Land-Use Carbon Emissions in the Yellow River Basin from 2000 to 2020: Spatio-Temporal Patterns and Driving Mechanisms
Abstract
1. Introduction
2. Literature Review
3. Study Area and Methodology
3.1. Study Area
3.2. Methodology
3.2.1. Methodology for Estimating Land-Use Carbon Emissions
3.2.2. Global Spatial Autocorrelation
3.2.3. Local Spatial Autocorrelation
3.2.4. Geographically and Temporally Weighted Regression Model
4. Results
4.1. Spatio-Temporal Patterns of Land-Use Carbon Emissions in the Yellow River Basin
4.2. Spatial Correlation Analysis of Land-Use Carbon Emissions in the Yellow River Basin
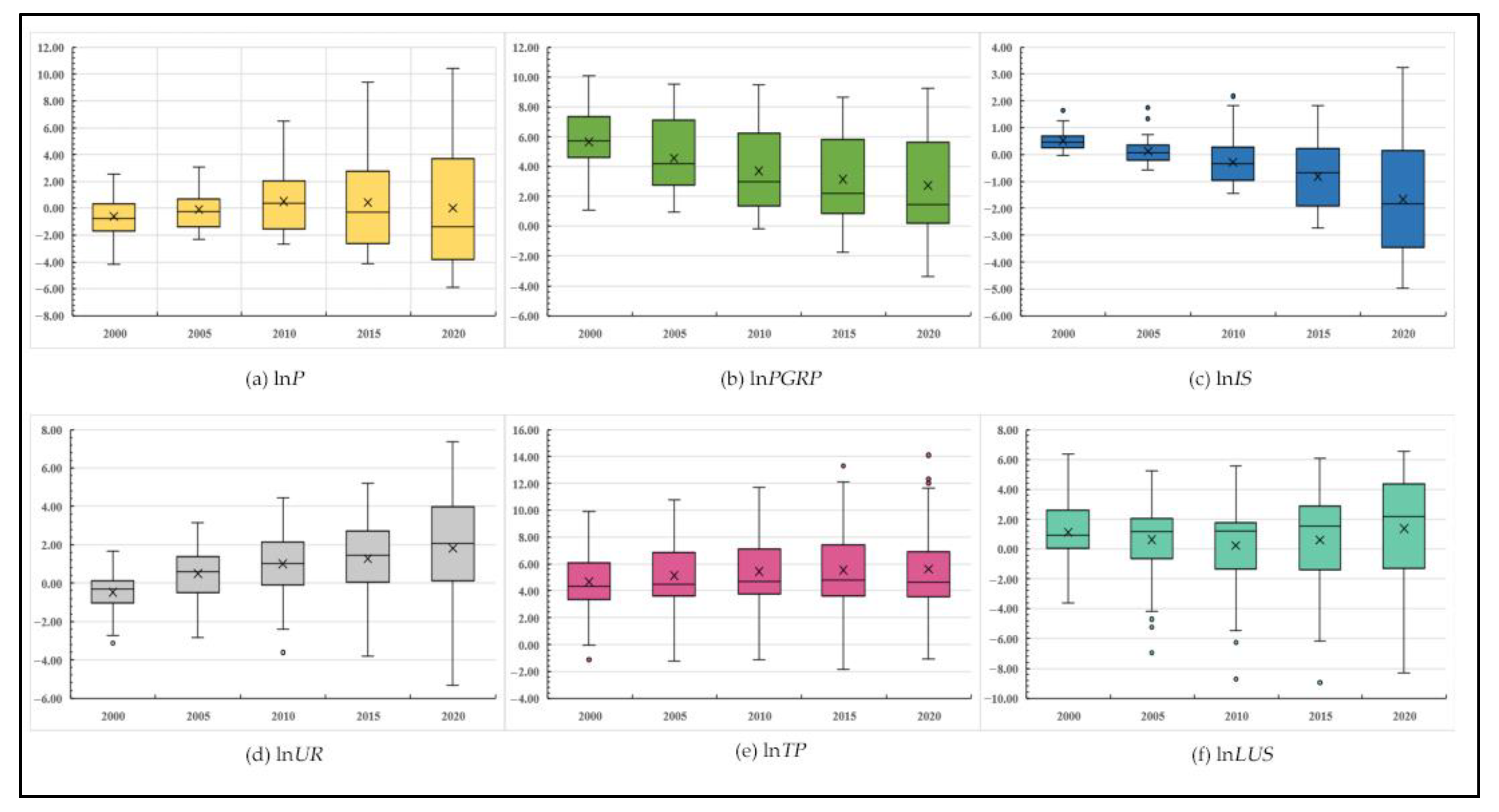
4.3. Analysis of the Driving Factors of Carbon Emissions from Land Use in the Yellow River Basin
5. Discussion
6. Conclusions
6.1. Main Conclusions
- (1)
- The total net land-use carbon emissions in the Yellow River Basin dramatically changed between 2000 and 2020, with the growth rate first rising and then falling. The primary carbon sink is forest land, while the primary carbon source is construction land.
