Data-Driven Prediction for COVID-19 Severity in Hospitalized Patients
Abstract
1. Introduction
2. Materials and Methods
2.1. Data Sources
2.2. Features
- (1)
 - Demographic features included the blood type, age, and gender of the patients admitted with COVID-19. In addition, height and weight were used to compute the Body Mass Index (BMI) as a demographic feature.
 - (2)
 - Vital signs included body temperature (axillary and oral temperature), heart rate, and oxygen saturation at admission. Maximum heart rate, body temperature, and respiratory rate, as well as the minimum oxygen for a 24-h interval after admission, were recorded and considered.
 - (3)
 - PCR cycle threshold (Ct) value was used to categorize patients in terms of the viral load associated with the COVID-19 infection. Ct ≥ 34 was categorized as low viral load, 26 ≤ Ct < 34 was categorized as medium viral load, and Ct < 26 was categorized as high viral load. The Ct value taken was the closest before time of admission.
 - (4)
 - Health conditions of patients admitted with COVID-19 included 12 such conditions that were used to describe the admitted patients. These conditions included information about specific chronic diseases and major treatments. Chronic diseases considered included diabetes mellitus, hypertension, cancer, heart failure, coronary arterial disease, chronic lung and kidney diseases, and human immunodeficiency virus (HIV) infection. Furthermore, information about patients with obesity, chronic use of steroids, solid organ stem cell transplant, and treatment with chemotherapy for cancer was also considered. Each of these health conditions was evaluated independently, using a flag of Yes/No to represent the presence/absence for each of them, respectively.
 - (5)
