The Effects of Wastewater Treatment Plant Failure on the Gulf of Gdansk (Southern Baltic Sea)
Abstract
1. Introduction
2. Materials and Methods
2.1. Sampling
2.2. Meteorological Data
2.3. pH and Conductivity Assessment
2.4. The Total Organic Carbon (TOC), Nitrate (N-NO3), and Total Phosphorus Content
3. Results
3.1. Meteorological Data
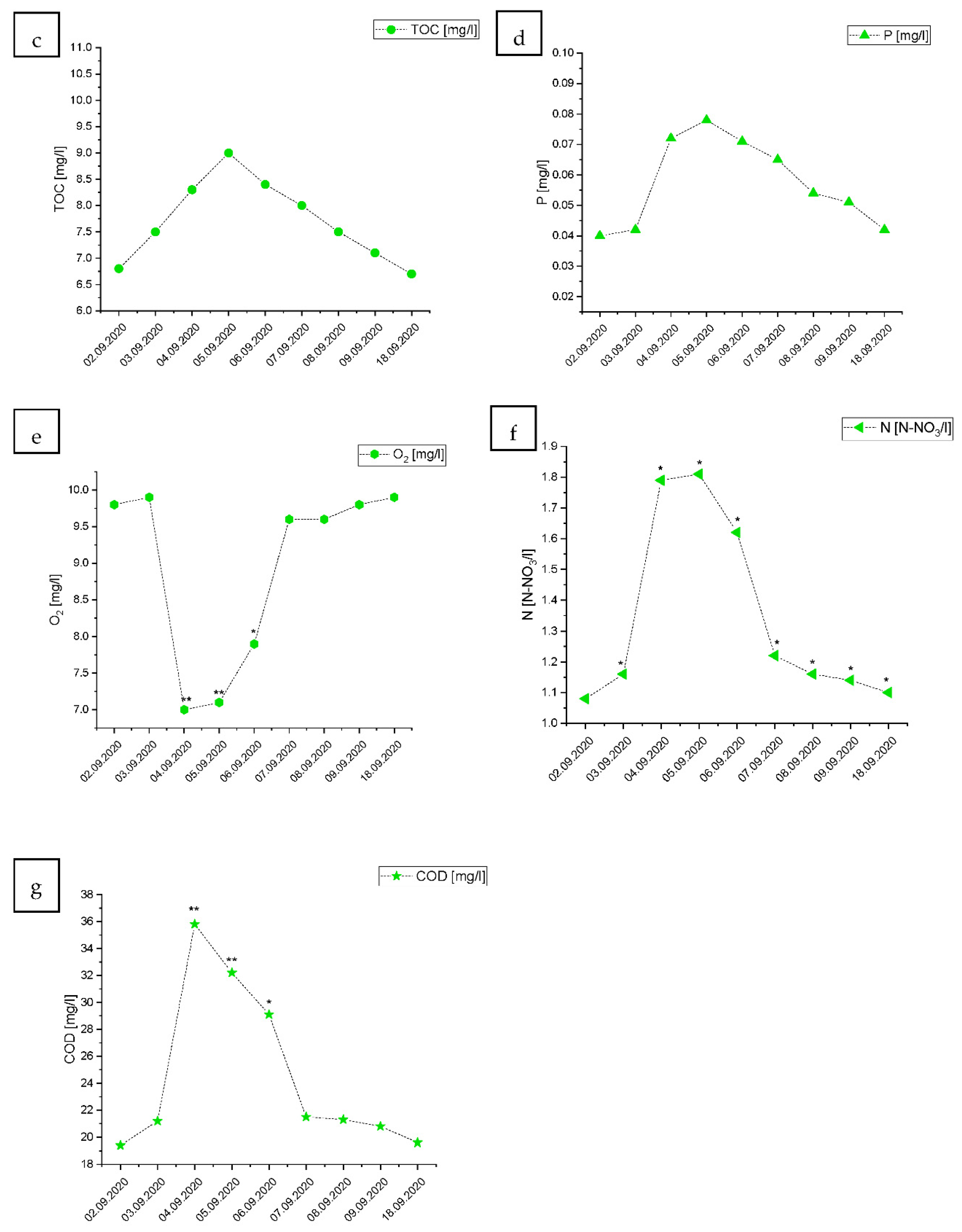
3.2. Changes in the Physio-Chemical Parameters of the Water in the Vistula River after the Emergency Discharge of the Raw Sewage
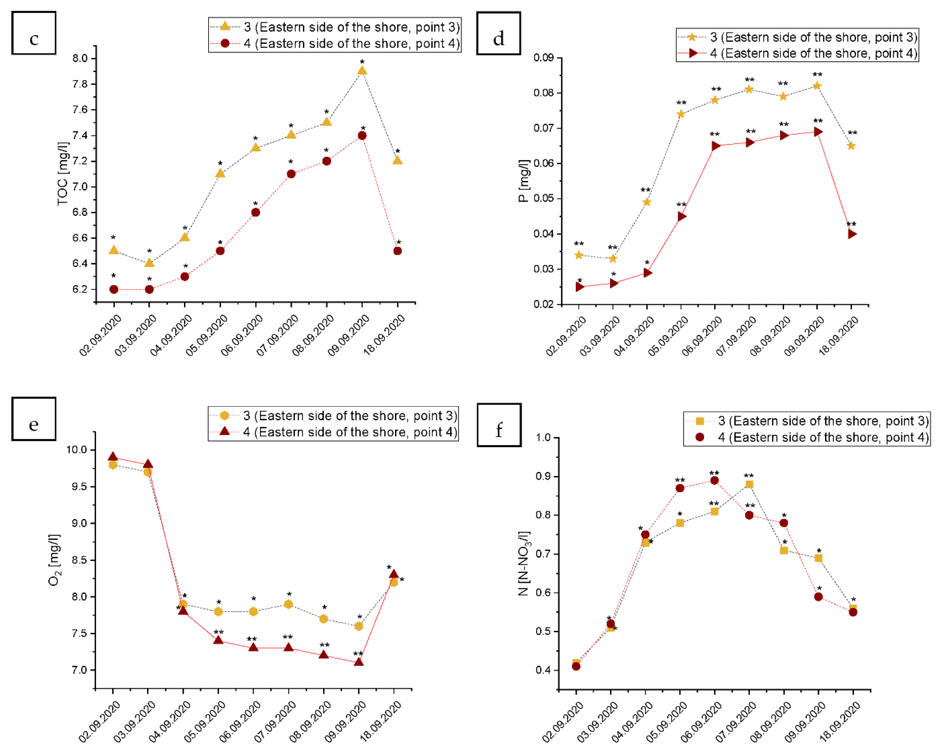
3.3. Changes in the Physical and Chemical Parameters of Seawater on the Shore of the Gulf of Gdansk, East from the Vistula River Mouth
3.4. Changes in the Physical and Chemical Parameters of the Water on the Shore of the Gulf of Gdansk, West from the Vistula River Mouth
4. Discussion
5. Conclusions
Author Contributions
Funding
Institutional Review Board Statement
Informed Consent Statement
Data Availability Statement
Acknowledgments
Conflicts of Interest
References