- (2)
- Over the past 20 years, the net land-use carbon emissions of cities in the Yellow River Basin increased to varying degrees, with the largest increase in Xi’an and the smallest increase in the Golog Tibetan Autonomous Prefecture. The spatial pattern of land-use carbon emissions is “high in the middle east and low in the northwest,” which is closely related to urban development models and function positioning.
- (3)
- The Yellow River Basin’s urban land-use carbon emissions showed a substantial spatial link, with the degree of spatial agglomeration initially rising and then falling. “L-L” was concentrated in the upper parts of the Yellow River Basin and was generally stable, while “H-H” was concentrated in the middle and lower reaches with an eastward migration trend.
- (4)
- According to the analysis of the GTWR model, the Yellow River Basin’s land-use carbon emissions are driven by a variety of factors, including population size, economic development level, industrial structure, social development level, technological advancement, and land-use structure. While the rates of economic development and technological advancement have a major positive driving effect, the other components’ driving effects fluctuate with time, and significant geographical variances exist.
6.2. Policy Implications
- (1)
- Controlling the size of the population and advance the quality of the population: The influence of population density on land-use carbon emissions is known. More than 30% of China’s entire population is in the Yellow River Basin, which is a sizable percentage. Along with the implementation of the universal three-child policy, population growth will drive carbon emissions in the short term. To avoid rapid population growth following the implementation of the three-child policy, people must be guided toward a correct conception of fertility. Additionally, it is important to keep the inflow of outlanders under control and to strike a balance between reducing carbon emissions and luring outlanders to create jobs. The higher quality of the population will inevitably advance technology and maximize the benefits of human capital.
- (2)
- Learning advanced carbon sequestration techniques and improving the function of carbon sequestration: The Chinese Ministry of Agriculture and Rural Affairs published 10 technology models for carbon mitigation and sequestration in 2021. These models cover important topics such as carbon mitigation and sequestration in the planting industry, rural renewable resource replacement, and straw-return processes, which provide two advantages: stable production and supply and carbon mitigation and sequestration. The government should invest more funds in advanced machinery. Moreover, studying advanced science and technology should be encouraged.
- (3)
- Strengthening regional cooperation and promoting coordinated development among regions: The Yellow River Basin’s urban land-use carbon emissions showed a substantial spatial link. Therefore, the overall emission reduction target can be met by implementing regionally collaborative emission reduction policies. The inter-regional economic cooperation linkage and compensation mechanism should be established to promote the efficient circulation of innovative resources in the upper parts and the middle and lower parts of the Yellow River Basin.
- (4)
- Pay attention to regional variations and adapt actions to local circumstances. The volume and cause of land-use carbon emissions in the Yellow River’s watershed varied significantly by location. Each province should leverage its geographic, cultural, and natural advantages to expand its market. For example, Shandong and Shanxi can rely on the natural and cultural landscapes to develop tourism vigorously, and Henan can use its national transportation hub to develop the economy vigorously.
