Combination of Water-Saving Irrigation and Nitrogen Fertilization Regulates Greenhouse Gas Emissions and Increases Rice Yields in High-Cold Regions, Northeast China
Abstract
1. Introduction
2. Materials and Methods
2.1. Study Area
2.2. Crop Management and Treatments
2.3. N2O and CH4 Measurements
2.4. Plant Sampling and Estimation of Yields
2.5. Data Analysis and Statistics
3. Results
3.1. Climatic Data
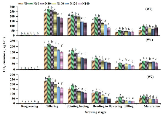
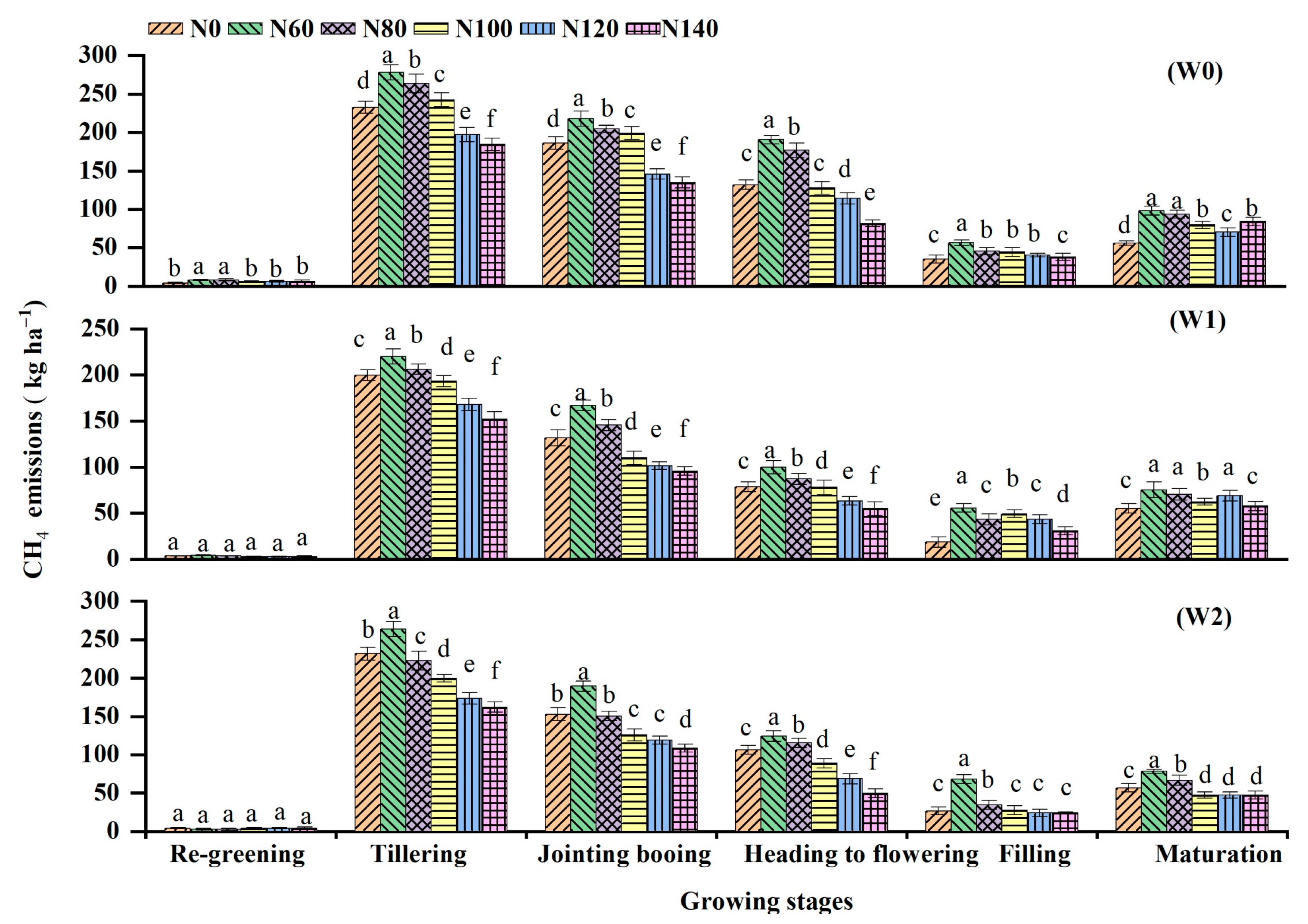
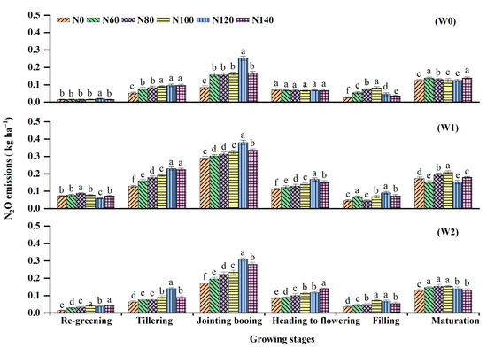
3.2. CH4 and N2O Fluxes
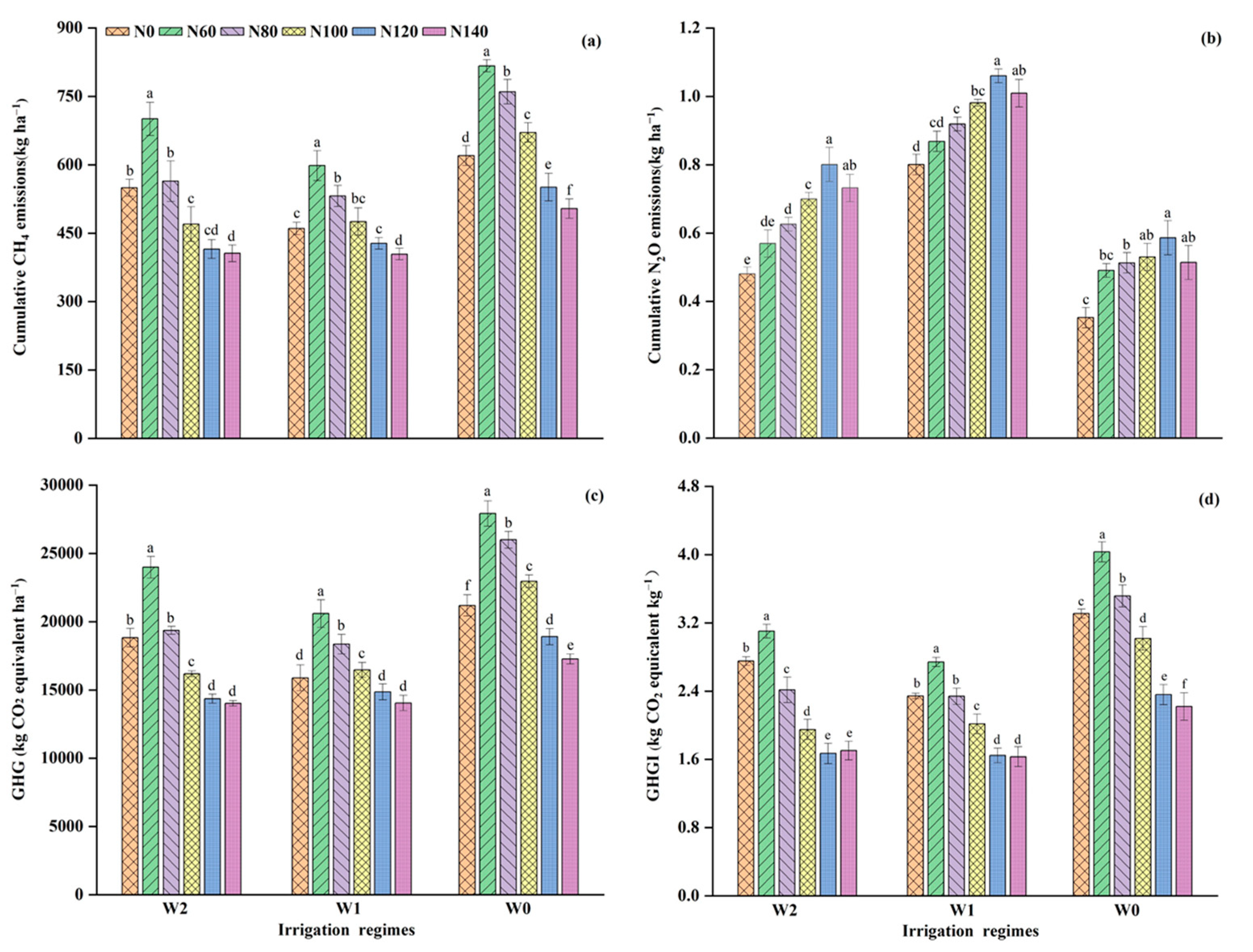
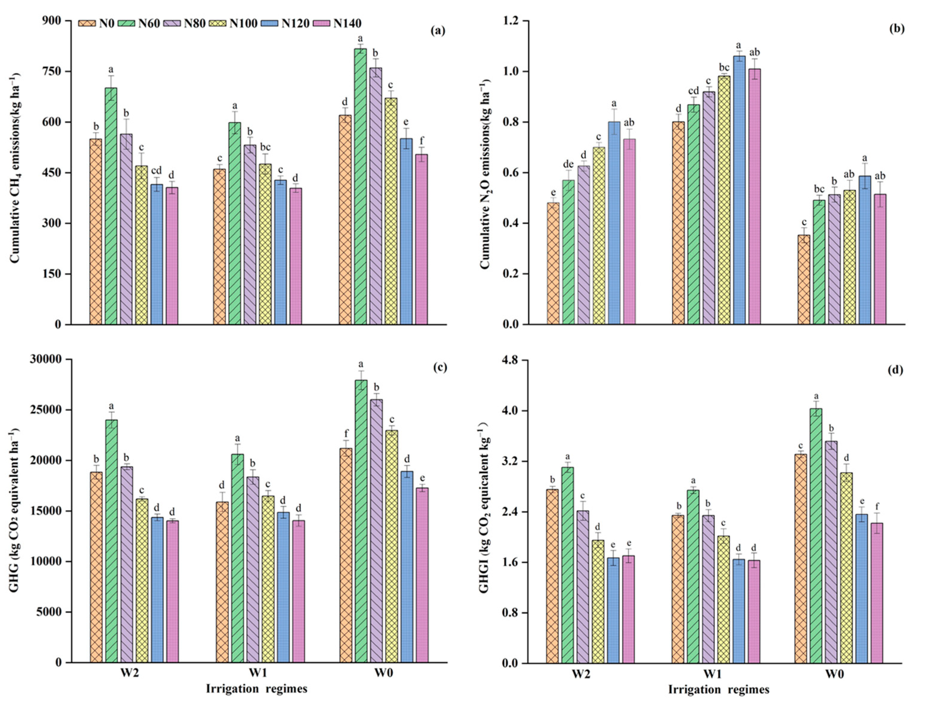
3.3. CH4 and N2O Emissions
3.4. Grain Yield, GWP and GHGI
4. Discussion
4.1. CH4 Emissions
4.2. N2O Emissions
4.3. GWP, Yields and GHGI
5. Conclusions
Author Contributions
Funding
Institutional Review Board Statement
Informed Consent Statement
Data Availability Statement
Acknowledgments
Conflicts of Interest
References
- Alexandratos, N.; Bruinsma, J. World Agriculture towards 2030/2050: The 2012 Revision; ESA Working Paper; FAO: Rome, Italy, 2012. [Google Scholar] [CrossRef]
- US E.P.A. Global Anthropogenic Non-CO2 Greenhouse Gas Emissions: 1990–2020; EPA 430-R-06-003; United States Environmental Protection Agency: Washington, DC, USA, 2006. [Google Scholar]
- Saunois, M.; Stavert, A.R.; Poulter, B.; Bousquet, P.; Canadell, J.G.; Jackson, R.B.; Raymond, P.A.; Dlugokencky, E.J.; Houweling, S.; Patra, P.K.; et al. The global methane budget 2000–2017. Earth Syst. Sci. Data 2020, 12, 1561–1623. [Google Scholar] [CrossRef]
- Ku, H.H.; Hayashi, K.; Agbisit, R.; Villegas-Pangga, G. Evaluation of fertilization and water management effect on rice performance and greenhouse gas intensity in different seasonal weather of tropical climate. Sci. Total Environ. 2017, 601, 1254–1262. [Google Scholar] [CrossRef]