 - Severe acute respiratory infection (SARI) risk exposure which included two risk levels. The first, directly exposed persons, included persons who were within two meters of an asymptomatic patient without the use of an respiratory mask and without considering droplet and contact precautions. The other type of exposure risk is denoted by non-directly exposed persons, including those who stayed in the same environment with an asymptomatic patient before implementing airborne transmission precautions while implementing droplet and contact precautions. Based on this criterion, patients were categorized into directly exposed (34%), indirectly exposed (16%), and unknown (46%) groups. Unlike other features which were recorded by the EMR system, this feature is patient reported data.
 
2.3. Data Preprocessing and Preparation
2.4. Prediction Philosophy and Classification Models
2.4.1. Multinomial Logistic Regression (MLR)
2.4.2. Random Forest (RF)
2.4.3. Extreme Gradient Boosting (XGBoost)
2.4.4. Extremely Randomized Trees (Extra Trees)
2.5. Evaluation of Prediction Results
3. Experiments and Results
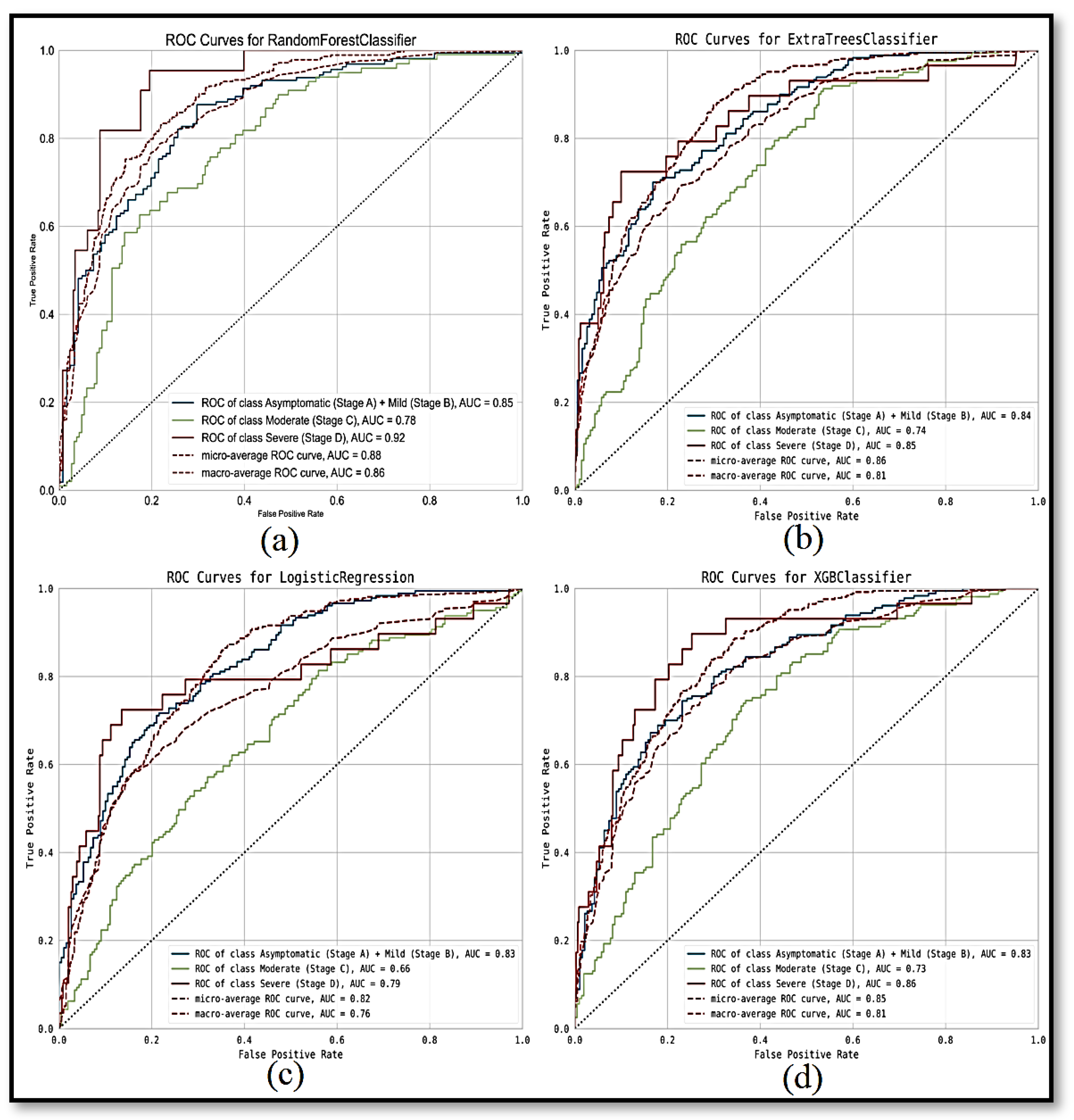
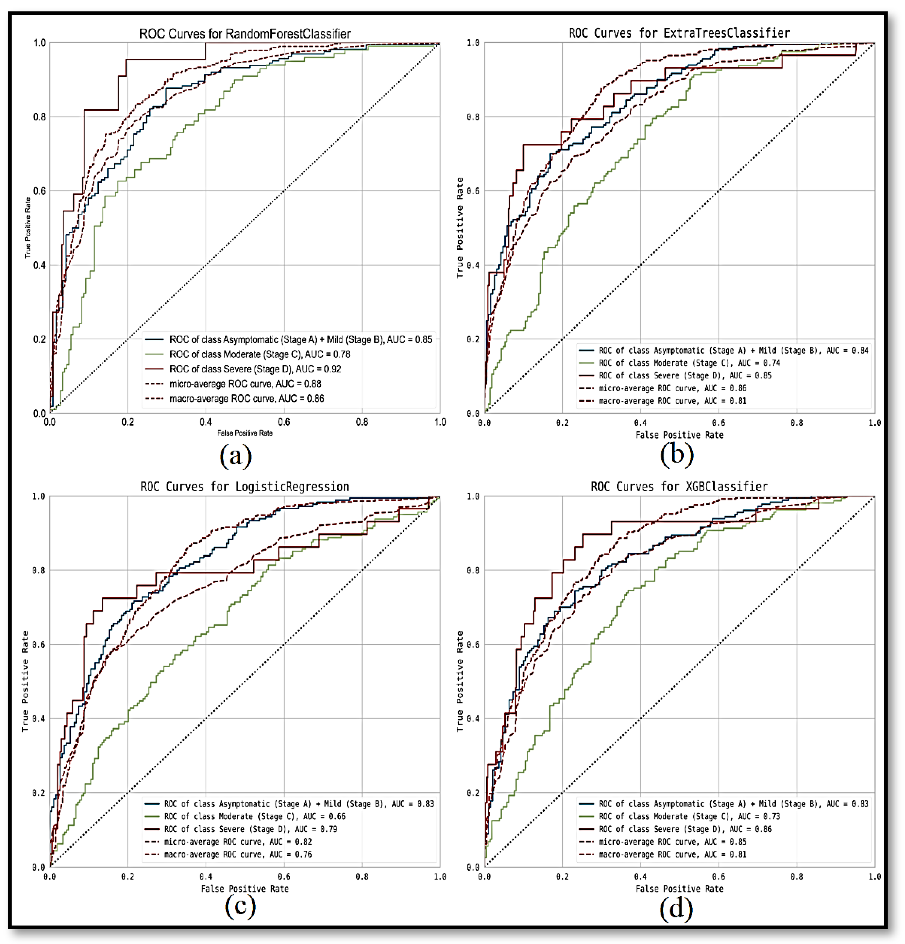
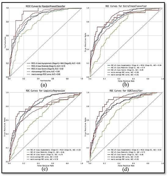
3.1. Classification Performance over Test Set of Patients
3.2. Implementation and Evaluation over Prospective Validation Data
3.3. Feature Importance in Predicting COVID-19 Severity
4. Discussion
5. Conclusions and Future Work
Author Contributions
Funding
Institutional Review Board Statement
Informed Consent Statement
Data Availability Statement
Conflicts of Interest
Correction Statement
References
- Richardson, S.; Hirsch, J.S.; Narasimhan, M.; Crawford, J.M.; McGinn, T.; Davidson, K.W.; Barnaby, D.P.; Becker, L.B.; Chelico, J.D.; Cohen, S.L.; et al. Presenting characteristics, comorbidities, and outcomes among 5700 patients hospitalized with COVID-19 in the New York City area. JAMA 2020, 323, 2052–2059. [Google Scholar] [CrossRef]
 - Fauci, A.S.; Lane, H.C.; Redfield, R.R. Covid-19—Navigating the Uncharted. N. Engl. J. Med. 2020, 382, 1268–1269. [Google Scholar] [CrossRef] [PubMed]
