Effects of Aquatic versus Land High-Intensity Interval Training on Acute Cardiometabolic and Perceptive Responses in Healthy Young Women
Abstract
1. Introduction
2. Material and Methods
2.1. Participants
2.2. Study Design and Procedures
2.3. Aquatic and Land Incremental Tests
2.4. AHIIT and LHIIT Exercise Interventions
2.5. Primary Cardiometabolic Outcomes
2.6. Secondary Cardiometabolic Outcomes
2.7. Secondary Perceptive Responses
2.7.1. Enjoyment
2.7.2. Self-Efficacy
2.7.3. Muscle Soreness
2.8. Statistical Analysis
3. Results
3.1. Description of the Study Sample and Study Variables
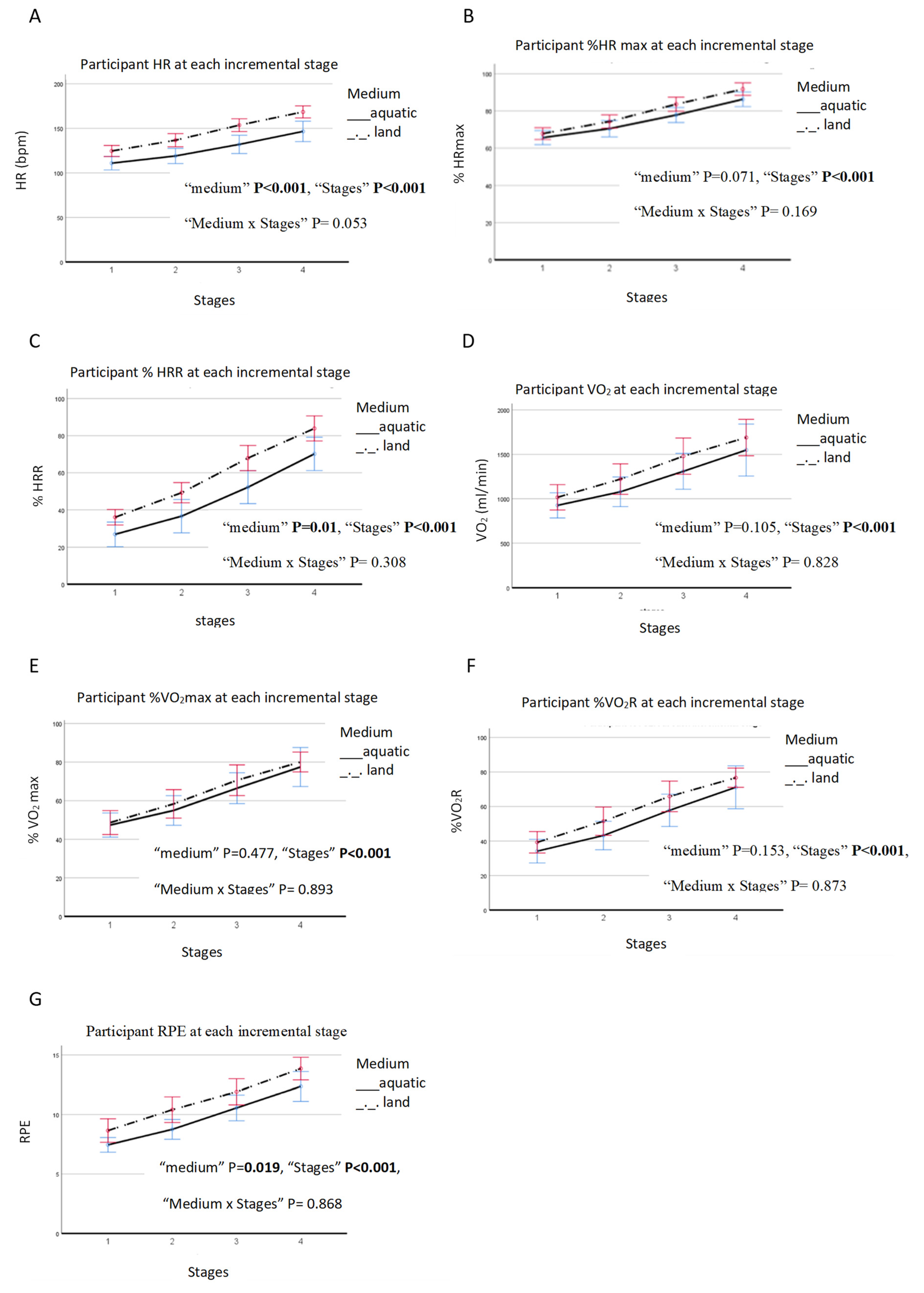
3.2. Effects of Increased Exercise Intensity on HR, %HRmax, %VO2max, %HRR, VO2, %VO2R, and RPE in the Aquatic and Land Incremental Tests
3.3. Effects of AHIIT and LHIIT on Primary Cardiometabolic Outcomes
3.4. Effects of AHIIT and LHIIT on Secondary Cardiometabolic Outcomes
3.5. Effects of AHIIT and LHIIT on Perceptive Responses
4. Discussion
5. Conclusions
Author Contributions
Funding
Institutional Review Board Statement
Informed Consent Statement
Data Availability Statement
Acknowledgments
Conflicts of Interest
References
- Global Action Plan for the Prevention and Control of Noncommunicable Diseases; World Health Organization: Geneva, Switzerland, 2013.