- Cai, Z.C.; Shan, Y.H.; Xu, H. Effects of nitrogen fertilization on CH4 emissions from rice fields. Soil Sci. Plant Nutr. 2007, 53, 353–361. [Google Scholar] [CrossRef]
- Dong, W.J.; Guo, J.; Xu, L.J.; Song, Z.F.; Zhang, J.; Tang, A.; Zhang, X.J.; Leng, C.X.; Liu, Y.H.; Wang, L.M.; et al. Water regime-nitrogen fertilization incorporation interaction: Field study on methane and nitrous oxide emissions from a rice agroecosystem in Harbin, China. J. Environ. Sci. 2018, 64, 289–297. [Google Scholar] [CrossRef]
- Pan, J.F.; Liu, Y.Z.; Zhong, X.H.; Lampayan, R.M.; Singleton, G.R.; Huang, N.R.; Liang, K.M.; Peng, B.L.; Tian, K. Grain yield, water productivity and nitrogen use efficiency of rice under different water management and fertilization-N inputs in South China. Agr. Water Manag. 2017, 184, 191–200. [Google Scholar] [CrossRef]
- Zhuang, Y.; Zhang, L.; Li, S.S.; Liu, H.B.; Zhai, L.M.; Zhou, F.; Ye, Y.S.; Ruan, S.H.; Wen, W.J. Effects and potential of water-saving irrigation for rice production in China. Agric. Water Manag. 2019, 217, 374–382. [Google Scholar] [CrossRef]
- Wang, H.; Zhang, Y.; Zhang, Y.J.; McDaniel, M.D.; Sun, L.; Su, W.; Fan, X.R.; Liu, S.H.; Xiao, X. Water-saving irrigation is a “win-win” management strategy in rice paddies—with both reduced greenhouse gas emissions and enhanced water use efficiency. Agric. Water Manag. 2020, 228, 105889. [Google Scholar] [CrossRef]
- Nishimura, S.; Kimiwada, K.; Yagioka, A.; Hayashi, S.; Oka, N. Effect of intermittent drainage in reduction of methane emission from paddy soils in Hokkaido, Northern Japan. Soil Sci. Plant Nutr. 2020, 66, 360–368. [Google Scholar] [CrossRef]