- Piotrowska, M.; Dziewit, L.; Ostrowski, R.; Chmielowska, C.; Popowska, M. Molecular Characterization and Comparative Genomics of IncQ-3 Plasmids Conferring Resistance to Various Antibiotics Isolated from a Wastewater Treatment Plant in Warsaw (Poland). Antibiotics 2020, 9, 613. [Google Scholar] [CrossRef] [PubMed]
- Oleszkiewicz, J.A.; Kalinowska, E.; Dold, P.; Barnard, J.L.; Bieniowski, M.; Erenc, Z.F.; Ones, R.J.; Rypina, A.; Udol, J.S. Feasibility Studies and Pre-Design Simulation of Warsaw’s New Wastewater Treatment Plant. Environ. Technol. 2004, 25, 1405–1411. [Google Scholar] [CrossRef] [PubMed]
- Wesołowska, J. Urban Infrastructure Facilities as an Essential Public Investment for Sustainable Cities—Indispensable but Unwelcome Objects of Social Conflicts. Case Study of Warsaw, Poland. Transp. Res. Procedia 2016, 16, 553–565. [Google Scholar] [CrossRef][Green Version]
- Preisner, M. Surface Water Pollution by Untreated Municipal Wastewater Discharge Due to a Sewer Failure. Environ. Process. 2020, 7, 767–780. [Google Scholar] [CrossRef]
- The National Programme for Municipal Waste Water Treatment. 2017—In Polish. Available online: https://www.kzgw.gov.pl/index.php/en/information-materials/programmes/the-national-programme-for-municipal-waste-water-treatment-npmwwt (accessed on 20 September 2020).