- Bull, F.C.; Al-Ansari, S.S.; Biddle, S.; Borodulin, K.; Buman, M.P.; Cardon, G.; Carty, C.; Chaput, J.-P.; Chastin, S.; Chou, R.; et al. World Health Organization 2020 guidelines on physical activity and sedentary behaviour. Br. J. Sport. Med. 2020, 54, 1451–1462. [Google Scholar] [CrossRef]
- Guthold, R.; Stevens, G.A.; Riley, L.M.; Bull, F.C. Worldwide trends in insufficient physical activity from 2001 to 2016: A pooled analysis of 358 population-based surveys with 1·9 million participants. Lancet Glob. Health 2018, 6, e1077–e1086. [Google Scholar] [CrossRef]
- El Ansari, W.; Lovell, G. Barriers to exercise in younger and older non-exercising adult women: A cross sectional study in London, United Kingdom. Int. J. Environ. Res. Public Health 2009, 6, 1443–1455. [Google Scholar] [CrossRef] [PubMed]
- Nagle, E.F.; Robertson, R.J.; Jakicic, J.J.; Otto, A.D.; Ranalli, J.R.; Chiapetta, L.B. Effects of a Combined Aquatic Exercise and Walking in Sedentary Obese Females Undergoing a Behavioral Weight-Loss Intervention. Int. J. Aquat. Res. Educ. 2007, 1, 5. [Google Scholar] [CrossRef]
- Gibala, M.J.; Little, J.P.; MacDonald, M.J.; Hawley, J.A. Physiological adaptations to low-volume, high-intensity interval training in health and disease. J. Physiol. 2012, 590, 1077–1084. [Google Scholar] [CrossRef] [PubMed]
- Gibala, M.J.; Jones, A.M. Physiological and Performance Adaptations to High-Intensity Interval Training. Limits Hum. Endur. 2013, 76, 51–60. [Google Scholar] [CrossRef]
- Nagle, E.F.; Sanders, M.E.; Franklin, B.A. Aquatic High Intensity Interval Training for Cardiometabolic Health: Benefits and Training Design. Am. J. Lifestyle Med. 2017, 11, 64–76. [Google Scholar] [CrossRef]
- Becker, B.E.; Hildenbrand, K.; Whitcomb, R.K.; Sanders, J.P. Biophysiologic Effects of Warm Water Immersion. Int. J. Aquat. Res. Educ. 2009, 3, 4. [Google Scholar] [CrossRef]
- Heywood, S.M.; McClelland, J.P.; Mentiplay, B.B.; Geigle, P.P.; Rahmann, A.P.; Clark, R.P. Effectiveness of Aquatic Exercise in Improving Lower Limb Strength in Musculoskeletal Conditions: A Systematic Review and Meta-Analysis. Arch. Phys. Med. Rehabil. 2016, 98, 173–186. [Google Scholar] [CrossRef]
- Depiazzi, J.E.; Forbes, R.A.; Gibson, N.; Smith, N.L.; Wilson, A.C.; Boyd, R.N.; Hill, K. The effect of aquatic high-intensity interval training on aerobic performance, strength and body composition in a non-athletic population: Systematic review and meta-analysis. Clin. Rehabil. 2018, 33, 157–170. [Google Scholar] [CrossRef]
- Kwok, M.M.Y.; Ng, S.S.M.; Man, S.S.; So, B.C.L. The effect of aquatic High Intensity Interval Training on cardiometabolic and physical health markers in women: A systematic review and meta-analysis. J. Exerc. Sci. Fit. 2022, 20, 113–127. [Google Scholar] [CrossRef] [PubMed]