 - Zhou, F.; Yu, T.; Du, R.; Fan, G.; Liu, Y.; Liu, Z.; Xiang, J.; Wang, Y.; Song, B.; Gu, X.; et al. Clinical course and risk factors for mortality of adult inpatients with COVID-19 in Wuhan, China: A retrospective cohort study. Lancet 2020, 395, 1054–1062. [Google Scholar] [CrossRef]
 - Wu, Z.; McGoogan, J.M. Characteristics of and important lessons from the coronavirus disease 2019 (COVID-19) outbreak in China: Summary of a report of 72314 cases from the Chinese Center for Disease Control and Prevention. JAMA 2020, 323, 1239–1242. [Google Scholar] [CrossRef] [PubMed]
 - He, X.; Lau, E.H.; Wu, P.; Deng, X.; Wang, J.; Hao, X.; Lau, Y.C.; Wong, J.Y.; Guan, Y.; Tan, X.; et al. Temporal dynamics in viral shedding and transmissibility of COVID-19. Nat. Med. 2020, 26, 672–675. [Google Scholar] [CrossRef] [PubMed]
 - Lauer, S.A.; Grantz, K.H.; Bi, Q.; Jones, F.K.; Zheng, Q.; Meredith, H.R.; Azman, A.S.; Reich, N.G.; Lessler, J. The incubation period of coronavirus disease 2019 (COVID-19) from publicly reported confirmed cases: Estimation and application. Ann. Intern. Med. 2020, 172, 577–582. [Google Scholar] [CrossRef] [PubMed]
 - Dong, E.; Du, H.; Gardner, L. An interactive web-based dashboard to track COVID-19 in real time. Lancet Infect. Dis. 2020, 20, 533–534. [Google Scholar] [CrossRef]
 - Arabi, Y.M.; Murthy, S.; Webb, S. COVID-19: A novel coronavirus and a novel challenge for critical care. Intensive Care Med. 2020, 46, 833–836. [Google Scholar] [CrossRef] [PubMed]
 - Giacomo, G.; Antonio, P.; Cecconi, M. Critical care utilization for the COVID-19 outbreak in Lombardy, Italy: Early experience and forecast during an emergency response. JAMA 2020, 323, 1545–1546. [Google Scholar] [CrossRef]
 - Xie, J.; Tong, Z.; Guan, X.; Du, B.; Qiu, H.; Slutsky, A.S. Critical care crisis and some recommendations during the COVID-19 epidemic in China. Intensive Care Med. 2020, 46, 837–840. [Google Scholar] [CrossRef] [PubMed]
 - Our World in Data. Coronavirus (COVID-19) Vaccinations. 2022. Available online: https://ourworldindata.org/covid-vaccinations (accessed on 15 February 2022).
