|---|---|---|---|---|---|---|---|---|---|
| DFIS | DFTS | CS | DFIS | DFTS | CS | DFIS | DFTS | CS | |
| Temperature (°C) | 16.38 ± 1.32 | 16.25 ± 1.25 | 17.11 ± 1.34 | 15.48 ± 1.07 | 15.33 ± 0.75 | 15.86 ± 0.84 | 14.72 ± 1.30 | 14.48 ± 1.12 | 15.66 ± 1.20 |
| Humidity (%) | 69.51 ± 3.17 | 69.02 ± 3.26 | 58.38 ± 1.23 | 74.90 ± 3.15 | 72.8 ± 4.8 | 68.55 ± 4.31 | 84.10 ± 6.57 | 85.21 ± 5.47 | 82.44 ± 3.25 |
| Noise | 51.54 ± 17.45 | 62.39 ± 7.25 | 88.53 ± 12.76 | 56.50 ± 17.36 | 59.91 ± 10.48 | 84.52 ± 6.72 | 61.1 ± 7.28 | 64.38 ± 5.82 | 77.93 ± 7.28 |
| Light intensity | 90.41 ± 64.31 | 95.83 ± 74.71 | 91.26 ± 61.93 | 106.58 ± 31.00 | 136.74 ± 44.23 | 148.17 ± 52.36 | 107.36 ± 44.23 | 116.89 ± 41.40 | 147.20 ± 56.22 |
| Serial Number | Evaluation Indicator | Notes | Scores |
|---|---|---|---|
| 1 | Environmental preference | Preference for environment | 0 1 2 3 4 |
| 2 | Density | Aggregation and density of plants | 0 1 2 3 4 |
| 3 | Height | Perception in vertical view and plant height | 0 1 2 3 4 |
| 4 | Level | Perception in horizontal view and plant width | 0 1 2 3 4 |
| 5 | Overall | Overall feeling regarding entire environment within the scope of vision | 0 1 2 3 4 |
| Rrestorative States Associated with the DFIS | |||||||
| ROS | Pretest | Posttest | z | p | Change Rate | ||
| Mean | S.D. | Mean | S.D. | ||||
| ROS scores | 4.39 | 1.04 | 5.03 | 1.05 | −2.53 | 0.01 * | 0.64 |
| Restorative states associated with the DFTS | |||||||
| ROS | Pretest | Posttest | z | p | Change rate | ||
| Mean | S.D. | Mean | S.D. | ||||
| ROS scores | 4.6 | 1 | 5.31 | 0.87 | −3.1 | 0.00 ** | 0.71 |
| Restorative states associated with the CS | |||||||
| ROS | Pretest | Posttest | z | p | Change rate | ||
| Mean | S.D. | Mean | S.D. | ||||
| ROS scores | 3.39 | 0.9 | 3.14 | 0.79 | −2.55 | 0.06 | −0.25 |
| Physiological and Psychological Indicators | Preference | Density | Height | Level | Overall |
|---|---|---|---|---|---|
| Systolic blood pressure | −0.23 | −0.02 | −0.13 | −0.01 | 0.13 |
| Diastolic blood pressure | −0.16 | 0.03 | −0.01 | 0.02 | 0.28 |
| HR | 0.15 | −0.26 | 0.04 | −0.30 | −0.03 |
| Blood oxygen | −0.05 | 0.08 | −0.26 | −0.01 | −0.34 |
| Positive mood | 0.54 ** | 0.04 | −0.02 | 0.30 | 0.01 * |
| Negative mood | −0.29 | 0.04 | 0.14 | 0.01 | 0.04 |
| TMD | 0.48 ** | 0.07 | 0.17 | −0.13 | 0.00 |
| ROS | 0.17 | 0.01 | −0.23 | 0.10 | −0.11 |
| Engagement | −0.02 | 0.15 | 0.22 | 0.56 ** | 0.19 |
| Excitemrnt | 0.04 | 0.10 | 0.16 | 0.11 | −0.05 |
| Stress | −0.11 | −0.28 | 0.09 | 0.06 | −0.18 |
| Relaxation | −0.29 | −0.41 ** | −0.37 * | −0.43 ** | −0.18 |
| Interest | −0.18 | −0.39 * | −0.13 | −0.41 ** | −0.09 |
| Focus | −0.17 | 0.31 | 0.31 | −0.31 * | −0.17 |
Publisher’s Note: MDPI stays neutral with regard to jurisdictional claims in published maps and institutional affiliations. |
© 2022 by the authors. Licensee MDPI, Basel, Switzerland. This article is an open access article distributed under the terms and conditions of the Creative Commons Attribution (CC BY) license (https://creativecommons.org/licenses/by/4.0/).
Share and Cite
Wu, L.; Dong, Q.; Luo, S.; Li, Y.; Liu, Y.; Li, J.; Zhu, Z.; He, M.; Luo, Y.; Chen, Q. An Empirical Study of the Restoration Potential of Urban Deciduous Forest Space to Youth. Int. J. Environ. Res. Public Health 2022, 19, 3453. https://doi.org/10.3390/ijerph19063453
Wu L, Dong Q, Luo S, Li Y, Liu Y, Li J, Zhu Z, He M, Luo Y, Chen Q. An Empirical Study of the Restoration Potential of Urban Deciduous Forest Space to Youth. International Journal of Environmental Research and Public Health. 2022; 19(6):3453. https://doi.org/10.3390/ijerph19063453
Chicago/Turabian StyleWu, Linjia, Qidi Dong, Shixian Luo, Yanling Li, Yuzhou Liu, Jiani Li, Zhixian Zhu, Mingliang He, Yuhang Luo, and Qibing Chen. 2022. "An Empirical Study of the Restoration Potential of Urban Deciduous Forest Space to Youth" International Journal of Environmental Research and Public Health 19, no. 6: 3453. https://doi.org/10.3390/ijerph19063453
APA StyleWu, L., Dong, Q., Luo, S., Li, Y., Liu, Y., Li, J., Zhu, Z., He, M., Luo, Y., & Chen, Q. (2022). An Empirical Study of the Restoration Potential of Urban Deciduous Forest Space to Youth. International Journal of Environmental Research and Public Health, 19(6), 3453. https://doi.org/10.3390/ijerph19063453