- Ekkekakis, P.; Parfitt, G.; Petruzzello, S.J. The Pleasure and Displeasure People Feel When they Exercise at Different Intensities: Decennial Update and Progress towards a Tripartite Rationale for Exercise Intensity Prescription. Sport. Med. 2012, 41, 641–671. [Google Scholar] [CrossRef] [PubMed]
- Oliveira, B.R.R.; Slama, F.A.; Deslandes, A.C.; Furtado, E.S.; Santos, T.M. Continuous and high-intensity interval training: Which promotes higher pleasure? PLoS ONE 2013, 8, e79965. [Google Scholar] [CrossRef] [PubMed]
- Wankel, L.M. The importance of enjoyment to adherence and psychological benefits from physical activity. Int. J. Sport Psychol. 1993, 24, 151–169. [Google Scholar]
- Thum, J.S.; Parsons, G.; Whittle, T.; Astorino, T.A. High-Intensity Interval Training Elicits Higher Enjoyment than Moderate Intensity Continuous Exercise. PLoS ONE 2017, 12, e0166299. [Google Scholar] [CrossRef]
- Williams, D.M.; Dunsiger, S.; Ciccolo, J.T.; Lewis, B.A.; Albrecht, A.E.; Marcus, B.H. Acute affective response to a moderate-intensity exercise stimulus predicts physical activity participation 6 and 12 months later. Psychol. Sport Exerc. 2008, 9, 231–245. [Google Scholar] [CrossRef]
- Iannetta, D.; Inglis, E.C.; Mattu, A.T.; Fontana, F.Y.; Pogliaghi, S.; Keir, D.A.; Murias, J.M. A Critical Evaluation of Current Methods for Exercise Prescription in Women and Men. Med. Sci. Sport. Exerc. 2020, 52, 466–473. [Google Scholar] [CrossRef]
- Antunes, A.H.; Alberton, C.L.; Finatto, P.; Pinto, S.S.; Cadore, E.L.; Zaffari, P.; Kruel, L.F.M. Active Female Maximal and Anaerobic Threshold Cardiorespiratory Responses to Six Different Water Aerobics Exercises. Res. Q. Exerc. Sport 2015, 86, 267–273. [Google Scholar] [CrossRef]
- Benelli, P.; Ditroilo, M.; De Vito, G. Physiological responses to fitness activities: Acomparison between land-based and water aerobics exercise. J. Strength Cond. Res. 2004, 18, 719–722. [Google Scholar] [CrossRef]
- Andrade, L.S.; Botton, C.E.; David, G.B.; Pinto, S.S.; Häfele, M.S.; Alberton, C.L. Cardiorespiratory Parameters Comparison Between Incremental Protocols Performed in Aquatic and Land Environments by Healthy Individuals: A Systematic Review and Meta-Analysis. Sport. Med. 2022, 52, 2247–2270. [Google Scholar] [CrossRef]
- Alberton, C.L.; Tartaruga, M.P.; Pinto, S.S.; Cadore, E.L.; Da Silva, E.M.; Kruel, L.F.M. Cardiorespiratory responses to stationary running at different cadences in water and on land. J. Sport. Med. Phys. Fit. 2009, 49, 142–151. [Google Scholar]
- Andrade, L.S.; Pinto, S.S.; Silva, M.R.; Schaun, G.Z.; Portella, E.G.; Nunes, G.N.; David, G.B.; Wilhelm, E.N.; Alberton, C.L. Water-based continuous and interval training in older women: Cardiorespiratory and neuromuscular outcomes (WATER study). Exp. Gerontol. 2020, 134, 110914. [Google Scholar] [CrossRef] [PubMed]