- Islam, S.M.M.; Gaihre, Y.K.; Islam, M.R.; Al Mahmud, A.; Singh, U.; Sander, B.O. Effects of water management on greenhouse gas emissions from farmers’ rice fields in Bangladesh. Sci. Total Environ. 2020, 734, 139382. [Google Scholar] [CrossRef]
- Zhang, X.; Zhang, G.; Ji, Y.; Ma, J.; Xu, H.; Cai, Z.C. Straw application altered CH4 emission, concentration and 13C-isotopic signature of dissolved CH4 in a rice field. Pedosphere 2012, 22, 13–21. [Google Scholar] [CrossRef]
- Cowan, N.; Cowan, N.; Bhatia, A.; Jain, N.; Singh, R.; Tomer, R.; Kumar, V.; Kumar, O.; Prasanna, R.; Ramakrishnan, B. Experimental comparison of continuous and intermittent flooding of rice in relation to methane, nitrous oxide and ammonia emissions and the implications for nitrogen use efficiency and yield. Agric. Ecosyst. Environ. 2021, 319, 107571. [Google Scholar] [CrossRef]
- Linquist, B.A.; Anders, M.; Adviento-Borbe, M.; Chaney, R.L.; Nalley, L.L.; Da Rosa, E.F.F.; Van Kessel, C. Reducing greenhouse gas emissions water use, and grain arsenic levels in rice systems. Glob. Chang. Biol. 2015, 21, 407–417. [Google Scholar] [CrossRef]
- Jiang, Y.; Carrijo, D.; Huang, S.; Balaine, N.; Zhang, W.J.; van Groenigen, K.J.; Linquist, B. Water management to mitigate the global warming potential of rice systems: A global meta-analysis. Field Crop Res. 2019, 234, 47–54. [Google Scholar] [CrossRef]
- Shi, H.; Cai, S.; Sun, Z.X.; Shi, Y.Z. Water-use efficiency and greenhouse gas emissions of rice affected by water saving and nitrogen reduction. Agron. J. 2021, 113, 4777–4792. [Google Scholar] [CrossRef]
