Using Daily Stretching to Counteract Performance Decreases as a Result of Reduced Physical Activity—A Controlled Trial
Abstract
1. Introduction
2. Materials and Methods
2.1. Participants
2.2. Testing Procedure
2.3. ROM Measurement
2.4. Jumping Measurement
2.5. Intervention
2.6. Data Analysis
3. Results
3.1. Evaluation of Maximal Strength in the Plantar Flexors
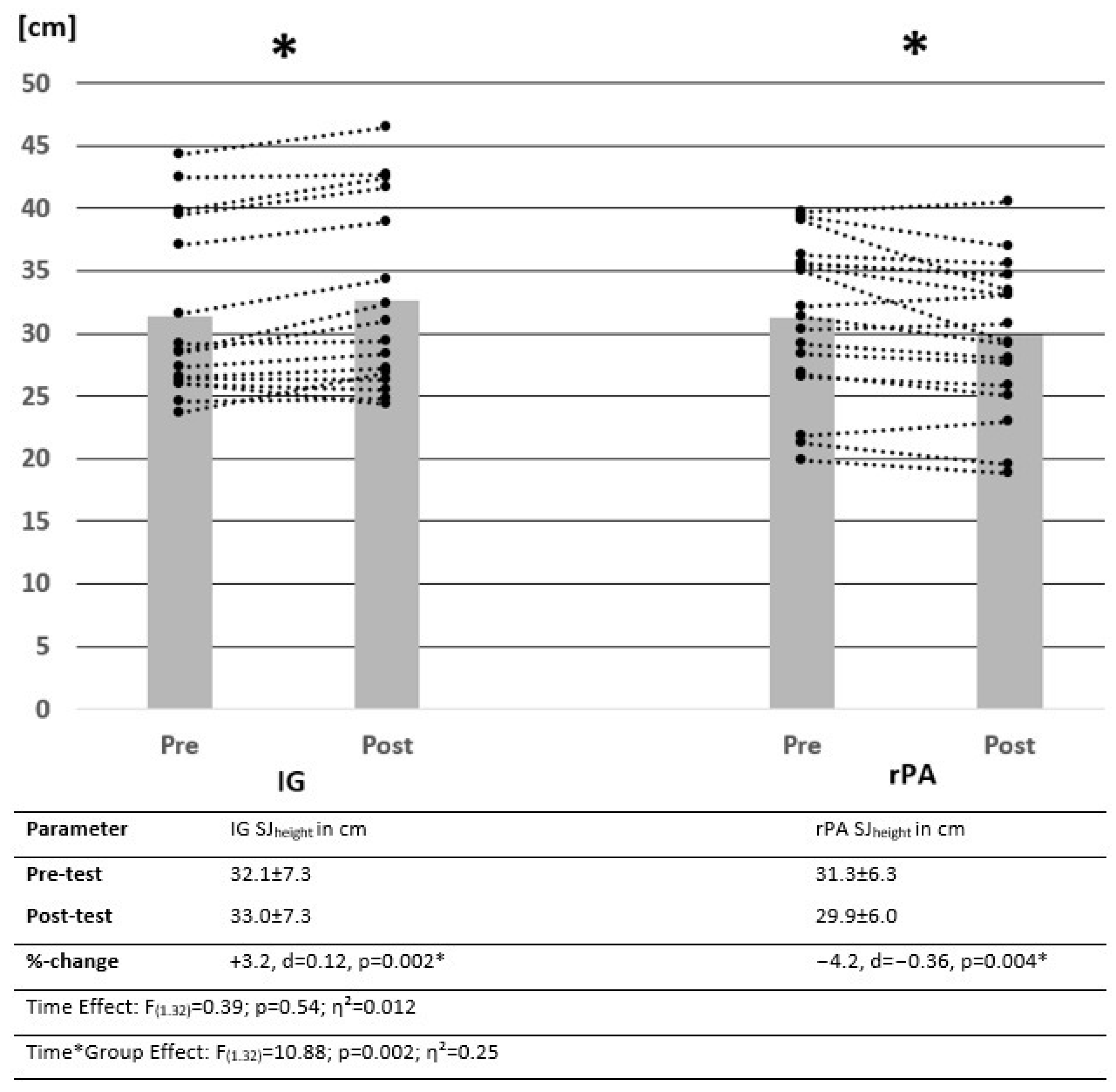
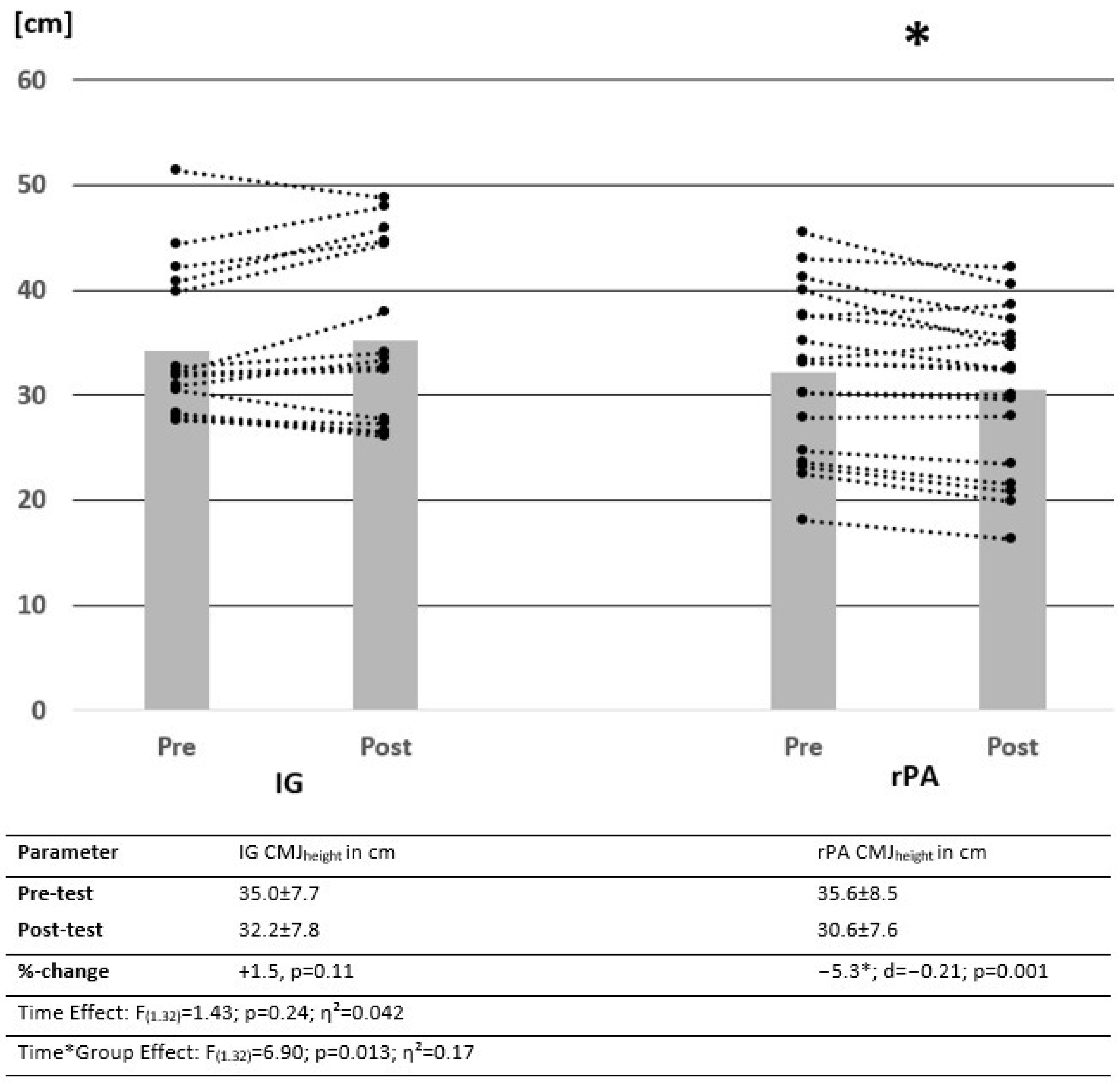
3.2. Evaluation of Jumping Height Using the Squat- and Counter Movement Jump
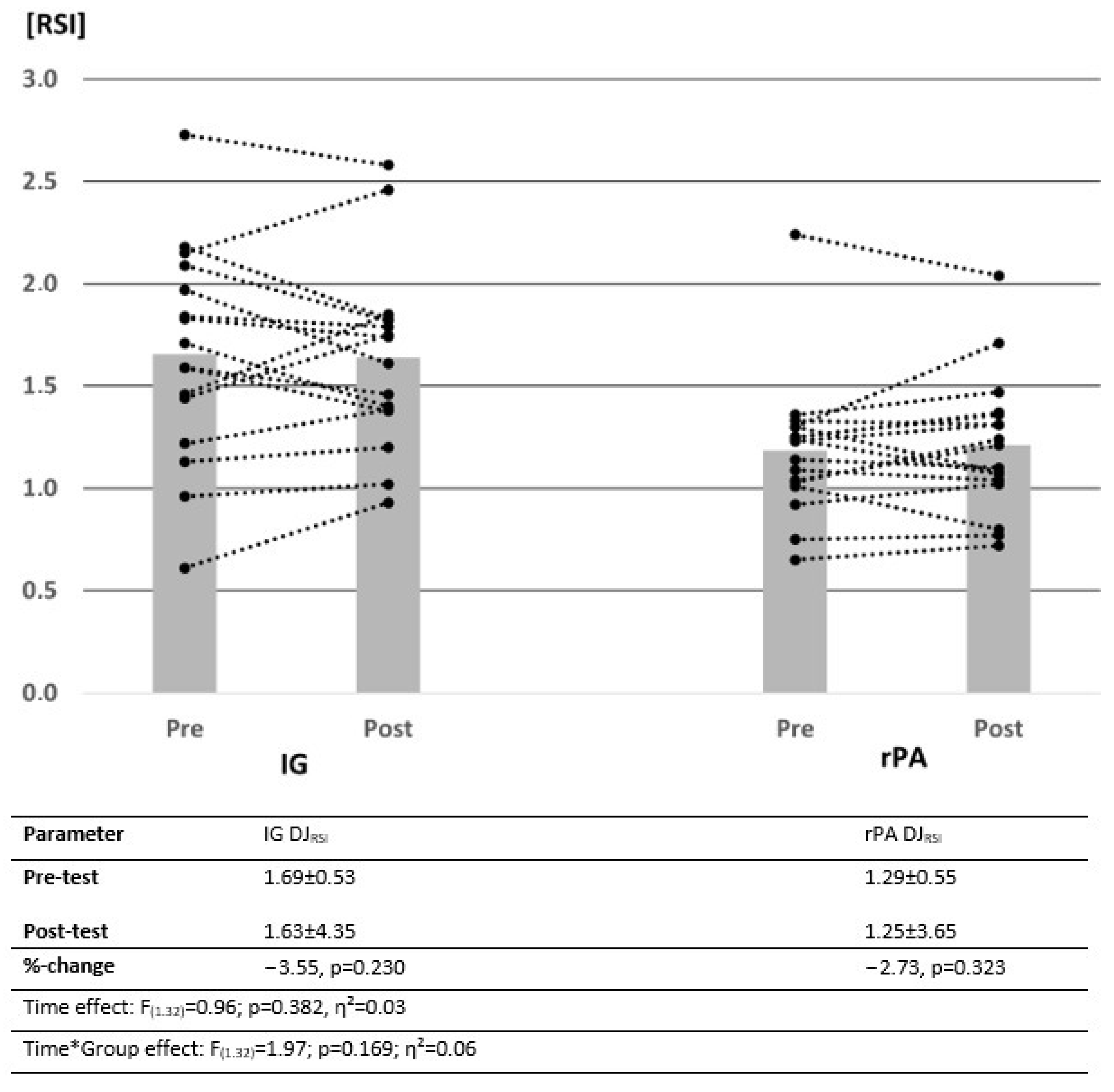
3.3. Evaluation of Jumping Performance Using the Drop Jump
3.4. Evaluation of Flexibility Using the Knee-to-Wall Test
4. Discussion
4.1. Limitations
4.2. Practical Applications
5. Conclusions
Author Contributions
Funding
Institutional Review Board Statement
Informed Consent Statement
Data Availability Statement
Acknowledgments
Conflicts of Interest
References
- Hoffman, S.A.; Warnick, J.L.; Garza, E.; Spring, B. Physical Activity: A Synopsis and Comment on “Community-Wide Interventions for Increasing Physical Activity”. Transl. Behav. Med. 2017, 7, 39–42. [Google Scholar] [CrossRef][Green Version]