Author Contributions
Funding
Institutional Review Board Statement
Informed Consent Statement
Data Availability Statement
Conflicts of Interest
References
- Beyer, R.M.; Manica, A.; Mora, C. Shifts in global bat diversity suggest a possible role of climate change in the emergence of SARS-CoV-1 and SARS-CoV-2. Sci. Total Environ. 2021, 767, 145413. [Google Scholar] [CrossRef] [PubMed]
- International Energy Agency. Global Energy & CO2 Status Report: The Latest Trends in Energy and Emissions in 2018; International Energy Agency: Paris, France, 2019. [Google Scholar]
- Liu, Z.R. On the legal path of carbon emission management in China under the background of “Dual-carbon”. Sci. Law 2022, 40, 94–104. [Google Scholar]
- Liu, Y.H.; Li, Y.H.; Wang, W.T. Challenges, opportunities and actions for China to achieve the targets of carbon peak and carbon neutrality. China Popul. Resour. Environ. 2021, 31, 1–5. [Google Scholar]
- Liu, Y.S.; Chen, B.M. The study framework of land use/cover change based on sustainable development in China. Geogr. Res. 2002, 21, 324–330. [Google Scholar]
- Ma, X.Z.; Wang, Z. Progress in the study on the impact of land-use change on regional carbon sources and sinks. Acta Ecol. Sin. 2015, 35, 5898–5907. [Google Scholar]
- Valérie, M.D.; Zhai, P.M.; Pörtner, H.O. Climate Change and Land: An IPCC Special Report on Climate Change, Desertification, Land Degradation, Sustainable Land Management, Food Security, and Greenhouse Gas Fluxes in Terrestrial Ecosystems. 2021. Available online:https://www.ipcc.ch/srccl/chapter/summary-for-policymakers/ (accessed on 13 May 2021).
- Xi, J.P. Speech at the symposium on ecological protection and high-quality development of the Yellow River Basin. China Water Resour. 2019, 20, 1–3. [Google Scholar]
- Lu, D.D.; Sun, D.Q. Development and management tasks of the Yellow River Basin: A preliminary understanding and suggestion. Acta Geogr. Sin. 2019, 74, 2431–2436. [Google Scholar]
- Zhang, B.F.; Miao, C.H. Spatiotemporal changes and driving forces of land use in the Yellow River Basin. Resourses Sci. 2020, 42, 460–473. [Google Scholar] [CrossRef]
- Houghton, R.A. The annual net flux of carbon to the atmosphere from changes in land use 1850–1990. Tellus. Ser. B Chem. Phys. Meteorol. 1999, 51, 298–313. [Google Scholar] [CrossRef]
- Lai, L.; Huang, X.; Yang, H. Carbon emissions from land-use change and management in China between1990 and 2010. Sci. Adv. 2016, 2, e1601063. [Google Scholar] [CrossRef]
- Fang, J.; Chen, A.; Peng, C. Changes in forest biomass carbon storage in China between 1949 and 1998. Science 2001, 292, 2320–2322. [Google Scholar] [CrossRef] [PubMed]
- Oelbermann, M.; Voroney, R.P. An evaluation of the century model to predict soil organic carbon: Examples from Costa Rica and Canada. Agrofor. Syst. 2011, 82, 37–50. [Google Scholar] [CrossRef]
- Xiao, H.Y.; Yan, X.Z.; Li, B. the effects of land use changes on carbon emission: Take Chongqing as an example. J. Chongqing Norm. Univ. (Nat. Sci.) 2012, 29, 38–42. [Google Scholar]
- Calle, L.; Canadell, J.G.; Patra, P.; Ciais, P.; Ichii, K.; Tian, H.; Kondo, M.; Piao, S.; Arneth, A.; Harper, A.B.; et al. Regional carbon fluxes from land useand land cover change in Asia, 1980–2009. Environ. Res. Lett. 2016, 11, 074011. [Google Scholar] [CrossRef]