 - Lopez Bernal, J.; Andrews, N.; Gower, C.; Gallagher, E.; Simmons, R.; Thelwall, S.; Stowe, J.; Tessier, E.; Groves, N.; Dabrera, G.; et al. Effectiveness of Covid-19 Vaccines against the B.1.617.2 (Delta) Variant. N. Engl. J. Med. 2021, 385, 585–594. [Google Scholar] [CrossRef]
 - Evans, S.J.; Jewell, N.P. Vaccine Effectiveness Studies in the Field. N. Engl. J. Med. 2021, 385, 650–651. [Google Scholar] [CrossRef] [PubMed]
 - Wynants, L.; Van Calster, B.; Collins, G.S.; Riley, R.D.; Heinze, G.; Schuit, E.; Bonten, M.M.; Dahly, D.L.; Damen, J.A.; Debray, T.P.; et al. Prediction models for diagnosis and prognosis of COVID-19: Systematic review and critical appraisal. BMJ 2020, 369, m1328. [Google Scholar] [CrossRef] [PubMed]
 - Williamson, E.J.; Walker, A.J.; Bhaskaran, K.; Bacon, S.; Bates, C.; Morton, C.E.; Curtis, H.J.; Mehrkar, A.; Evans, D.; Inglesby, P.; et al. Factors associated with COVID-19-related death using OpenSAFELY. Nature 2020, 584, 430–436. [Google Scholar] [CrossRef]
 - DeCaprio, D.; Gartner, J.; Burgess, T.; Garcia, K.; Kothari, S.; Sayed, S.; McCall, C.J. Building a COVID-19 vulnerability index. arXiv 2020, arXiv:2003.07347. [Google Scholar] [CrossRef]
 - Wongvibulsin, S.; Garibaldi, B.T.; Antar, A.A.; Wen, J.; Wang, M.C.; Gupta, A.; Bollinger, R.; Xu, Y.; Wang, K.; Betz, J.F.; et al. Development of severe COVID-19 adaptive risk predictor (SCARP), a calculator to predict severe disease or death in hospitalized patients with COVID-19. Ann. Intern. Med. 2021, 174, 777–785. [Google Scholar] [CrossRef] [PubMed]
 - Liang, W.; Liang, H.; Ou, L.; Chen, B.; Chen, A.; Li, C.; Li, Y.; Guan, W.; Sang, L.; Lu, J.; et al. Development and validation of a clinical risk score to predict the occurrence of critical illness in hospitalized patients with COVID-19. JAMA Intern. Med. 2020, 180, 1081–1089. [Google Scholar] [CrossRef] [PubMed]
 - Petrilli, C.M.; Jones, S.A.; Yang, J.; Rajagopalan, H.; O’Donnell, L.; Chernyak, Y.; Tobin, K.A.; Cerfolio, R.J.; Francois, F.; Horwitz, L.I. Factors associated with hospital admission and critical illness among 5279 people with coronavirus disease 2019 in New York City: Prospective cohort study. BMJ 2020, 369, m1966. [Google Scholar] [CrossRef]