- Lan, T.; Zhang, H.; Han, Y.; Deng, O.P.; Tang, X.Y.; Luo, L.; Zeng, J.; Chen, G.D.; Wang, C.Q.; Gao, X.S. Regulating CH4, N2O, and NO emissions from an alkaline paddy field under rice-wheat rotation with controlled release N fertilization. Environ. Sci. Pollut. R 2021, 28, 18246–18259. [Google Scholar] [CrossRef]
- Souza, R.; Yin, J.; Calabrese, S. Optimal drainage timing for mitigating methane emissions from rice paddy fields. Geoderma 2021, 394, 114986. [Google Scholar] [CrossRef]
- Zheng, J.; Fan, J.L.; Zhang, F.C.; Guo, J.J.; Yan, S.C.; Zhuang, Q.L.; Cui, N.B.; Guo, L. Interactive effects of mulching practice and nitrogen rate on grain yield, water productivity, fertilization use efficiency and greenhouse gas emissions of rainfed summer maize in northwest China. Agric. Water Manag. 2021, 248, 106778. [Google Scholar] [CrossRef]
- Migliorati, M.D.; Scheer, C.; Grace, P.R.; Rowlings, D.W.; Bell, M.; McGree, J. Influence of different nitrogen rates and DMPP nitrification inhibitor on annual N2O emissions from a subtropical wheat-maize cropping system. Agric. Ecosyst. Environ. 2014, 186, 33–43. [Google Scholar] [CrossRef]
- Wang, G.S.; Liang, Y.P.; Zhang, Q.; Jha, S.K.; Gao, Y.; Shen, X.J.; Sun, J.S.; Duan, A.W. Mitigated CH4 and N2O emissions and improved irrigation water use efficiency in winter wheat field with surface drip irrigation in the North China Plain. Agric. Water Manag. 2016, 163, 403–407. [Google Scholar] [CrossRef]
- Feng, J.F.; Chen, C.Q.; Zhang, Y.; Song, Z.W.; Deng, A.X.; Zheng, C.Y.; Zhang, W.J. Impacts of cropping practices on yield-scaled greenhouse gas emissions from rice fields in China: A meta-analysis. Agric. Ecosyst. Environ. 2013, 164, 220–228. [Google Scholar] [CrossRef]