- Dugu, C.H. A study on Carbon Emission and Its Influencing Factors of Agriculture Land in China: 1990–2016. Ecol. Econ. 2020, 36, 19–23. [Google Scholar]
- Houghton, R.A.; Hackler, J.L. Sources and sinks of carbon from land-use change in China. Glob. Biogeochem. Cycle 2003, 17, 1034. [Google Scholar] [CrossRef]
- Piao, S.L.; Fang, J.Y.; Ciais, P.; Peylin, P.; Huang, Y.; Sitch, S.; Wang, T. The carbon balance of terrestrial ecosystems in China. Nature 2009, 458, 1014–1099. [Google Scholar] [CrossRef]
- Hong, C.P.; Burney, J.A.; Pongratz, J.; Nabel, J.E.M.S.; Davis, S.J. Global and regional drivers of land-use emissions in 1961–2017. Nature 2021, 589, 554–561. [Google Scholar] [CrossRef]
- Tian, S.Q.; Wang, S.J.; Bai, X.Y.; Luo, G.; Li, Q.; Yang, Y.; Hu, Z.; Li, C.; Deng, Y. Global patterns and changes of carbon emissions from land use during 1992–2015. Environ. Sci. Ecotechnol. 2021, 7, 100108. [Google Scholar] [CrossRef]
- Lin, Q.; Zhang, L.; Qiu, B.; Zhao, Y.; Wei, C. Spatiotemporal analysis of land use patterns on carbon emissions in China. Land 2021, 10, 141. [Google Scholar] [CrossRef]
- Rogelj, J.; den Elzen, M.; Höhne, N.; Fransen, T.; Fekete, H.; Winkler, H.; Schaeffer, R.; Sha, F.; Riahi, K.; Meinshausen, M. Paris Agreement climate proposals need a boost to keep warming well below 2 °C. Nature 2016, 534, 631–639. [Google Scholar] [CrossRef] [PubMed]
- Liu, X.; Wang, S.; Wu, P.; Feng, K.; Hubacek, K.; Li, X.; Sun, L. Impacts of urban expansion onterrestrial carbon storage in China. Environ. Sci. Technol. 2019, 53, 6834–6844. [Google Scholar] [CrossRef] [PubMed]
- Feng, Y.; Chen, S.; Tong, X.; Lei, Z.; Wang, J. Modeling changes in China’s2000-2030 carbon stock caused by land use change. J. Clean. Prod. 2020, 252, 119659. [Google Scholar] [CrossRef]
- Zhang, Y.; Dai, Y.Q.; Chen, Y.Y.; Ke, X.L. The Study on Spatial Correlation of Recessive Land Use Transformation and Land Use Carbon Emission. China Land Sci. 2022, 36, 100–112. [Google Scholar]
- Wang, R.; Zhang, H.; Qiang, W.L.; Li, F.; Peng, J.Y. Spatial characteristics and influencing factors of carbon emissions in county-level cities of China based on urbanization. Prog. Geogr. 2021, 40, 1999–2010. [Google Scholar] [CrossRef]
- Detwiler, R.P. Land use change and the global carbon cycle: The role of tropical soils. Biogeochemistry 1986, 2, 67–93. [Google Scholar] [CrossRef]
- Houghton, R.A. Tropical Deforestation and Atmospheric Carbon Dioxide. In Tropical Forests and Climate; Springer: Cham, Switzerland, 1991; pp. 99–118. [Google Scholar]
- Goetz, S.; Dubayah, R.; Duncanson, L. Revisiting the status of forest carbon stock changes in the context of the measurement and monitoring needs, capabilities and potential for addressing reduced emissions from deforestation and forest degradation. Environ. Res. Lett. 2022, 17, 111003. [Google Scholar] [CrossRef]
- Feng, J.; Wang, T. Analysis of influencing factors and evolution of land use carbon emission in China. Soft Sci. 2016, 30, 87–90. [Google Scholar]
- Wu, C.; Li, G.; Yue, W.; Lu, R.; Lu, Z.; You, H. Effects of endogenous factors on regional land-use carbon emissions based on the Grossman decomposition model: A case study of Zhejiang Province, China. Environ. Manag. 2015, 55, 467–478. [Google Scholar] [CrossRef]