- Wilson, S.J.; Christensen, B.; Gange, K.; Todden, C.; Hatterman-Valenti, H.; Albrecht, J.M. Chronic Stretching during 2 Weeks of Immobilization Decreases Loss of Girth, Peak Torque, and Dorsiflexion Range of Motion. J. Sport Rehabil. 2019, 28, 67–71. [Google Scholar] [CrossRef] [PubMed]
- Stevens, J.E.; Walter, G.A.; Okereke, E.; Scarborough, M.T.; Esterhai, J.L.; George, S.Z.; Kelley, M.J.; Tillman, S.M.; Gibbs, J.D.; Elliott, M.A.; et al. Muscle Adaptations with Immobilization and Rehabilitation after Ankle Fracture. Med. Sci. Sports Exerc. 2004, 36, 1695–1701. [Google Scholar] [CrossRef] [PubMed]
- Maestroni, L.; Read, P.; Bishop, C.; Turner, A. Strength and Power Training in Rehabilitation: Underpinning Principles and Practical Strategies to Return Athletes to High Performance. Sport. Med. 2020, 50, 239–252. [Google Scholar] [CrossRef] [PubMed]
- Biolo, G.; Ciocchi, B.; Stulle, M.; Piccoli, A.; Lorenzon, S.; Dal Mas, V.; Barazzoni, R.; Zanetti, M.; Guarnieri, G. Metabolic Consequences of Physical Inactivity. J. Ren. Nutr. 2005, 15, 49–53. [Google Scholar] [CrossRef] [PubMed]
- Davies, K.A.B.; Pickles, S.; Sprung, V.S.; Kemp, G.J.; Alam, U.; Moore, D.R.; Tahrani, A.A.; Cuthbertson, D.J. Reduced Physical Activity in Young and Older Adults: Metabolic and Musculoskeletal Implications. Ther. Adv. Endocinol. Metab. 2019, 19, 2042018819888824. [Google Scholar] [CrossRef]