- Kanitz, A.C.; Delevatti, R.S.; Reichert, T.; Liedtke, G.V.; Ferrari, R.; Almada, B.P.; Pinto, S.S.; Alberton, C.L.; Kruel, L.F.M. Effects of two deep water training programs on cardiorespiratory and muscular strength responses in older adults. Exp. Gerontol. 2015, 64, 55–61. [Google Scholar] [CrossRef] [PubMed]
- Kruel, L.F.M.; Beilke, D.D.; Kanitz, A.C.; Alberton, C.L.; Antunes, A.H.; Pantoja, P.D.; da Silva, E.M.; Pinto, S.S. Cardiorespiratory responses to stationary running in water and on land. J. Sport. Sci. Med. 2013, 12, 594–600. [Google Scholar]
- Helmerhorst, H.J.F.; Brage, S.; Warren, J.; Besson, H.; Ekelund, U. A systematic review of reliability and objective criterion-related validity of physical activity questionnaires. Int. J. Behav. Nutr. Phys. Act. 2012, 9, 103. [Google Scholar] [CrossRef]
- Haynes, A.; Naylor, L.H.; Carter, H.H.; Spence, A.L.; Robey, E.; Cox, K.L.; Maslen, B.A.; Lautenschlager, N.T.; Ridgers, N.D.; Green, D.J. Land-walking vs. water-walking interventions in older adults: Effects on aerobic fitness. J. Sport Health Sci. 2020, 9, 274–282. [Google Scholar] [CrossRef]
- Bergamin, M.; Ermolao, A.; Matten, S.; Sieverdes, J.C.; Zaccaria, M. Metabolic and Cardiovascular Responses During Aquatic Exercise in Water at Different Temperatures in Older Adults. Res. Q. Exerc. Sport 2015, 86, 163–171. [Google Scholar] [CrossRef]
- Tsekouras, Y.E.; Tambalis, K.D.; Sarras, S.E.; Antoniou, A.K.; Kokkinos, P.; Sidossis, L.S. Validity and Reliability of the New Portable Metabolic Analyzer PNOE. Front. Sport. Act. Living 2019, 1, 24. [Google Scholar] [CrossRef]
- Liguori, G.; Feito, Y.; American College of Sports Medicine. ACSM’s Guidelines for Exercise Testing and Prescription, 11th ed.; Wolters Kluwer: Philadelphia, PA, USA, 2022. [Google Scholar]
- Teques, P.; Calmeiro, L.; Silva, C.; Borrego, C. Validation and adaptation of the Physical Activity Enjoyment Scale (PACES) in fitness group exercisers. J. Sport Health Sci. 2020, 9, 352–357. [Google Scholar] [CrossRef]
- Hu, L.; Motl, R.W.; McAuley, E.; Konopack, J.F. Effects of self-efficacy on physical activity enjoyment in college-aged women. Int. J. Behav. Med. 2007, 14, 92–96. [Google Scholar] [CrossRef]
- Poon, E.T.-C.; Little, J.P.; Sit, C.H.-P.; Wong, S.H.-S. The effect of low-volume high-intensity interval training on cardiometabolic health and psychological responses in overweight/obese middle-aged men. J. Sport. Sci. 2020, 38, 1997–2004. [Google Scholar] [CrossRef] [PubMed]
- Impellizzeri, F.M.; Maffiuletti, N.A. Convergent Evidence for Construct Validity of a 7-Point Likert Scale of Lower Limb Muscle Soreness. Clin. J. Sport Med. 2007, 17, 494–496. [Google Scholar] [CrossRef]
- Hall, J.; Grant, J.; Blake, D.; Taylor, G.; Garbutt, G. Cardiorespiratory responses to aquatic treadmill walking in patients with rheumatoid arthritis. Physiother. Res. Int. 2004, 9, 59–73. [Google Scholar] [CrossRef]