 - Garibaldi, B.T.; Fiksel, J.; Muschelli, J.; Robinson, M.L.; Rouhizadeh, M.; Perin, J.; Schumock, G.; Nagy, P.; Gray, J.H.; Malapati, H.; et al. Patient trajectories among persons hospitalized for COVID-19: A cohort study. Ann. Intern. Med. 2021, 174, 33–41. [Google Scholar] [CrossRef]
 - Yan, L.; Zhang, H.T.; Goncalves, J.; Xiao, Y.; Wang, M.; Guo, Y.; Sun, C.; Tang, X.; Jing, L.; Zhang, M.; et al. An interpretable mortality prediction model for COVID-19 patients. Nat. Mach. Intell. 2020, 2, 283–288. [Google Scholar] [CrossRef]
 - Statsenko, Y.; Al Zahmi, F.; Habuza, T.; Neidl-Van Gorkom, K.; Zaki, N. Prediction of COVID-19 severity using laboratory findings on admission: Informative values, thresholds, ML model performance. BMJ Open 2021, 11, e044500. [Google Scholar] [CrossRef] [PubMed]
 - Gao, Y.; Li, T.; Han, M.; Li, X.; Wu, D.; Xu, Y.; Zhu, Y.; Liu, Y.; Wang, X.; Wang, L. Diagnostic utility of clinical laboratory data determinations for patients with the severe COVID-19. J. Med. Virol. 2020, 92, 791–796. [Google Scholar] [CrossRef] [PubMed]
 - Zhou, R.; Li, F.; Chen, F.; Liu, H.; Zheng, J.; Lei, C.; Wu, X. Viral dynamics in asymptomatic patients with COVID-19. Int. J. Infect. Dis. 2020, 96, 288–290. [Google Scholar] [CrossRef] [PubMed]
 - Sun, H.; Jain, A.; Leone, M.J.; Alabsi, H.S.; Brenner, L.N.; Ye, E.; Ge, W.; Shao, Y.P.; Boutros, C.L.; Wang, R.; et al. CoVA: An acuity score for outpatient screening that predicts coronavirus disease 2019 prognosis. J. Infect. Dis. 2021, 223, 38–46. [Google Scholar] [CrossRef] [PubMed]
 - Alswailem, O.A.; Horanieh, B.K.; AlAbbad, A.; AlMuhaideb, S.; AlMuhanna, A.; AlQuaid, M.; ElMoaqet, H.; Abuzied, N.; AbuSalah, A. COVID-19 Intelligence-Driven Operational Response Platform: Experience of a Large Tertiary Multihospital System in the Middle East. Diagnostics 2021, 11, 2283. [Google Scholar] [CrossRef] [PubMed]
 - National Institutes of Health. COVID-19 Treatment Guidelines Panel. Coronavirus Disease 2019 (COVID-19) Treatment Guidelines. 2021. Available online: https://www.covid19treatmentguidelines.nih.gov (accessed on 15 December 2021).
 - Mack, C.; Su, Z.; Westreich, D. Managing Missing Data in Patient Registries: Addendum to Registries for Evaluating Patient Outcomes: A User’s Guide, 3rd ed.; Agency for Healthcare Research and Quality: Rockville, MD, USA, 2018.