- Steele, J.; Androulakis-Korakakis, P.; Carlson, L.; Williams, D.; Phillips, S.; Smith, D.; Schoenfeld, B.J.; Loenneke, J.P.; Winett, R.; Abe, T.; et al. The Impact of Coronavirus (COVID-19) Related Public-Health Measures on Training Behaviours of Individuals Previously Participating in Resistance Training: A Cross-Sectional Survey Study. Sport. Med. 2021, 51, 1561–1580. [Google Scholar] [CrossRef]
- Wilke, J.; Rahlf, A.L.; Füzéki, E.; Groneberg, D.A.; Hespanhol, L.; Mai, P.; de Oliveira, G.M.; Robbin, J.; Tan, B.; Willwacher, S.; et al. Physical Activity During Lockdowns Associated with the COVID-19 Pandemic: A Systematic Review and Multilevel Meta-Analysis of 173 Studies with 320,636 Participants. Sport. Med.-Open 2022, 8, 125. [Google Scholar] [CrossRef]
- Zaccagni, L.; Toselli, S.; Barbieri, D. Physical Activity during COVID-19 Lockdown in Italy: A Systematic Review. Int. J. Environ. Res. Public Health 2021, 18, 6416. [Google Scholar] [CrossRef] [PubMed]
- Tayech, A.; Mejri, M.A.; Makhlouf, I.; Mathlouthi, A.; Behm, D.G.; Chaouachi, A. Second Wave of COVID-19 Global Pandemic and Athletes’ Confinement: Recommendations to Better Manage and Optimize the Modified Lifestyle. Int. J. Environ. Res. Public Health 2020, 17, 8385. [Google Scholar] [CrossRef]