- Zhou, M.; Zhu, B.; Brüggemann, N.; Wang, X.G.; Zheng, X.H.; Butterbach-Bahl, K. Nitrous oxide and methane emissions from a subtropical rice-rapeseed rotation system in China: A 3-year field case study. Agric. Ecosyst. Environ. 2015, 212, 297–309. [Google Scholar] [CrossRef]
- Pittelkow, C.M.; Adviento-Borbe, M.A.; Hill, J.E.; Six, J.; van Kessel, C.; Linquist, B.A. Yield-scaled global warming potential of annual nitrous oxide and methane emissions from continuously flooded rice in response to nitrogen input. Agric. Ecosyst. Environ. 2013, 177, 10–20. [Google Scholar] [CrossRef]
- Hussain, S.; Peng, S.B.; Fahad, S.; Khaliq, A.; Huang, J.L.; Cui, K.H.; Nie, L.X. Rice management interventions to mitigate greenhouse gas emissions: A review. Environ. Sci. Pollut. Res. 2015, 22, 3342–3360. [Google Scholar] [CrossRef]
- Zhou, G.P.; Gao, S.J.; Lu, Y.H.; Liao, Y.L.; Nie, J.; Cao, W.D. Co-incorporation of green manure and rice straw improves rice production, soil chemical, biochemical and microbiological properties in a typical paddy field in Southern China. Soil Till Res. 2020, 197, 104499. [Google Scholar] [CrossRef]
- Linquist, B.A.; Adviento-Borbe, M.A.; Pittelkow, C.M.; van Kessel, C.; van Groenigen, K.J. Fertilization management practices and greenhouse gas emissions from rice systems: A quantitative review and analysis. Field Crop Res. 2012, 135, 10–21. [Google Scholar] [CrossRef]
- Guo, C.; Ren, T.; Li, P.F.; Wang, B.; Zou, J.L.; Hussain, S.; Cong, R.H.; Wu, L.S.; Lu, J.W.; Li, X.K. Producing more grain yield of rice with less ammonia volatilization and greenhouse gases emission using slow controlled-release urea. Environ. Sci. Pollut. Res. 2019, 26, 2569–2579. [Google Scholar] [CrossRef]
- Heilongjiang Bureau of Statistics. Heilongjiang Statistical Yearbook; China Statistics Press: Beijing, China, 2020.