 - Böhning, D. Multinomial logistic regression algorithm. Ann. Inst. Stat. Math. 1992, 44, 197–200. [Google Scholar] [CrossRef]
 - Li, J.; Bioucas-Dias, J.M.; Plaza, A. Semisupervised hyperspectral image segmentation using multinomial logistic regression with active learning. IEEE Trans. Geosci. Remote Sens. 2010, 48, 4085–4098. [Google Scholar] [CrossRef]
 - Nocedal, J. Updating quasi-Newton matrices with limited storage. Math. Comput. 1980, 35, 773–782. [Google Scholar] [CrossRef]
 - Breiman, L. Random Forest. Mach. Learn. 2001, 45, 5–32. [Google Scholar] [CrossRef]
 - Breiman, L. Bagging predictors. Mach. Learn. 1996, 24, 123–140. [Google Scholar] [CrossRef]
 - Fawagreh, K.; Gaber, M.M.; Elyan, E. Random forests: From early developments to recent advancements. Syst. Sci. Control. Eng. Open Access J. 2014, 2, 602–609. [Google Scholar] [CrossRef]
 - Chen, T.; Guestrin, C. Xgboost: A scalable tree boosting system. In Proceedings of the 22nd Acm Sigkdd International Conference on Knowledge Discovery and Data Mining, San Francisco, CA, USA, 13–17 August 2016; pp. 785–794. [Google Scholar]
 - Friedman, J.H. Greedy function approximation: A gradient boosting machine. Ann. Stat. 2001, 29, 1189–1232. [Google Scholar] [CrossRef]
 - Geurts, P.; Ernst, D.; Wehenkel, L. Extremely Randomized Trees. Mach. Learn. 2006, 63, 3–42. [Google Scholar] [CrossRef]
 - Zweig, M.H.; Campbell, G. Receiver-Operating Characteristic (ROC) Plots: A Fundamental Evaluation Tool in Clinical Medicine. Clin. Chem. 1993, 39, 561–577. [Google Scholar] [CrossRef] [PubMed]
 - Genuer, R.; Poggi, J.M.; Tuleau-Malot, C. Variable selection using random forests. Pattern Recognit. Lett. 2010, 31, 2225–2236. [Google Scholar] [CrossRef]
 - Strobl, C.; Boulesteix, A.L.; Zeileis, A.; Hothorn, T. Bias in random forest variable importance measures: Illustrations, sources and a solution. BMC Bioinform. 2007, 8, 25. [Google Scholar] [CrossRef]
 - Bai, X.; Fang, C.; Zhou, Y.; Bai, S.; Liu, Z.; Xia, L.; Chen, Q.; Xu, Y.; Xia, T.; Gong, S.; et al. Predicting COVID-19 Malignant Progression with AI Techniques. 2020. Available online: https://ssrn.com/abstract=3557984 (accessed on 15 February 2022).
 - Gong, J.; Ou, J.; Qiu, X.; Jie, Y.; Chen, Y.; Yuan, L.; Cao, J.; Tan, M.; Xu, W.; Zheng, F.; et al. A tool for early prediction of severe coronavirus disease 2019 (COVID-19): A multicenter study using the risk nomogram in Wuhan and Guangdong, China. Clin. Infect. Dis. 2020, 71, 833–840. [Google Scholar] [CrossRef] [PubMed]
 - Yue, H.; Yu, Q.; Liu, C.; Huang, Y.; Jiang, Z.; Shao, C.; Zhang, H.; Ma, B.; Wang, Y.; Xie, G.; et al. Machine learning-based CT radiomics method for predicting hospital stay in patients with pneumonia associated with SARS-CoV-2 infection: A multicenter study. Ann. Transl. Med. 2020, 8, 859. [Google Scholar] [CrossRef]
 - Shi, Y.; Yu, X.; Zhao, H.; Wang, H.; Zhao, R.; Sheng, J. Host susceptibility to severe COVID-19 and establishment of a host risk score: Findings of 487 cases outside Wuhan. Crit. Care 2020, 24, 108. [Google Scholar] [CrossRef]
 - Xie, J.; Hungerford, D.; Chen, H.; Abrams, S.T.; Li, S.; Wang, G.; Wang, Y.; Kang, H.; Bonnett, L.; Zheng, R.; et al. Development and External Validation of a Prognostic Multivariable Model on Admission for Hospitalized Patients with COVID-19. 2020. Available online: https://ssrn.com/abstract=3562456 (accessed on 15 February 2022).