- Alberton, C.L.; Tartaruga, M.P.; Pinto, S.S.; Cadore, E.L.; Antunes, A.H.; Finatto, P.; Kruel, L.F.M. Vertical Ground Reaction Force during Water Exercises Performed at Different Intensities. Int. J. Sport. Med. 2013, 34, 881–887. [Google Scholar] [CrossRef] [PubMed]
- Ogonowska-Slodownik, A.; Richley Geigle, P.; Morgulec-Adamowicz, N. Head-Out Water-Based Protocols to Assess Cardiorespiratory Fitness-Systematic Review. Int. J. Environ. Res. Public Health 2020, 17, 7215. [Google Scholar] [CrossRef] [PubMed]
- Provost-Craig, M.A. Principles of Exercise Testing and Interpretation: Including Pathophysiology and Clinical Applications, 4th ed.; Lippincott Williams & Wilkins, WK Health: Philadelphia, PA, USA, 2005; Volume 37, p. 1249. [Google Scholar]
- Chu, K.S.; Rhodes, E.C. Physiological and Cardiovascular Changes Associated with Deep Water Running in the Young: Possible Implications for the Elderly. Sport. Med. 2001, 31, 33–46. [Google Scholar] [CrossRef]
- Silvers, W.M.; Rutledge, E.R.; Dolny, D.G. Peak cardiorespiratory responses during aquatic and land treadmill exercise. Med. Sci. Sport. Exerc. 2007, 39, 969–975. [Google Scholar] [CrossRef] [PubMed]
- Greene, N.P.; Greene, E.S.; Carbuhn, A.F.; Green, J.S.; Crouse, S.F. VO2 Prediction and Cardiorespiratory Responses During Underwater Treadmill Exercise. Res. Q. Exerc. Sport 2011, 82, 264–273. [Google Scholar] [CrossRef] [PubMed]
- Masumoto, K.; Shono, T.; Hotta, N.; Fujishima, K. Muscle activation, cardiorespiratory response, and rating of perceived exertion in older subjects while walking in water and on dry land. J. Electromyogr. Kinesiol. 2007, 18, 581–590. [Google Scholar] [CrossRef] [PubMed]
- Nagle, E.F.; Sanders, M.E.; Shafer, A.; Gibbs, B.B.; Nagle, J.A.; Deldin, A.R.; Franklin, B.A.; Robertson, R.J. Energy Expenditure, Cardiorespiratory, and Perceptual Responses to Shallow-Water Aquatic Exercise in Young Adult Women. Phys. Sportsmed. 2013, 41, 67–76. [Google Scholar] [CrossRef]
- Colado, J.C.; Triplett, N.T.; Tella, V.; Saucedo, P.; Abellán, J. Effects of aquatic resistance training on health and fitness in postmenopausal women. Eur. J. Appl. Physiol. 2009, 106, 113–122. [Google Scholar] [CrossRef] [PubMed]
- Fiorenza, M.; Hostrup, M.; Gunnarsson, T.P.; Shirai, Y.; Schena, F.; Iaia, F.M.; Bangsbo, J. Neuromuscular Fatigue and Metabolism during High-Intensity Intermittent Exercise. Med. Sci. Sport. Exerc. 2019, 51, 1642–1652. [Google Scholar] [CrossRef]
- Chien, K.-Y.; Kan, N.-W.; Liao, Y.-H.; Yang, W.-T.; Yang, Y. Land vs. water HIIE effects on muscle oxygenation and physiological parameter responses in postmenopausal women. Sci. Rep. 2020, 10, 13754. [Google Scholar] [CrossRef] [PubMed]
- MacInnis, M.J.; Gibala, M.J. Physiological adaptations to interval training and the role of exercise intensity. J. Physiol. 2017, 595, 2915–2930. [Google Scholar] [CrossRef] [PubMed]