- Haque, M.M.; Biswas, J.C.; Maniruzzaman, M.; Hossain, M.B.; Islam, M.R. Water management and soil amendment for reducing emission factor and global warming potential but improving ice yield. Paddy Water Environ. 2021, 19, 515–527. [Google Scholar] [CrossRef]
- Wang, J.; Jia, X.; Xiong, Z.; Khalil, M.; Xing, G. Water regime–nitrogen fertilizer-straw incorporation interaction: Field study on nitrous oxide emissions from a rice agroecosystem in Nanjing, China. Agric. Ecosyst. Environ. 2011, 141, 437–446. [Google Scholar] [CrossRef]
- Li, L.; Li, F.; Dong, Y. Greenhouse gas emissions and global warming potential in double- cropping rice fields as influenced by two water-saving irrigation modes in South China. J. Soil Sci. Plant Nutr. 2020, 20, 2617–2630. [Google Scholar] [CrossRef]
- Chakraborty, A.; Bhattacharya, D.K.; Li, B.L. Spatiotemporal dynamics of methane emission from rice fields at global scale. Ecol. Complex 2006, 3, 231–240. [Google Scholar] [CrossRef]
- Zou, J.; Huang, Y.; Jiang, J.; Zheng, X.; Sass, R. A 3-year field measurement of methane and nitrous oxide emissions from rice paddies in China: Effects of water regime, crop residue, and fertilizer application. Glob. Biogeochem. 2005, 19, 153–174. [Google Scholar] [CrossRef]
- Maucieri, C.; Zhang, Y.; McDaniel, M.D.; Borin, M.; Adams, M.A. Short−term effects of biochar and salinity on soil greenhouse gas emissions from a semi-arid Australian soil after re-wetting. Geoderma 2017, 307, 267–276. [Google Scholar] [CrossRef]
- Xiao, W.C.; Jia, H.W.; Qiu, X.K.; Huang, W.Y. Effects of irrigation adjusted by rainfall on emissions of CH4 and N2O from paddy fields. J. Irrig. Drain. 2017, 36, 36–40. (In Chinese) [Google Scholar] [CrossRef]
- Mosier, A.; Wassmann, R.; Verchot, L.; King, J. Methane and nitrogen oxide fluxes in tropical agricultural soils: Sources, sinks and mechanisms. Environ. Dev. Sustain. 2004, 6, 11–49. [Google Scholar] [CrossRef]
- Win, K.T.; Nonaka, R.; Win, A.T.; Sasada, Y.; Toyota, K.; Motobayashi, T. Effects of water saving irrigation and rice variety on greenhouse gas emissions and water use efficiency in a paddy field fertilized with anaerobically digested pig slurry. Paddy Water Environ. 2015, 13, 51–60. [Google Scholar] [CrossRef]
- Banger, K.; Tian, H.; Lu, C. Do nitrogen fertilizers stimulate or inhibit methane emissions from rice fields? Glob. Chang. Biol. 2012, 18, 3259–3267. [Google Scholar] [CrossRef]
- Liao, B.; Wu, X.; Yu, Y.; Luo, S.Y.; Hu, R.G.; Lu, G.A. Effects of mild alternate wetting and drying irrigation and mid-season drainage on CH4 and N2O emissions in rice cultivation. Sci. Total Environ. 2020, 698, 134212. [Google Scholar] [CrossRef]
- Kim, D.G.; Hernandez-Ramirez, G.; Giltrap, D. Linear and nonlinear dependency of direct nitrous oxide emissions on fertilization nitrogen input: A meta-analysis. Agric. Ecosyst. Environ. 2013, 168, 53–65. [Google Scholar] [CrossRef]