- Report on the Implementation of the National Municipal Wastewater Treatment Program in 2016 and 2017 (In Polish). 2018. Available online: https://bip.mos.gov.pl/strategie-plany-programy/krajowy-programzapobiegania-powstawaniu-odpadow/h/11170/051cde29/ (accessed on 10 October 2020).
- Smol, M. Inventory of Wastes Generated in Polish Sewage Sludge Incineration Plants and Their Possible Circular Management Directions. Resources 2020, 9, 91. [Google Scholar] [CrossRef]
- Kanownik, W.; Policht-Latawiec, A.; Wiśnios, M. The Effect of Purified Sewage Discharge from a Sewage Treatment Plant on the Physicochemical State of Water in the Receiver. Annals of Warsaw University of Life Sciences—SGGW. Land Reclam. 2016, 48, 267–284. [Google Scholar] [CrossRef]
- Griffin, D.W.; Banks, K.; Gregg, K.; Shedler, S.; Walker, B.K. Antibiotic Resistance in Marine Microbial Communities Proximal to a Florida Sewage Outfall System. Antibiotics 2020, 9, 118. [Google Scholar] [CrossRef]
- Yuan, S.; Liu, Z.; Yin, H.; Dang, Z.; Wu, P.; Zhu, N.; Lin, Z. Trace Determination of Sulfonamide Antibiotics and Their Acetylated Metabolites via SPE-LC-MS/MS in Wastewater and Insights from Their Occurrence in a Municipal Wastewater Treatment Plant. Sci. Total Environ. 2019, 653, 815–821. [Google Scholar] [CrossRef]
- Trávníček, P.; Junga, P.; Kotek, L.; Vítěz, T. Analysis of Accidents at Municipal Wastewater Treatment Plants in Europe. J. Loss Prev. Process. Ind. 2022, 74, 104634. [Google Scholar] [CrossRef]
- Michalska, M.; Zorena, K.; Bartoszewicz, M. Analysis of Faecal Bacteria Isolated from Air and Seawater Samples Following an Emergency Sewage Discharge into the Gulf of Gdansk in 2018—Preliminary Study. Int. Marit. Health 2019, 70, 239–243. [Google Scholar] [CrossRef]
- Michalska, M.; Wąż, P.; Kurpas, M.; Marks, R.; Zorena, K. Higher Number of Yeast-like Fungi in the Air in 2018 after an Emergency Discharge of Raw Sewage to the Gulf of Gdańsk—Use of Contingency Tables. Symmetry 2021, 13, 1522. [Google Scholar] [CrossRef]
- Michalska, M.; Kurpas, M.; Zorena, K.; Wąż, P.; Marks, R. Mold and Yeast-Like Fungi in the Seaside Air of the Gulf of Gdańsk (Southern Baltic) after an Emergency Disposal of Raw Sewage. JoF 2021, 7, 219. [Google Scholar] [CrossRef] [PubMed]
- Michalska, M.; Zorena, K.; Marks, R.; Wąż, P. The Emergency Discharge of Sewage to the Bay of Gdańsk as a Source of Bacterial Enrichment in Coastal Air. Sci. Rep. 2021, 11, 20959. [Google Scholar] [CrossRef] [PubMed]
- Mikulski, Z. Wody śródlądowe w strefie brzegowej południowego Bałtyku. (Inland waters in the Southern Baltic coastal zone). Prace Państw. Inst. Hydrol.-Meteorol. 1970, 98, 25–45. (In Polish) [Google Scholar]
- Majewski, A. Charakterystyka hydrologiczna estuariowych wód u polskiego wybrzeża. (Hydrological characteristics of estuarine waters at the Polish Coast). Prace Państw. Inst. Hydrol.-Meteorol. 1972, 105, 3–40. (In Polish) [Google Scholar]