- Zhao, R.; Huang, X.; Liu, Y.; Zhong, T.; Ding, M.; Chuai, X. Carbon emission of regional land use and its decomposition analysis: Case study of Nanjing City, China. Chin. Geogr. Sci. 2015, 25, 198–212. [Google Scholar] [CrossRef]
- Zhu, E.; Deng, J.; Zhou, M.; Gan, M.; Jiang, R.; Wang, K.; Shahtahmassebi, A. Carbon emissions induced by land-use and land-cover change from 1970 to 2010 in Zhejiang, China. Sci. Total Environ. 2019, 64, 930–939. [Google Scholar] [CrossRef] [PubMed]
- Shi, H.X.; Mu, X.M.; Zhang, Y.L. Effects of different land use patterns on carbon emission in Guangyuan city of Sich-uan Province. Bull. Soil Water Conserv. 2012, 32, 101–106. [Google Scholar]
- Lai, L. Study on the Carbon Emission Effect of Land Use in China. Master’s Thesis, Nanjing University, Nanjing, China, 2010. [Google Scholar]
- Zhao, R.Q.; Huang, X.J.; Zhong, T.Y. Carbon effect evaluation and low-carbon optimization of regional land use. Trans. Chin. Soc. Agric. Eng. 2013, 29, 220–229. [Google Scholar]
- Cai, Z.C.; Kang, G.D.; Tsuruta, H.; Mosier, A. Estimate of CH4 emissions from year-roundflooded rice fields during rice growing season in China. Pedosphere 2005, 15, 66–71. [Google Scholar]
- Wang, Y.X. Carbon Emission Effect of Land Use and Low Carbon Optimization in the Middle and Lower Reaches of the Yellow River. Master’s Thesis, Harbin Normal University, Harbin, China, 2022. [Google Scholar]
- Sun, H.; Liang, H.M.; Chang, X.L.; Cui, Q.-C.; Tao, Y.; Geography and Planning, Ludong University. Land use patterns on carbon emission and spatial association in China. Econ. Geogr. 2015, 35, 154–162. [Google Scholar]
- IPCC. IPCC Guidelines for National Greenhouse Gas Inventories, Intergovernmental Panel on Climate Change. 2006. Available online: http://www.ipcc-nggip.iges.or.jp/public/2006gl/chinese/index.html (accessed on 25 September 2020).
- Zhang, Y.J.; Qu, J.G.; Wang, Q.; Li, D. Global autocorrelation analysis of landscape pattern based on evenness theory, Moran’s I index and generalized G index. Bull. Surv. Mapp. 2018, 11, 36–39. [Google Scholar]
- Li, Z.L.; Chen, H.L.; Liu, D. Measurement of tourism ecological level based on the emergy value theory and spatial heterogeneity in Wuling Mountain Area. J. Nat. Resour. 2021, 36, 3203–3214. [Google Scholar] [CrossRef]
- Huang, B.; Wu, B.; Barry, M. Geographically and Temporally Weighted Regression for modeling spatio-temporal variation in house prices. Int. J. Geogr. Inf. Sci. 2010, 24, 383–401. [Google Scholar] [CrossRef]
- Sun, L.Y.; Luo, Y.F. Spatial Effects of Industrial Structure Rationalization on Carbon Emissions. J. Chongqing Soc. Sci. 2022, 55–68. [Google Scholar] [CrossRef]
- Li, H.; Lin, T. Do Land Use Structure Changes Impact Regional Carbon Emissions? A Spatial Econometric Study in Sichuan Basin, China. Int. J. Environ. Res. Public Health 2022, 19, 13329. [Google Scholar] [CrossRef]
- Ma, Y.; Liu, Z.Z. Study on the Spatial-Temporal Evolution and Influencing Factors of Land Use Carbon Emissions in the Yellow River Basin. Ecol. Econ. 2021, 37, 35–43. [Google Scholar]
- Liu, Y.K.; Jin, S.T. Temporal and Spatial Evolution Characteristics and Influencing Factors of Energy Consumption Carbon Emissions in Six Provinces of Central China. Econ. Geogr. 2019, 39, 182–191. [Google Scholar]
