Processing of Distillery Stillage to Recover Phenolic Compounds with Ultrasound-Assisted and Microwave-Assisted Extractions
Abstract
:1. Introduction
2. Materials and Methods
2.1. Sample Preparation
2.2. Extraction Procedure
2.3. Determination of Total Polyphenol Content (TPC) and Total Flavonoid Content (TFC)
2.4. Determination of Phenolic Acid Content
2.5. Antioxidant Activity
2.5.1. ABTS Radical Scavenging Assay
2.5.2. DPPH Radical Scavenging Assay
2.5.3. FRAP Assay
2.6. Calculations and Statistical Analysis
3. Results and Discussion
3.1. Polyphenol Extraction Assisted by Microwaves and Ultrasounds
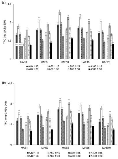
3.1.1. Effect of Extraction Time on Polyphenol Recovery
3.1.2. Effect of Solid-to-Solvent Ratio on Polyphenol Recovery
3.1.3. Effect of Solvent Concentration on Polyphenol Recovery
3.1.4. pH and ST of the Extracts
3.2. Phenolic Acids
3.2.1. Content of Phenolic Acids in the Extracts
3.2.2. Kinetics of UAE and MAE
3.3. Antioxidant Activity
3.4. Should UAE or MAE Be Chosen for Polyphenol Recovery?
4. Conclusions and Future Perspectives
Supplementary Materials
Author Contributions
Funding
Institutional Review Board Statement
Informed Consent Statement
Data Availability Statement
Acknowledgments
Conflicts of Interest
References
- Fito, J.; Tefera, N.; Kloos, H.; Van Hulle, S.W. Physicochemical properties of the sugar industry and ethanol distillery wastewater and their impact on the environment. Sugar Tech 2019, 21, 265–277. [Google Scholar] [CrossRef]
- Klopfenstein, T.J.; Erickson, G.E.; Bremer, V.R. Board-Invited Review: Use of distillers by-products in the beef cattle feeding industry. J. Anim. Sci. 2008, 86, 1223–1231. [Google Scholar] [CrossRef]
- Caruso, M.C.; Braghieri, A.; Capece, A.; Napolitano, F.; Romano, P.; Galgano, F.; Altieri, G.; Genovese, F. Recent updates on the use of agro-food waste for biogas production. Appl. Sci. 2019, 9, 1217. [Google Scholar] [CrossRef] [Green Version]
- Vinatoru, M.; Mason, T.J.; Calinescu, I. Ultrasonically assisted extraction (UAE) and microwave assisted extraction (MAE) of functional compounds from plant materials. TrAC-Trend Anal. Chem. 2017, 9, 159–178. [Google Scholar] [CrossRef]
- Kumar, N.; Goel, N. Phenolic acids: Natural versatile molecules with promising therapeutic applications. Biotechnol. Rep. 2019, 24, e00370. [Google Scholar] [CrossRef] [PubMed]
- Farcas, A.; Dretcanu, G.; Pop, T.D.; Enaru, B.; Socaci, S.; Diaconeasa, Z. Cereal processing by-products as rich sources of phenolic compounds and their potential bioactivities. Nutrients 2021, 13, 3934. [Google Scholar] [CrossRef]
- de Araujo, F.F.; de Paulo Farias, D.; Neri-Numa, I.A.; Pastore, G.M. Polyphenols and their applications: An approach in food chemistry and innovation potential. Food Chem. 2020, 338, 127535. [Google Scholar] [CrossRef]