- Kowalewska-Kalkowska, H.; Marks, R. Estuary, Estuarine Hydrodynamics. Encykl. Mar. Geosci. 2015, 1, 235–238. [Google Scholar] [CrossRef]
- Lisimenka, A.; Kubicki, A. Bedload transport in the Vistula River mouth derived from dune migration rates, southern Baltic Sea. Oceanologia 2019, 61, 384–394. [Google Scholar] [CrossRef]
- Ministry of Environment—Regulation of 21th July 2016 on the Classification of the Status of Surface Water Bodies and Environmental Quality Standards for Priority Substances. 2016 (In Polish). Available online: http://www.gios.gov.pl/images/dokumenty/pms/pms/SEM_Programme_2016-2020_ENG.pdf (accessed on 15 October 2020).
- Petroody, S.S.; Hashemi, S.H.; van Gestel, C.A.M. Factors Affecting Microplastic Retention and Emission by a Wastewater Treatment Plant on the Southern Coast of Caspian Sea. Chemosphere 2020, 261, 128179. [Google Scholar] [CrossRef]
- Naji, A.; Azadkhah, S.; Farahani, H.; Uddin, S.; Khan, F.R. Microplastics in Wastewater Outlets of Bandar Abbas City (Iran): A Potential Point Source of Microplastics into the Persian Gulf. Chemosphere 2021, 262, 128039. [Google Scholar] [CrossRef]
- Martínez, R.; Vela, N.; el Aatik, A.; Murray, E.; Roche, P.; Navarro, J.M. On the Use of an IoT Integrated System for Water Quality Monitoring and Management in Wastewater Treatment Plants. Water 2020, 12, 1096. [Google Scholar] [CrossRef]
- Hernández-Chover, V.; Castellet-Viciano, L.; Hernández-Sancho, F. Cost analysis of the facilities deterioration in Wastewater Treatment Plants: A dynamic approach. Sustain. Cities Soc. 2019, 101613. [Google Scholar] [CrossRef]
- Jaskulak, M.; Grobelak, A.; Vandenbulcke, F. Modeling and optimizing the removal of cadmium by Sinapis alba L. from contaminated soil via Response Surface Methodology and Artificial Neural Networks during assisted phytoremediation with sewage sludge. Int. J. Phytoremediation 2020, 22, 1321–1330. [Google Scholar] [CrossRef] [PubMed]
- Herrera-Navarrete, R.; Colín-Cruz, A.; Arellano-Wences, H.J. Municipal Wastewater Treatment Plants: Gap, Challenges, and Opportunities in Environmental Management. Environ. Manage. 2022, 69, 75–88. [Google Scholar] [CrossRef] [PubMed]
- Makisha, N. Restoration and Renovation of Waste Water Pumping Stations in Case of Emergency. Procedia Eng. 2016, 165, 1087–1091. [Google Scholar] [CrossRef]
- Jaskulak, M.; Grobelak, A. Soil enzymes in a changing climate. In Climate Change and Soil Interactions; Elsevier: Amsterdam, The Netherlands, 2020; pp. 731–749. [Google Scholar] [CrossRef]
- Lahijanzadeh, A.R.; Rouzbahani, M.M.; Sabzalipour, S.; Nabavi, S.M.B. Ecological Risk of Potentially Toxic Elements (PTEs) in Sediments, Seawater, Wastewater, and Benthic Macroinvertebrates, Persian Gulf. Mar. Pollut. Bull. 2019, 145, 377–389. [Google Scholar] [CrossRef] [PubMed]