- Xu, P.; Zhang, Y.S.; Gong, W.W.; Hou, X.K.; Kroeze, C.; Gao, W.; Luan, S.J. An inventory of the emission of ammonia from agricultural fertilization application in China for 2010 and its high-resolution spatial distribution. Atmos. Environ. 2015, 115, 141–148. [Google Scholar] [CrossRef]
- Feng, Z.Y.; Qin, T.; Du, X.Z.; Sheng, F.; Li, C.F. Effects of irrigation regime and rice variety on greenhouse gas emissions and grain yields from paddy fields in central China. Agric. Water Manag. 2021, 250, 106830. [Google Scholar] [CrossRef]
- Chidthaisong, A.; Cha-un, N.; Rossopa, B.; Buddaboon, C.; Kunuthai, C.; Sriphirom, P.; Towprayoon, S.; Tokida, T.; Padre, A.T.; Minamikawa, K. Evaluating the effects of alternate wetting and drying (AWD) on methane and nitrous oxide emissions from a paddy field in Thailand. Soil Sci. Plant Nutr. 2016, 64, 31–38. [Google Scholar] [CrossRef]
- Peyron, M.; Bertora, C.; Pelissetti, S.; Said-Pullicino, D.; Celi, L.; Miniotti, E.; Romani, M.; Sacco, D. Greenhouse gas emissions as affected by different water management practices in temperate rice paddies. Agric. Water Manag. 2016, 232, 17–28. [Google Scholar] [CrossRef]
- Yang, S.H.; Liu, X.J.; Liu, X.Y.; Xu, J.Z. Effect of water management on soil respiration and NEE of paddy fields in Southeast China. Paddy Water Environ. 2017, 15, 787–796. [Google Scholar] [CrossRef]
- Quang, L.X.; Nakamura, K.; Hung, T.; Tinh, N.V.; Matsuda, S.; Kadota, K.; Horino, H.; Hai, P.T.; Komatsu, H.; Hasegawa, K. Effect of organizational paddy water management by a water user group on methane and nitrous oxide emissions and rice yield in the Red River Delta, Vietnam. Agric. Water Manag. 2019, 217, 179–192. [Google Scholar] [CrossRef]







| Water Regimes | Treatment | Effective Tillering Numbers | Grains Numbers per Panicle | 1000-Kernel Weight (g) | Grain Yield (kg ha−1) |
|---|---|---|---|---|---|
| Flooding Irrigation (W0) | W0N0 | 10.7 ± 0.4 e | 52.8 ± 0.2 d | 28.4 ± 0.4 a | 6830.0 ± 120.2 e |
| W0N60 | 16.1 ± 0.4 cd | 54.6 ± 0.3 d | 29.4 ± 0.4 a | 7387.6 ± 121.3 d | |
| W0N80 | 16.5 ± 0.5 c | 69.1 ± 1.1 d | 26.9 ± 0.6 bc | 7886.7 ± 164.6 cd | |
| W0N100 | 19.5 ± 0.5 ab | 85.8 ± 1.4 c | 26.5 ± 0.7 bc | 8114.7 ± 158.7 bc | |
| W0N120 | 20.4 ± 0.3 a | 91.4 ± 0.9 a | 27.5 ± 0.5 b | 8550.0 ± 180.5 a | |
| W0N140 | 19.3 ± 0.3 ab | 89.2 ± 0.8 b | 26.0 ± 0.5 c | 8300.0 ± 105.1 b | |
| Intermittent irrigation (W2) | W1N0 | 14.3 ± 0.5 c | 71.8 ± 1.2 d | 27.1 ± 0.2 a | 7233.3 ± 105.1 f |
| W1N60 | 16.2 ± 0.6 ac | 74.4 ± 1.2 d | 27.2 ± 0.2 a | 8013.2 ± 120.6 e | |
| W1N80 | 18.7 ± 0.8 ab | 97.1 ± 1.7 b | 27.8 ± 0.2 a | 8370.0 ± 86.1 d | |
| W1N100 | 19.7 ± 0.8 a | 101.8 ± 1.8 a | 27.7 ± 0.2 a | 8716.7 ± 87.8 b | |
| W1N120 | 16.6 ± 0.6 b | 96.5 ± 1.2 bc | 27.1 ± 0.2 a | 9633.6 ± 220.4 a | |
| W1N140 | 14.3 ± 0.5 c | 71.8 ± 1.2 d | 27.1 ± 0.2 a | 9187.0 ± 165.6 c | |