 - Yan, L.; Zhang, H.; Goncalves, J.; Xiao, Y.; Wang, M.; Guo, Y.; Sun, C.; Tang, X.; Jin, L.; Zhang, M.; et al. A Machine Learning-Based Model for Survival Prediction in Patients with Severe COVID-19 Infection; Cold Spring Harbor Laboratory: Cold Spring Harbor, NY, USA, 2020. [Google Scholar]
 - Yuan, M.; Yin, W.; Tao, Z.; Tan, W.; Hu, Y. Association of radiologic findings with mortality of patients infected with 2019 novel coronavirus in Wuhan, China. PLoS ONE 2020, 15, e0230548. [Google Scholar] [CrossRef]
 - Huang, H.; Cai, S.; Li, Y.; Li, Y.; Fan, Y.; Li, L.; Lei, C.; Tang, X.; Hu, F.; Li, F.; et al. Prognostic factors for covid-19 pneumonia progression to severe symptoms based on earlier clinical features: A retrospective analysis. Front. Med. 2020, 7, 643. [Google Scholar] [CrossRef]
 - Pourhomayoun, M.; Shakibi, M. Predicting mortality risk in patients with COVID-19 using machine learning to help medical decision-making. Smart Health 2021, 20, 100178. [Google Scholar] [CrossRef] [PubMed]
 - Sarkar, J.; Chakrabarti, P. A machine learning model reveals older age and delayed hospitalization as predictors of mortality in patients with COVID-19. medRxiv 2020, 30. [Google Scholar] [CrossRef]
 - Wang, S.; Zha, Y.; Li, W.; Wu, Q.; Li, X.; Niu, M.; Wang, M.; Qiu, X.; Li, H.; Yu, H.; et al. A fully automatic deep learning system for COVID-19 diagnostic and prognostic analysis. Eur. Respir. J. 2020, 56, 2000775. [Google Scholar] [CrossRef] [PubMed]
 - Zeng, L.; Li, J.; Liao, M.; Hua, R.; Huang, P.; Zhang, M.; Zhang, Y.; Shi, Q.; Xia, Z.; Ning, X.; et al. Risk assessment of progression to severe conditions for patients with COVID-19 pneumonia: A single-center retrospective study. medRxiv 2020. [Google Scholar] [CrossRef]
 - Alkaabi, S.; Alnuaimi, A.; Alharbi, M.; Amari, M.A.; Ganapathy, R.; Iqbal, I.; Nauman, J.; Oulhaj, A. A clinical risk score to predict in-hospital mortality in critically ill patients with COVID-19: A retrospective cohort study. BMJ Open 2021, 11, e048770. [Google Scholar] [CrossRef] [PubMed]
 - Gasparini, A. comorbidity: An R package for computing comorbidity scores. J. Open Source Softw. 2018, 3, 648. [Google Scholar] [CrossRef]
 - Wang, D.; Hu, B.; Hu, C.; Zhu, F.; Liu, X.; Zhang, J.; Wang, B.; Xiang, H.; Cheng, Z.; Xiong, Y.; et al. Clinical characteristics of 138 hospitalized patients with 2019 novel coronavirus-infected pneumonia in Wuhan, China. JAMA 2020, 323, 1061–1069. [Google Scholar] [CrossRef] [PubMed]
 - Guan, W.J.; Ni, Z.Y.; Hu, Y.; Liang, W.H.; Ou, C.Q.; He, J.X.; Liu, L.; Shan, H.; Lei, C.L.; Hui, D.S.; et al. Clinical characteristics of coronavirus disease 2019 in China. N. Engl. J. Med. 2020, 382, 1708–1720. [Google Scholar] [CrossRef] [PubMed]
 - Cai, Q.; Chen, F.; Wang, T.; Luo, F.; Liu, X.; Wu, Q.; He, Q.; Wang, Z.; Liu, Y.; Liu, L.; et al. Obesity and COVID-19 severity in a designated hospital in Shenzhen, China. Diabetes Care 2020, 43, 1392–1398. [Google Scholar] [CrossRef]
 - ElMoaqet, H.; Tilbury, D.M.; Ramachandran, S.K. Predicting oxygen saturation levels in blood using autoregressive models: A threshold metric for evaluating predictive models. In Proceedings of the 2013 American Control Conference, Washington, DC, USA, 17–19 June 2013; pp. 734–739. [Google Scholar]