- Smuda, S.S.; Mohsen, S.M.; Olsen, K.; Aly, M.H. Bioactive compounds and antioxidant activities of some cereal milling by-products. J. Food Sci. Technol. 2018, 55, 1134–1142. [Google Scholar] [CrossRef] [Green Version]
- Awika, J.M.; Rooney, L.W.; Wu, X.; Prior, R.L.; Cisneros-Zevallos, J. Screening methods to measure antioxidant activity of sorghum (sorghum bicolor) and sorghum products. J. Agric. Food Chem. 2003, 51, 6657–6662. [Google Scholar] [CrossRef]
- Granados-Guzman, G.; Salazar-Aranda, R.; Garza-Tapia, M.; Castro-Rios, R.; Waksman de Torres, N. Optimization and validation of two high-throughput methods indicating antiradical activity. Curr. Anal. Chem. 2017, 13, 499–507. [Google Scholar] [CrossRef] [Green Version]
- Yu, L.; Nanguet, A.L.; Beta, T. Comparison of antioxidant properties of refined and whole wheat flour and bread. Antioxidants 2013, 26, 370–383. [Google Scholar] [CrossRef] [Green Version]
- Vilkhu, K.; Mawson, R.; Simons, L.; Bates, D. Applications and opportunities for ultrasound assisted extraction in the food industry—A review. Innov. Food Sci. Emerg. Technol. 2008, 9, 161–169. [Google Scholar] [CrossRef]
- Khan, T.; Zahid, M.; Asim, M.; Hussan, S.; Iqbal, Z.; Choudhary, M.I.; Ahmad, V.U. Pharmacological activities of crude acetone extract and purified constituents of Salvia moorcraftiana Wall. Phytomedicine 2002, 9, 749–752. [Google Scholar] [CrossRef] [PubMed]
- Sasmal, S.; Majumdar, S.; Gupta, M.; Mukherjee, A.; Mukherjee, P.K. Pharmacognostical, phytochemical and pharmacological evaluation for the antipyretic effect of the seeds of Saraca asoca Roxb. Asian Pac. J. Trop. Biomed. 2012, 2, 782–786. [Google Scholar] [CrossRef] [Green Version]
- Moreira, M.M.; Morais, S.; Barros, A.A.; Delerue-Matos, C.; Guido, L.F. A novel application of microwave-assisted extraction of polyphenols from brewer’s spent grain with HPLC-DAD-MS analysis. Anal. Bioanal. Chem. 2012, 403, 1019–1029. [Google Scholar] [CrossRef] [Green Version]
- Guido, L.F.; Moreira, M.M. Techniques for extraction of brewer’s spent grain polyphenols: A review. Food Bioprocess. Technol. 2017, 10, 1192–1209. [Google Scholar] [CrossRef] [Green Version]
- Nayak, B.; Dahmoune, F.; Moussi, K.; Remini, H.; Dairi, S.; Aoun, O.; Khodir, M. Comparison of microwave, ultrasound and accelerated-assisted solvent extraction for recovery of polyphenols from Citrus sinensis peels. Food Chem. 2015, 15, 507–516. [Google Scholar] [CrossRef]
- Cherif, M.M.; Grigorakis, S.; Halahlah, A.; Loupassaki, S.; Makris, D.P. High-efficiency extraction of phenolics from wheat waste biomass (bran) by combining deep eutectic solvent, ultrasound-assisted pretreatment and thermal treatment. Environ. Process. 2020, 7, 845–859. [Google Scholar] [CrossRef]