- Perkins, R.; Whitehead, M.; Goulson, D. Dead in the Water: Comment on “Development of an Aquatic Exposure Assessment Model for Imidacloprid in Sewage Treatment Plant Discharges Arising from Use of Veterinary Medicinal Products”. Environ. Sci. Eur. 2021, 33, 88. [Google Scholar] [CrossRef]
- König, M.; Escher, B.I.; Neale, P.A.; Krauss, M.; Hilscherová, K.; Novák, J.; Teodorović, I.; Schulze, T.; Seidensticker, S.; Kamal Hashmi, M.A.; et al. Impact of Untreated Wastewater on a Major European River Evaluated with a Combination of in Vitro Bioassays and Chemical Analysis. Environ. Pollut. 2017, 220, 1220–1230. [Google Scholar] [CrossRef]
- Yamashita, T.; Yamamoto-Ikemoto, R. Nitrogen and Phosphorus Removal from Wastewater Treatment Plant Effluent via Bacterial Sulfate Reduction in an Anoxic Bioreactor Packed with Wood and Iron. IJERPH 2014, 11, 9835–9853. [Google Scholar] [CrossRef]
- Zhang, X.; Zhang, Y.; Shi, P.; Bi, Z.; Shan, Z.; Ren, L. The Deep Challenge of Nitrate Pollution in River Water of China. Sci. Total Environ. 2021, 770, 144674. [Google Scholar] [CrossRef]
- Xue, Y.; Song, J.; Zhang, Y.; Kong, F.; Wen, M.; Zhang, G. Nitrate Pollution and Preliminary Source Identification of Surface Water in a Semi-Arid River Basin, Using Isotopic and Hydrochemical Approaches. Water 2016, 8, 328. [Google Scholar] [CrossRef]
- Jaskulak, M.; Rorat, A.; Kurianska-Piatek, L.; Hofman, S.; Bigaj, J.; Vandenbulcke, F.; Plytycz, B. Species-Specific Cd-Detoxification Mechanisms in Lumbricid Earthworms Eisenia Andrei, Eisenia Fetida and Their Hybrids. Ecotoxicol. Environ. Saf. 2021, 208, 111425. [Google Scholar] [CrossRef] [PubMed]
- Hembach, N.; Alexander, J.; Hiller, C.; Wieland, A.; Schwartz, T. Dissemination Prevention of Antibiotic Resistant and Facultative Pathogenic Bacteria by Ultrafiltration and Ozone Treatment at an Urban Wastewater Treatment Plant. Sci. Rep. 2019, 9, 12843. [Google Scholar] [CrossRef] [PubMed]
- Bossier, S.; Palacz, A.P.; Nielsen, J.R.; Christensen, A.; Hoff, A.; Maar, M.; Gislason, H.; Bastardie, F.; Gorton, R.; Fulton, E.A. The Baltic Sea Atlantis: An Integrated End-to-End Modelling Framework Evaluating Ecosystem-Wide Effects of Human-Induced Pressures. PLoS ONE 2018, 13, e0199168. [Google Scholar] [CrossRef] [PubMed]
- Jaskulak, M.; Grobelak, A.; Vandenbulcke, F. Effects of Sewage Sludge Supplementation on Heavy Metal Accumulation and the Expression of ABC Transporters in Sinapis Alba L. during Assisted Phytoremediation of Contaminated Sites. Ecotoxicol. Environ. Saf. 2020, 197, 110606. [Google Scholar] [CrossRef] [PubMed]
- Gulf of Gdańsk Currents. 2019. Available online: http://model.ocean.univ.gda.pl/php/frame.php?area=Baltyk (accessed on 10 October 2020).