- Ma, G.-d.; Chen, W.-C.; Tsai, S.-M.; Kan, N.-W.; Chiu, L.-L.; Chien, K.-Y. Ratings of Perceived Exertion and Physiological Parameters of Muscle Metabolism in Postmenopausal Women: A Comparison Between Water- and Land-Based Exercise. Percept. Mot. Ski. 2017, 124, 477–490. [Google Scholar] [CrossRef]
- Sriton, B.; Ruangthai, R.; Phoemsapthawee, J. Postexercise hypotension and heart rate variability response after water- and land-based high-intensity interval exercise in prehypertensive obese men. J. Exerc. Rehabil. 2022, 18, 57–67. [Google Scholar] [CrossRef]
- Raffaelli, C.; Galvani, C.; Lanza, M.; Zamparo, P. Different methods for monitoring intensity during water-based aerobic exercises. Eur. J. Appl. Physiol. 2012, 112, 125–134. [Google Scholar] [CrossRef]
- Nagle, E.F.; Sanders, M.E.; Gibbs, B.B.; Franklin, B.A.; Nagle, J.A.; Prins, P.J.; Johnson, C.D.; Robertson, R.J. Reliability and Accuracy of a Standardized Shallow Water Running Test to Determine Cardiorespiratory Fitness. J. Strength Cond. Res. 2017, 31, 1669. [Google Scholar] [CrossRef]

| Participants | |
|---|---|
| N Sex Age (in years) Height (cm) Weight (kg) International Physical activity levels (%) Level 1 (inactive) Level 2 (minimally active) Level 3 (active) | 20 F 21.95 ± 2.35 160.95 ± 5.76 53.95 ± 8.08 0% 85% 15% |
| Stage Number | Cadence (bpm) | Aquatic Incremental: N (%) | Land Incremental: N (%) |
|---|---|---|---|
| 1 | 85 | 20 (100%) | 20 (100%) |
| 2 | 100 | 20 (100%) | 20 (100%) |
| 3 | 115 | 20 (100%) | 20 (100%) |
| 4 | 130 | 20 (100%) | 20 (100%) |
| 5 | 145 | 19 (95%) | 16 (80%) |
| 6 | 160 | 11 (55%) | 12 (60%) |
| 7 | 175 | 9 (45%) | 8 (40%) |
| 8 | 190 | 8 (40%) | 7 (35%) |
| 9 | 205 | 6 (30%) | 3 (15%) |
| 10 | 220 | 4 (20%) | 0 (0%) |
| Stages | Medium | HR | %HRmax | %HRR | VO2 | %VO2max | %VO2R | RPE |
|---|---|---|---|---|---|---|---|---|
| 1 | Aquatic Land | 110.9 ± 16.2 136.7 ± 15.8 | 65.7 ± 8.0 67.8 ± 6.7 | 26.8 ± 14.1 36.1 ± 8.9 | 926.0 ± 303.8 1016.7 ± 305.1 | 47.4 ± 13.4 49.6 ± 13.2 | 34.1 ± 14.7 39.3 ± 13.3 | 7.5 ± 1.3 8.7 ± 2.1 |
| 2 | Aquatic Land | 119.0 ± 18.2 153.6 ± 15.3 | 70.5 ± 9.4 74.3 ± 7.5 | 36.6 ± 19.3 49.2 ± 11.7 | 1078.3 ± 357.3 1221.4 ± 366.7 | 54.9 ± 16.4 58.3 ± 15.8 | 43.2 ± 17.6 51.5 ± 17.5 | 8.8 ± 1.8 10.4 ± 2.3 |
| 3 | Aquatic Land | 132.0 ± 21.9 168.5 ± 14.5 | 77.8 ± 8.6 83.6 ± 8.1 | 52.2 ± 19.0 67.9 ± 14.5 | 1309.2 ± 431.7 1479.8 ± 436.3 | 65.5 ± 17.1 70.6 ± 17.0 | 57.8 ± 20.0 65.9 ± 18.9 | 10.6 ± 2.3 11.9 ± 2.3 |
| 4 | Aquatic Land | 146.6 ± 24.5 168.5 ± 14.5 | 86.3 ± 8.4 91.7 ± 7.2 | 70.2 ± 19.2 83.9 ± 14.5 | 1548.6 ± 625.3 1689.7 ± 438.7 | 77.4 ± 21.6 80.0 ± 11.0 | 71.1 ± 26.5 76.7 ± 11.9 | 12.4 ± 2.7 13.9 ± 2.0 |
| Measure | AHIIT | LHIIT | p-Value |
|---|---|---|---|
| HRmax (bpm) | 162 ± 19.1 | 179.1 ± 14.3 | <0.01 * |
| HR (bpm) | W149.62 ± 18.88 R 139.26 ± 17.90 | W166.75 ± 16.41 R158.07 ± 15.78 | <0.01 * <0.01 * |
| %HRmax (%) | W92.71 ± 4.25 R 86.40 ± 6.60 | W93.26 ± 3.98 R 88.75 ± 3.47 | 0.693 0.177 |
| VO2max (mL·kg−1·min−1) | 35.78 ± 6.58 | 36.14 ± 7.24 | 0.819 |