- Schwendinger, F.; Pocecco, E. Counteracting Physical Inactivity during the COVID-19 Pandemic: Evidence-Based Recommendations for Home-Based Exercise. Int. J. Environ. Res. Public Health 2020, 17, 3909. [Google Scholar] [CrossRef]
- Hotta, K.; Behnke, B.J.; Arjmandi, B.; Ghosh, P.; Chen, B.; Brooks, R.; Maraj, J.J.; Elam, M.L.; Maher, P.; Kurien, D.; et al. Daily Muscle Stretching Enhances Blood Flow, Endothelial Function, Capillarity, Vascular Volume and Connectivity in Aged Skeletal Muscle. J. Physiol. 2018, 596, 1903–1917. [Google Scholar] [CrossRef]
- Morie, M.; Reid, K.F.; Miciek, R.; Lajevardi, N.; Choong, K.; Krasnoff, J.B.; Storer, T.W.; Fielding, R.A.; Bhasin, S.; Lebrasseur, N.K. Habitual Physical Activity Levels Are Associated with Performance in Measures of Physical Function and Mobility in Older Men. J. Am. Geriatr. Soc. 2010, 58, 1727–1733. [Google Scholar] [CrossRef]
- Schoenfeld, B.J.; Peterson, M.D.; Ogborn, D.; Contreras, B.; Sonmez, G.T. Effects of Low- vs. High-Load Resistance Training on Muscle Strength and Hypertrophy in Well-Trained Men. J. Strength Cond. Res. 2015, 29, 2954–2963. [Google Scholar] [CrossRef]