- Vu, H.T.; Scarlett, C.J.; Vuong, Q.V. Maximising recovery of phenolic compounds and antioxidant properties from banana peel using microwave assisted extraction and water. J. Food Sci. Technol. 2019, 56, 1360–1370. [Google Scholar] [CrossRef]
- Wang, L.; Wang, A. Adsorption properties of congo red from aqueous solution onto N,O-carboxymethyl-chitosan. Bioresour. Technol. 2008, 99, 1403–1408. [Google Scholar] [CrossRef]
- Kim, K.H.; Tsao, R.; Yang, R.; Cui, S.W. Phenolic acid profiles and antioxidant activities of wheat bran extracts and the effect of hydrolysis conditions. Food Chem. 2006, 95, 466–473. [Google Scholar] [CrossRef]
- Singletion, V.L.; Orthofer, R.; Lamuela-Raventos, R.M. 14 Analysis of total phenols and other oxidation substrates and antioxidants by means of Folin-Ciocalteu reagent. Methods Enzymol. 1999, 299, 152–178. [Google Scholar]
- Quettier-Deleu, C.; Gressier, B.; Vesseur, J.; Dine, E.; Brunet, C.; Luyckx, M.; Cazin, M.; Cazin, J.C.; Bailleul, F. Phenolic compounds and antioxidant activities of buckwheat (Fagopyrum esculentum Moench) hulls and flour. J. Ethnopharm. 2000, 72, 35–42. [Google Scholar] [CrossRef]
- Chiremba, C.; Taylor, J.R.N.; Rooney, L.W.; Beta, T. Phenolic acid content of sorghum and maize cultivars varying in hardness. Food Chem. 2012, 134, 81–88. [Google Scholar] [CrossRef] [Green Version]
- Re, R.; Pellegrini, N.; Proteggente, A.; Pannala, A.; Yang, M.; Rice-Evans, C. Antioxidant activity applying an improved ABTS radical cation decolourisation assay. Free Radic. Biol. Med. 1999, 26, 1231–1237. [Google Scholar] [CrossRef]
- Moure, A.; Cruz, J.M.; Franco, D.; Domıinguez, J.M.; Sineiro, J.; Domínguez, H.; Nunez, M.J.; Parajó, J.C. Natural antioxidants from residual sources. Food Chem. 2001, 72, 145–171. [Google Scholar] [CrossRef]
- Benzie, I.F.; Strain, J.J. The ferric reducing ability of plasma (FRAP) as a measure of “antioxidant power”: The FRAP assay. Anal. Biochem. 1996, 239, 70–76. [Google Scholar] [CrossRef] [Green Version]
- Xie, P.; Huang, L.; Zhang, C.; Deng, Y.; Wang, X.; Cheng, J. Enhanced extraction of hydroxytyrosol, maslinic acid and oleanolic acid from olive pomace: Process parameters, kinetics and thermodynamics, and greenness assessment. Food Chem. 2019, 276, 662–674. [Google Scholar] [CrossRef]
- Singh, B.; Singh, N.; Thakur, S.; Kaur, A. Ultrasound assisted extraction of polyphenols and their distribution in whole mung bean, hull and cotyledon. J. Food Sci. Technol. 2017, 54, 921–932. [Google Scholar] [CrossRef] [Green Version]
- Kwaw, E.; Ma, Y.; Tchabo, W.; Apaliya, M.T.; Sackey, A.S.; Wu, M.; Xiao, L. Impact of ultrasonication and pulsed light treatments on phenolics concentration and antioxidant activities of lactic-acid-fermented mulberry juice. LWT-Food Sci. Technol. 2018, 92, 61–66. [Google Scholar] [CrossRef]