- Marks, R.; Kruczalak, K.; Jankowska, K.; Michalska, M. Bacteria and Fungi in Air over the Gulf of Gdańsk and Baltic Sea. J. Aerosol. Sci. 2001, 32, 43–56. [Google Scholar] [CrossRef]
- Wurl, O.; Miller, L.; Röttgers, R.; Vagle, S. The distribution and fate of surface-active substances in the sea-surface microlayer and water column. Mar. Chem. 2009, 115, 1–9. [Google Scholar] [CrossRef]
- Engel, A.; Bange, H.W.; Cunliffe, M.; Burrows, S.M.; Friedrichs, G.; Galgani, L.; Herrmann, H.; Hertkorn, N.; Johnson, M.; Liss, P.S.; et al. The Ocean’s Vital Skin: Toward an Integrated Understanding of the Sea Surface Microlayer. Front. Mar. Sci. 2017, 4, 165. [Google Scholar] [CrossRef]








| Date (Day/Month) | Hour Time Zone: GMT + 1 | Water Temperature °C | Atmospheric Pressure hPa | Wind Speed m/s | Wind Direction | 
|---|---|---|---|---|---|
| 1.09 | 6 AM | 19 | 1018 | 5 | N | 
| 2.09 | 6 AM | 19 | 1014 | 9 | NE | 
| 3.09 | 6 AM | 19 | 1015 | 6 | S | 
| 4.09 | 6 AM | 18 | 1018 | 8 | SW | 
| 5.09 | 6 AM | 18 | 1013 | 6 | SW | 
| 6.09 | 6 AM | 18 | 1016 | 4 | SW | 
| 7.09 | 6 AM | 18 | 1019 | 3 | SW | 
| 8.09 | 6 AM | 18 | 1019 | 7 | SW | 
| 9.09 | 6 AM | 18 | 1018 | 4 | SW | 
| 10.09 | 6 AM | 17 | 1013 | 8 | W | 
| 11.09 | 6 AM | 17 | 1019 | 3 | SW | 
| 12.09 | 6 AM | 17 | 1016 | 3 | S | 
| 13.09 | 6 AM | 17 | 1023 | 7 | W | 
| 14.09 | 6 AM | 17 | 1025 | 5 | SW | 
| 15.09 | 6 AM | 17 | 1025 | 3 | S | 
| 16.09 | 6 AM | 17 | 1017 | 5 | S | 
| 17.09 | 6 AM | 18 | 1020 | 12 | W | 
| 18.09 | 6 AM | 18 | 1019 | 9 | SW | 
| Publisher’s Note: MDPI stays neutral with regard to jurisdictional claims in published maps and institutional affiliations. | 
© 2022 by the authors. Licensee MDPI, Basel, Switzerland. This article is an open access article distributed under the terms and conditions of the Creative Commons Attribution (CC BY) license (https://creativecommons.org/licenses/by/4.0/).
Share and Cite
Jaskulak, M.; Sotomski, M.; Michalska, M.; Marks, R.; Zorena, K. The Effects of Wastewater Treatment Plant Failure on the Gulf of Gdansk (Southern Baltic Sea). Int. J. Environ. Res. Public Health 2022, 19, 2048. https://doi.org/10.3390/ijerph19042048
Jaskulak M, Sotomski M, Michalska M, Marks R, Zorena K. The Effects of Wastewater Treatment Plant Failure on the Gulf of Gdansk (Southern Baltic Sea). International Journal of Environmental Research and Public Health. 2022; 19(4):2048. https://doi.org/10.3390/ijerph19042048
Chicago/Turabian StyleJaskulak, Marta, Maksymilian Sotomski, Małgorzata Michalska, Roman Marks, and Katarzyna Zorena. 2022. "The Effects of Wastewater Treatment Plant Failure on the Gulf of Gdansk (Southern Baltic Sea)" International Journal of Environmental Research and Public Health 19, no. 4: 2048. https://doi.org/10.3390/ijerph19042048
APA StyleJaskulak, M., Sotomski, M., Michalska, M., Marks, R., & Zorena, K. (2022). The Effects of Wastewater Treatment Plant Failure on the Gulf of Gdansk (Southern Baltic Sea). International Journal of Environmental Research and Public Health, 19(4), 2048. https://doi.org/10.3390/ijerph19042048
 
         
                                                


 
       