- Wang, C.J.; Zhang, H.G.; Wang, F.; Ye, Y.; Wu, K.; Xu, Q.; Du, Z. Features and Influencing Factors of Energy-related Carbon Emissions in Mega City: A Case Study of Guangzhou. Trop. Geogr. 2018, 38, 759–770. [Google Scholar]





| Energy Category | Standard Coal Conversion Coefficients | Carbon Emission Coefficients (t/t) |
|---|---|---|
| Coal | 0.7143 kg/kg | 0.7559 |
| Coke | 0.7914 kg/kg | 0.8550 |
| Crude oil | 1.4286 kg/kg | 0.5857 |
| Diesel oil | 1.4571 kg/kg | 0.5921 |
| Kerosene | 1.4714 kg/kg | 0.5714 |
| Gasoline | 1.4714 kg/kg | 0.5538 |
| Electricity | 0.4040 kg/kg | 0.7935 |
| Natural gas | 1.2143 kg/m3 | 0.4483 |
| Year | Cultivated Land | Woodland | Grassland | Water | Construction Land | Unused Land | Net Carbon Emissions | Growth Rate |
|---|---|---|---|---|---|---|---|---|
| 2000 | 2734.51 | −2092.59 | −254.81 | −147.25 | 35,193.31 | −37.50 | 35,395.67 | — |
| 2005 | 2708.57 | −2111.63 | −253.97 | −150.29 | 68,014.45 | −37.57 | 68,169.56 | 93.42% |
| 2010 | 2680.78 | −2118.27 | −255.38 | −156.16 | 114,601.18 | −37.15 | 114,715.65 | 68.80% |
| 2015 | 2672.00 | −2117.54 | −256.37 | −159.52 | 133,271.17 | −36.47 | 133,373.27 | 16.09% |
| 2020 | 2645.95 | −2111.24 | −257.15 | −168.68 | 141,764.52 | −36.03 | 141,837.37 | 6.05% |
| Year | 2000 | 2005 | 2010 | 2015 | 2020 |
|---|---|---|---|---|---|
| Moran’s I | 0.1196 | 0.1860 | 0.1633 | 0.1399 | 0.1113 |
| Z(I) | 3.8113 | 5.7415 | 5.0785 | 4.4022 | 3.5943 |
| Dependent Variable | Bandwidth | Res.2 | Sigma | AICc | R2 | Adjusted R2 | STDR | Trace of Matrix |
|---|---|---|---|---|---|---|---|---|
| CEnet | 0.11 | 8501.03 | 4.23 | 2887.05 | 0.86 | 0.85 | 0.27 | 70.18 |
Publisher’s Note: MDPI stays neutral with regard to jurisdictional claims in published maps and institutional affiliations. |
© 2022 by the authors. Licensee MDPI, Basel, Switzerland. This article is an open access article distributed under the terms and conditions of the Creative Commons Attribution (CC BY) license (https://creativecommons.org/licenses/by/4.0/).
Share and Cite
Tian, M.; Chen, Z.; Wang, W.; Chen, T.; Cui, H. Land-Use Carbon Emissions in the Yellow River Basin from 2000 to 2020: Spatio-Temporal Patterns and Driving Mechanisms. Int. J. Environ. Res. Public Health 2022, 19, 16507. https://doi.org/10.3390/ijerph192416507
Tian M, Chen Z, Wang W, Chen T, Cui H. Land-Use Carbon Emissions in the Yellow River Basin from 2000 to 2020: Spatio-Temporal Patterns and Driving Mechanisms. International Journal of Environmental Research and Public Health. 2022; 19(24):16507. https://doi.org/10.3390/ijerph192416507
Chicago/Turabian StyleTian, Mingjie, Zhun Chen, Wei Wang, Taizheng Chen, and Haiying Cui. 2022. "Land-Use Carbon Emissions in the Yellow River Basin from 2000 to 2020: Spatio-Temporal Patterns and Driving Mechanisms" International Journal of Environmental Research and Public Health 19, no. 24: 16507. https://doi.org/10.3390/ijerph192416507
APA StyleTian, M., Chen, Z., Wang, W., Chen, T., & Cui, H. (2022). Land-Use Carbon Emissions in the Yellow River Basin from 2000 to 2020: Spatio-Temporal Patterns and Driving Mechanisms. International Journal of Environmental Research and Public Health, 19(24), 16507. https://doi.org/10.3390/ijerph192416507