- Marszałek, K.; Mitek, M.; Skąpska, S. Effect of continuous flow microwave and conventional heating on the bioactive compounds, colour, enzymes activity, microbial and sensory quality of strawberry purée. Food Bioprocess Technol. 2015, 8, 1864–1876. [Google Scholar] [CrossRef]
- Qiao, L.; Sun, Y.; Chen, R.; Fu, Y.; Zhang, W.; Li, X.; Chen, J.; Shen, Y.; Ye, X. Sonochemical effects on 14 flavonoids common in citrus: Relation to stability. PLoS ONE 2014, 9, e87766. [Google Scholar] [CrossRef] [PubMed] [Green Version]
- Vu, H.T.; Scarlett, C.J.; Vuong, Q.V. Effects of drying conditions on physicochemical and antioxidant properties of banana (Musa cavendish) Peels. Dry. Technol. 2016, 35, 1141–1151. [Google Scholar] [CrossRef]
- Di Mattia, D.C.; Sacchetti, G.; Mastrocola, D.; Sarker, D.K.; Pittia, P. Surface properties of phenolic compounds and their influence on the dispersion degree and oxidative stability of olive oil O/W emulsions. Food Hydrocoll. 2010, 24, 652–658. [Google Scholar] [CrossRef]
- Zuorro, A.; Iannone, A.; Lavecchia, R. Water–organic solvent extraction of phenolic antioxidants from brewers’ spent grain. Processes 2019, 7, 126. [Google Scholar] [CrossRef] [Green Version]
- Mohammadi, M.; Alaei, M.; Bajalan, I. Phytochemical screening, total phenolic and flavonoid contents and antioxidant activity of Anabasis setifera and Salsola tomentosa extracted with different extraction methods and solvents. Orient. Pharm. Exp. Med. 2016, 16, 31–35. [Google Scholar] [CrossRef]
- Hansen, C.M. Hansen Solubility Parameters. A User’s Handbook, 2nd ed.; CRC Press: Boca Raton, FL, USA, 2007; pp. 27–43. [Google Scholar]
- Zollmann, M.; Robin, A.; Prabhu, M.; Polikovsky, M.; Gillis, A.; Greiserman, S.; Golberg, A. Green technology in green macroalgal biorefineries. Phycologia 2019, 58, 516–534. [Google Scholar] [CrossRef]
- Friedman, M.; Jürgens, H.S. Effect of pH on the stability of plant phenolic compounds. J. Agric. Food Chem. 2000, 48, 2101–2110. [Google Scholar] [CrossRef]
- Chen, Y.; Ma, Y.; Dong, L.; Jia, X.; Liu, L.; Huang, F.; Chi, J.; Xiao, J.; Zhang, M.; Zhang, R. Extrusion and fungal fermentation change the profile and antioxidant activity of free and bound phenolics in rice bran together with the phenolic bioaccessibility. LWT-Food Sci. Technol. 2019, 115, 108461. [Google Scholar] [CrossRef]
- Schwab, W.; Davidovich-Rikanati, R.; Lewinsohn, E. Biosynthesis of plant-derived flavor compounds. Plant J. 2008, 54, 712–732. [Google Scholar] [CrossRef]
- Skrajda-Brdak, M.; Konopka, I.; Tańska, M.; Czaplicki, S. Changes in the content of free phenolic acids and antioxidative capacity of wholemeal bread in relation to cereal species and fermentation type. Eur. Food Res. Technol. 2019, 245, 2247–2256. [Google Scholar] [CrossRef] [Green Version]