 - Kim, J.; ElMoaqet, H.; Tilbury, D.M.; Ramachandran, S.K.; Penzel, T. Time domain characterization for sleep apnea in oronasal airflow signal: A dynamic threshold classification approach. Physiol. Meas. 2019, 40, 054007. [Google Scholar] [CrossRef] [PubMed]
 - ElMoaqet, H.; Kim, J.; Tilbury, D.; Ramachandran, S.K.; Ryalat, M.; Chu, C.H. Gaussian mixture models for detecting sleep apnea events using single oronasal airflow record. Appl. Sci. 2020, 10, 7889. [Google Scholar] [CrossRef]
 




| Model | Hyperparameter | Best Selection | 
|---|---|---|
| MLR | Reg. penalty | L2 Norm | 
| Reg. Coeff. | 1 | |
| RF | max_depth | 60 | 
| max_features | Auto | |
| n_estimators | 800 | |
| XGBoost | learning_rate | 0.1 | 
| max_depth | 9 | |
| n_estimators | 100 | |
| Extra Trees | max_depth | 100 | 
| n_estimators | 500 | |
| min_samples_split | 5 | 
| / Results Using Test Patient Data | |||||
|---|---|---|---|---|---|
| Model | Stage | Stage | Stage | Micro-avg. | Macro-avg. | 
| MLR | 0.83 | 0.66 | 0.78 | 0.82 | 0.76 | 
| XGBoost | 0.82 | 0.72 | 0.88 | 0.85 | 0.81 | 
| Extra Trees | 0.84 | 0.73 | 0.85 | 0.86 | 0.81 | 
| RF | 0.86 | 0.75 | 0.88 | 0.87 | 0.83 | 
| RF Classification Performance over Validation Set | |||
|---|---|---|---|
| Severity Stage | -Score | ||
| Stage A (Asymptomatic) + Stage B (Mild) | 90% | 75.0% | 81.8% | 
| Stage C (Moderate) | 78.4% | 69.0% | 73.4% | 
| Stage D (Severe) | 78.9% | 97.8% | 87.4% | 
Publisher’s Note: MDPI stays neutral with regard to jurisdictional claims in published maps and institutional affiliations.  | 
© 2022 by the authors. Licensee MDPI, Basel, Switzerland. This article is an open access article distributed under the terms and conditions of the Creative Commons Attribution (CC BY) license (https://creativecommons.org/licenses/by/4.0/).
Share and Cite
Alrajhi, A.A.; Alswailem, O.A.; Wali, G.; Alnafee, K.; AlGhamdi, S.; Alarifi, J.; AlMuhaideb, S.; ElMoaqet, H.; AbuSalah, A. Data-Driven Prediction for COVID-19 Severity in Hospitalized Patients. Int. J. Environ. Res. Public Health 2022, 19, 2958. https://doi.org/10.3390/ijerph19052958
Alrajhi AA, Alswailem OA, Wali G, Alnafee K, AlGhamdi S, Alarifi J, AlMuhaideb S, ElMoaqet H, AbuSalah A. Data-Driven Prediction for COVID-19 Severity in Hospitalized Patients. International Journal of Environmental Research and Public Health. 2022; 19(5):2958. https://doi.org/10.3390/ijerph19052958
Chicago/Turabian StyleAlrajhi, Abdulrahman A., Osama A. Alswailem, Ghassan Wali, Khalid Alnafee, Sarah AlGhamdi, Jhan Alarifi, Sarab AlMuhaideb, Hisham ElMoaqet, and Ahmad AbuSalah. 2022. "Data-Driven Prediction for COVID-19 Severity in Hospitalized Patients" International Journal of Environmental Research and Public Health 19, no. 5: 2958. https://doi.org/10.3390/ijerph19052958
APA StyleAlrajhi, A. A., Alswailem, O. A., Wali, G., Alnafee, K., AlGhamdi, S., Alarifi, J., AlMuhaideb, S., ElMoaqet, H., & AbuSalah, A. (2022). Data-Driven Prediction for COVID-19 Severity in Hospitalized Patients. International Journal of Environmental Research and Public Health, 19(5), 2958. https://doi.org/10.3390/ijerph19052958
        
                                                