| VO2 (mL·min−1) | W1758.57 ± 348.76 R1383.19 ± 280.37 | W1829.18 ± 287.67 R1462.29 ± 318.55 | 0.293 0.273 |
| %VO2max (%) | W91.4 ± 5.98 R72.18 ± 10.15 | W95.38 ± 11.29 R76.66 ± 11.02 | 0.091 0.173 |
| Oxygen pulse (mL/beat) | W11.81 ± 2.05 R9.92 ± 1.55 | W11.05 ± 1.78 R9.27 ± 1.78 | 0.038 * 0.078 |
| RER | W0.93 ± 0.09 R1.05 ± 0.09 | W0.94 ± 0.06 R1.01 ± 0.08 | 0.460 0.178 |
| VE (L/min) | W61.31 ± 15.31 R52.40 ± 13.63 | W62.93 ± 11.22 R51.35 ± 8.81 | 0.621 0.704 |
| EE (kcal/min) | W8.64 ± 1.70 R6.99 ± 1.44 | W9.02 ± 1.44 R7.33 ± 1.57 | 0.257 0.340 |
| MET | W9.22 ± 1.50 R7.28 ± 1.48 | W9.79 ± 1.52 R7.77 ± 1.35 | 0.122 0.189 |
| Cumulative EE (kcal) Lactate changes (mmol/L) | W609.81 ± 235.53 R663.98 ± 255.72 6.08 ± 2.86 | W618.70 ± 246.65 R667.07 ± 265.39 5.84 ± 2.42 | 0.897 0.967 0.572 |
| Measure | AHIIT | LHIIT | p Value |
|---|---|---|---|
| RPE (6–20) | W13.18 ± 2.0 R11.66 ± 2.18 | W12.86 ± 1.84 R11.71 ± 1.89 | 0.60 0.948 |
| Enjoyment (Score of 126) | 68.55 ± 7.53 | 68.55 ± 9.24 | 1.00 |
| Self-efficacy (Score of 100) | 37.8 ± 27.48 | 45.75 ± 20.91 | 0.072 |
| Muscle soreness index (Score 0–6) | 5.3 ± 2.07 | 5.4 ± 1.7 | 0.873 |
Publisher’s Note: MDPI stays neutral with regard to jurisdictional claims in published maps and institutional affiliations. |
© 2022 by the authors. Licensee MDPI, Basel, Switzerland. This article is an open access article distributed under the terms and conditions of the Creative Commons Attribution (CC BY) license (https://creativecommons.org/licenses/by/4.0/).
Share and Cite
Kwok, M.M.Y.; Poon, E.T.C.; Ng, S.S.M.; Lai, M.C.Y.; So, B.C.L. Effects of Aquatic versus Land High-Intensity Interval Training on Acute Cardiometabolic and Perceptive Responses in Healthy Young Women. Int. J. Environ. Res. Public Health 2022, 19, 16761. https://doi.org/10.3390/ijerph192416761
Kwok MMY, Poon ETC, Ng SSM, Lai MCY, So BCL. Effects of Aquatic versus Land High-Intensity Interval Training on Acute Cardiometabolic and Perceptive Responses in Healthy Young Women. International Journal of Environmental Research and Public Health. 2022; 19(24):16761. https://doi.org/10.3390/ijerph192416761
Chicago/Turabian StyleKwok, Manny M. Y., Eric T. C. Poon, Shamay S. M. Ng, Matthew C. Y. Lai, and Billy C. L. So. 2022. "Effects of Aquatic versus Land High-Intensity Interval Training on Acute Cardiometabolic and Perceptive Responses in Healthy Young Women" International Journal of Environmental Research and Public Health 19, no. 24: 16761. https://doi.org/10.3390/ijerph192416761
APA StyleKwok, M. M. Y., Poon, E. T. C., Ng, S. S. M., Lai, M. C. Y., & So, B. C. L. (2022). Effects of Aquatic versus Land High-Intensity Interval Training on Acute Cardiometabolic and Perceptive Responses in Healthy Young Women. International Journal of Environmental Research and Public Health, 19(24), 16761. https://doi.org/10.3390/ijerph192416761