- Maruf, A.A.; Lip, H.; Wong, H.; O’Brien, P.J. Protective effects of ferulic acid and related polyphenols against glyoxal- or methylglyoxal-induced cytotoxicity and oxidative stress in isolated rat hepatocytes. Chem. Biol. Interact. 2015, 234, 96–104. [Google Scholar] [CrossRef] [PubMed]
- Sibhatu, H.K.; Jabasingh, S.A.; Yimam, A.; Ahmed, S. Ferulic acid production from brewery spent grains, an agro-industrial waste. LWT-Food Sci. Technol. 2021, 135, 110009. [Google Scholar] [CrossRef]
- Timokhin, V.I.; Regner, M.; Motagamwala, A.H.; Sener, C.; Karlen, S.D.; Dumesic, J.A.; Ralph, J. Production of p-coumaric acid from corn GVL-lignin. ACS Sustain. Chem. Eng. 2020, 8, 17427–17438. [Google Scholar] [CrossRef]
- Ravichandran, K.; Ahmed, A.R.; Knorr, D.; Smetanska, I. The effect of different processing methods on phenolic acid content and antioxidant activity of red beet. Int. Food Res. J. 2012, 48, 16–20. [Google Scholar] [CrossRef]
- Chen, C. Sinapic acid and its derivatives as medicine in oxidative stress-induced diseases and aging. Oxid. Med. Cell. Longev. 2016, 4, 3571614. [Google Scholar] [CrossRef] [PubMed] [Green Version]
- Mehmood, A.; Ishaq, M.; Zhao, L.; Yaqoob, S.; Safdar, B.; Nadeem, M.; Munir, M.; Wang, C. Impact of ultrasound and conventional extraction techniques on bioactive compounds and biological activities of blue butterfly pea flower (Clitoria ternatea L.). Ultrason. Sonochem. 2019, 51, 12–19. [Google Scholar] [CrossRef] [PubMed]
- Kikuzaki, H.; Hisamoto, M.; Hirose, K.; Akiyama, K.; Taniguchi, H. Antioxidant properties of ferulic acid and its related compounds. J. Agric. Food Chem. 2002, 50, 2161–2168. [Google Scholar] [CrossRef] [PubMed]
- Strazisar, M.; Andrensek, S.; Smidovnik, A. Effect of β-cyclodextrin on antioxidant activity of coumaric acids. Food Chem. 2008, 110, 636–642. [Google Scholar] [CrossRef]
- Hernandez, J.E.; Edyvean, R.G.J. Inhibition of biogas production and biodegradability by substituted phenolic compounds in anaerobic sludge. J. Hazard. Mater. 2008, 160, 20–28. [Google Scholar] [CrossRef]
- Kerkel, F.; Brock, D.; Touraud, D.; Kunz, W. Stabilisation of biofuels with hydrophilic, natural antioxidants solubilised by glycerol derivatives. Fuel 2021, 284, 119055. [Google Scholar] [CrossRef]
- Soto, M.L.; Moure, A.; Dominguez, H.; Parajó, J.C. Recovery, concentration and purification of phenolic compounds by adsorption: A review. J. Food Eng. 2011, 105, 1–27. [Google Scholar] [CrossRef]






| Extraction | TFC (mg QUE/g DM) | Extraction | TFC (mg QUE/g DM) | |
|---|---|---|---|---|
| Solid-to-solvent ratio of 1:15 (w:v) | UAE3 A40 | 0.40 ± 0.10 | MAE1 A40 | 0.36 ± 0.44 |
| UAE3 A60 | 0.50 ± 0.18 | MAE1 A60 | 0.44 ± 0.36 | |
| UAE3 A80 | 0.43 ± 0.09 | MAE1 A80 | 0.40 ± 0.38 | |