| Controlled irrigation (W3) | W2N0 | 10.7 ± 0.4 e | 52.8 ± 0.2 d | 28.4 ± 0.4 a | 6841.4 ± 25.6 e |
| W2N60 | 9.2 ± 1.2 e | 60.2 ± 0.8 e | 27.2 ± 1.1 b | 7732.3 ± 49.7 d | |
| W2N80 | 14.2 ± 0.5 d | 69.3 ± 1.1 c | 26.9 ± 0.5 c | 8017.7 ± 116.5 bc | |
| W2N100 | 16.4 ± 0.6 c | 73.3 ± 1.1 d | 25.9 ± 0.5 c | 8300.9 ± 156.4 b | |
| W2N120 | 18.6 ± 0.7 b | 85.1 ± 1.2 b | 25.3 ± 0.6 c | 8601.7 ± 113.3 a | |
| W2N140 | 20.0 ± 0.4 a | 94.8 ± 1.1 a | 27.5 ± 0.6 a | 8234.8 ± 186.5 b |
| Trait | Effective Tillering | Grains per Panicle | 1000-Kernel Weight | Yield |
|---|---|---|---|---|
| Effective tillerings | 1 | |||
| Grains numbers per panicle | 0.810 ** | 1 | ||
| 1000-kernel weight | 0.180 ns | 0.286 ns | 1 | |
| Yield | 0.783 ** | 0.927 ** | 0.179 ns | 1 |
| Source | Grain Yield | Average CH4 Flux | Average N2O Flux | CH4 Emissions | N2O Emissions | GWP | GHGI |
|---|---|---|---|---|---|---|---|
| W | ** | ** | ns | ** | ns | ** | * |
| N | ** | ns | ** | * | ** | ns | ** |
| W × N | ns | * | * | ** | * | ** | ** |
Publisher’s Note: MDPI stays neutral with regard to jurisdictional claims in published maps and institutional affiliations. |
© 2022 by the authors. Licensee MDPI, Basel, Switzerland. This article is an open access article distributed under the terms and conditions of the Creative Commons Attribution (CC BY) license (https://creativecommons.org/licenses/by/4.0/).
Share and Cite
Sun, Y.; Lai, Y.; Wang, Q.; Song, Q.; Jin, L.; Zeng, X.; Feng, Y.; Lu, X. Combination of Water-Saving Irrigation and Nitrogen Fertilization Regulates Greenhouse Gas Emissions and Increases Rice Yields in High-Cold Regions, Northeast China. Int. J. Environ. Res. Public Health 2022, 19, 16506. https://doi.org/10.3390/ijerph192416506
Sun Y, Lai Y, Wang Q, Song Q, Jin L, Zeng X, Feng Y, Lu X. Combination of Water-Saving Irrigation and Nitrogen Fertilization Regulates Greenhouse Gas Emissions and Increases Rice Yields in High-Cold Regions, Northeast China. International Journal of Environmental Research and Public Health. 2022; 19(24):16506. https://doi.org/10.3390/ijerph192416506
Chicago/Turabian StyleSun, Yu, Yongcai Lai, Qi Wang, Qiulai Song, Liang Jin, Xiannan Zeng, Yanjiang Feng, and Xinrui Lu. 2022. "Combination of Water-Saving Irrigation and Nitrogen Fertilization Regulates Greenhouse Gas Emissions and Increases Rice Yields in High-Cold Regions, Northeast China" International Journal of Environmental Research and Public Health 19, no. 24: 16506. https://doi.org/10.3390/ijerph192416506
APA StyleSun, Y., Lai, Y., Wang, Q., Song, Q., Jin, L., Zeng, X., Feng, Y., & Lu, X. (2022). Combination of Water-Saving Irrigation and Nitrogen Fertilization Regulates Greenhouse Gas Emissions and Increases Rice Yields in High-Cold Regions, Northeast China. International Journal of Environmental Research and Public Health, 19(24), 16506. https://doi.org/10.3390/ijerph192416506