| UAE3 A100 | 0.26 ± 0.16 | MAE1 A100 | 0.23 ± 0.27 | |
| UAE5 A40 | 0.49 ± 0.24 | MAE3 A40 | 0.45 ± 0.31 | |
| UAE5 A60 | 0.60 ± 0.42 | MAE3 A60 | 0.53 ± 0.56 | |
| UAE5 A80 | 0.50 ± 0.36 | MAE3 A80 | 0.44 ± 0.41 | |
| UAE5 A100 | 0.31 ± 0.38 | MAE3 A100 | 0.27 ± 0.22 | |
| UAE10 A40 | 0.58 ± 0.39 | MAE5 A40 | 0.52 ± 0.58 | |
| UAE10 A60 | 0.72 ± 0.58 | MAE5 A60 | 0.61 ± 0.17 | |
| UAE10 A80 | 0.59 ± 0.42 | MAE5 A80 | 0.54 ± 0.55 | |
| UAE10 A100 | 0.38 ± 0.37 | MAE5 A100 | 0.35 ± 0.43 | |
| UAE15 A40 | 0.52 ± 0.26 | MAE8 A40 | 0.47 ± 0.33 | |
| UAE15 A60 | 0.64 ± 0.54 | MAE8 A60 | 0.57 ± 0.41 | |
| UAE15 A80 | 0.53 ± 0.55 | MAE8 A80 | 0.47 ± 0.22 | |
| UAE15 A100 | 0.35 ± 0.49 | MAE8 A100 | 0.32 ± 0.18 | |
| UAE20 A40 | 0.43 ± 0.57 | MAE10 A40 | 0.35 ± 0.19 | |
| UAE20 A60 | 0.57 ± 0.61 | MAE10 A60 | 0.52 ± 0.59 | |
| UAE20 A80 | 0.46 ± 0.55 | MAE10 A80 | 0.41 ± 0.27 | |
| UAE20 A100 | 0.28 ± 0.42 | MAE10 A100 | 0.25 ± 0.12 | |
| Solid-to-solvent ratio of 1:30 (w:v) | UAE3 A40 | 0.35 ± 0.21 | MAE1 A40 | 0.31 ± 0.16 |
| UAE3 A60 | 0.49 ± 0.26 | MAE1 A60 | 0.43 ± 0.38 | |
| UAE3 A80 | 0.38 ± 0.32 | MAE1 A80 | 0.36 ± 0.41 | |
| UAE3 A100 | 0.24 ± 0.18 | MAE1 A100 | 0.21 ± 0.09 | |
| UAE5 A40 | 0.42 ± 0.23 | MAE3 A40 | 0.38 ± 0.27 | |
| UAE5 A60 | 0.58 ± 0.44 | MAE3 A60 | 0.50 ± 0.42 | |
| UAE5 A80 | 0.45 ± 0.37 | MAE3 A80 | 0.40 ± 0.39 | |
| UAE5 A100 | 0.28 ± 0.19 | MAE3 A100 | 0.23 ± 0.27 | |
| UAE10 A40 | 0.50 ± 0.43 | MAE5 A40 | 0.42 ± 0.34 | |
| UAE10 A60 | 0.69 ± 0.54 | MAE5 A60 | 0.64 ± 0.59 | |
| UAE10 A80 | 0.53 ± 0.51 | MAE5 A80 | 0.50 ± 0.39 | |
| UAE10 A100 | 0.35 ± 0.38 | MAE5 A100 | 0.32 ± 0.26 | |
| UAE15 A40 | 0.45 ± 0.52 | MAE8 A40 | 0.36 ± 0.14 | |
| UAE15 A60 | 0.62 ± 0.59 | MAE8 A60 | 0.55 ± 0.48 | |
| UAE15 A80 | 0.48 ± 0.58 | MAE8 A80 | 0.42 ± 0.44 | |
| UAE15 A100 | 0.32 ± 0.48 | MAE8 A100 | 0.29 ± 0.22 | |
| UAE20 A40 | 0.37 ± 0.36 | MAE10 A40 | 0.30 ± 0.19 | |
| UAE20 A60 | 0.56 ± 0.25 | MAE10 A60 | 0.49 ± 0.34 | |
| UAE20 A80 | 0.41 ± 0.58 | MAE10 A80 | 0.39 ± 0.26 | |
| UAE20 A100 | 0.26 ± 0.42 | MAE10 A100 | 0.23 ± 0.29 |
| Compound | Vm (mL/mol) | δD | δP | δH | δT |
|---|---|---|---|---|---|
| water | 18.06 | 15.5 | 16.0 | 42.3 | 47.8 |
| acetone | 74.08 | 15.5 | 10.4 | 7.0 | 19.9 |
| ferulic acid | 136.75 | 22.7 | 5.7 | 15.6 | 28.1 |
| vanillic acid | 119.25 | 22.6 | 6.5 | 16.6 | 28.8 |
| p-coumaric acid | 118.10 | 20.4 | 5.6 | 16.0 | 26.5 |
| p-OH benzoic acid | 94.60 | 22.9 | 7.0 | 17.8 | 29.8 |
| syringic acid | 151.28 | 21.2 | 5.8 | 15.4 | 26.8 |
| sinapic acid | 167.32 | 21.6 | 5.2 | 14.7 | 26.6 |
| Type of Extraction | Extraction Rate (µg/(g DM·Min)) | ||||||
|---|---|---|---|---|---|---|---|
| p-OH Benzoic | Vanillic | Syringic | p-Coumaric | Ferulic | Sinapic | Total Acids | |
| UAE A40 1:15 | 0.047 | 0.085 | 0.038 | 0.178 | 0.348 | 0.062 | 0.758 |
| UAE A60 1:15 | 0.070 | 0.130 | 0.058 | 0.249 | 0.539 | 0.095 | 1.142 |
| UAE A80 1:15 | 0.054 | 0.098 | 0.045 | 0.206 | 0.403 | 0.071 | 0.878 |
| UAE A100 1:15 | 0.034 | 0.062 | 0.028 | 0.131 | 0.255 | 0.045 | 0.557 |
| UAE A40 1:30 | 0.038 | 0.069 | 0.032 | 0.145 | 0.284 | 0.051 | 0.620 |
| UAE A60 1:30 | 0.065 | 0.103 | 0.055 | 0.191 | 0.458 | 0.089 | 0.958 |
| UAE A80 1:30 | 0.049 | 0.079 | 0.040 | 0.166 | 0.306 | 0.064 | 0.703 |
| UAE A100 1:30 | 0.026 | 0.049 | 0.023 | 0.089 | 0.188 | 0.036 | 0.412 |
| MAE A40 1:15 | 0.151 | 0.272 | 0.125 | 0.570 | 1.118 | 0.199 | 2.435 |
| MAE A60 1:15 | 0.250 | 0.453 | 0.206 | 0.850 | 1.846 | 0.328 | 3.929 |
| MAE A80 1:15 | 0.180 | 0.330 | 0.150 | 0.687 | 1.342 | 0.238 | 3.417 |
| MAE A100 1:15 | 0.099 | 0.180 | 0.081 | 0.375 | 0.732 | 0.129 | 1.594 |
| MAE A40 1:30 | 0.116 | 0.211 | 0.095 | 0.442 | 0.860 | 0.153 | 1.875 |
| MAE A60 1:30 | 0.306 | 0.400 | 0.214 | 0.715 | 1.728 | 0.339 | 3.647 |
| MAE A80 1:30 | 0.179 | 0.294 | 0.152 | 0.619 | 1.138 | 0.238 | 2.618 |
| MAE A100 1:30 | 0.079 | 0.154 | 0.071 | 0.275 | 0.581 | 0.111 | 1.272 |
Publisher’s Note: MDPI stays neutral with regard to jurisdictional claims in published maps and institutional affiliations. |
© 2022 by the authors. Licensee MDPI, Basel, Switzerland. This article is an open access article distributed under the terms and conditions of the Creative Commons Attribution (CC BY) license (https://creativecommons.org/licenses/by/4.0/).
Share and Cite
Mikucka, W.; Zielinska, M.; Bulkowska, K.; Witonska, I. Processing of Distillery Stillage to Recover Phenolic Compounds with Ultrasound-Assisted and Microwave-Assisted Extractions. Int. J. Environ. Res. Public Health 2022, 19, 2709. https://doi.org/10.3390/ijerph19052709
Mikucka W, Zielinska M, Bulkowska K, Witonska I. Processing of Distillery Stillage to Recover Phenolic Compounds with Ultrasound-Assisted and Microwave-Assisted Extractions. International Journal of Environmental Research and Public Health. 2022; 19(5):2709. https://doi.org/10.3390/ijerph19052709
Chicago/Turabian StyleMikucka, Wioleta, Magdalena Zielinska, Katarzyna Bulkowska, and Izabela Witonska. 2022. "Processing of Distillery Stillage to Recover Phenolic Compounds with Ultrasound-Assisted and Microwave-Assisted Extractions" International Journal of Environmental Research and Public Health 19, no. 5: 2709. https://doi.org/10.3390/ijerph19052709
APA StyleMikucka, W., Zielinska, M., Bulkowska, K., & Witonska, I. (2022). Processing of Distillery Stillage to Recover Phenolic Compounds with Ultrasound-Assisted and Microwave-Assisted Extractions. International Journal of Environmental Research and Public Health, 19(5), 2709. https://doi.org/10.3390/ijerph19052709