- Peterson, M.D.; Rhea, M.R.; Alvar, B.A. Applications of the Dose Response for Muscular Strength Development: A Review of Meta-Analytic Efficacy and Reliability for Training Prescription. J. Strength Cond. Res. 2005, 19, 950–958. [Google Scholar] [CrossRef] [PubMed]
- Wirth, K.; Keiner, M.; Hartmann, H.; Sander, A.; Mickel, C. Effect of 8 Weeks of Free-Weight and Machine-Based Strength Training on Strength and Power Performance. J. Hum. Kinet. 2016, 53, 201–210. [Google Scholar] [CrossRef]
- Schoenfeld, B. Mechanisms of Hypertrophy 2. Sci. Dev. Muscle Hypertrophy 2020, 24, 2857–2872. [Google Scholar] [CrossRef]
- Wirth, K.; Atzor, K.R.; Schmidtbleicher, D. Veränderungen Der Muskelmasse in Abhängigkeit von Trainingshäufigkeit und Leistungsniveau. Dtsch. Z. Sportmed. 2007, 58, 178–183. [Google Scholar]
- Suchomel, T.J.; Nimphius, S.; Stone, M.H. The Importance of Muscular Strength in Athletic Performance. Sport. Med. 2016, 46, 1419–1449. [Google Scholar] [CrossRef]
- Styles, W.J.; Matthews, M.J.; Comfort, P. Effects of Strength Training on Squat and Sprint Performance in Soccer Players. J. Strength Cond. Res. 2016, 30, 1534–1539. [Google Scholar] [CrossRef]
- Keiner, M.; Kadlubowski, B.; Sander, A.; Hartmann, H.; Wirth, K. Effects of 10 Months of Speed, Functional, and Traditional Strength Training on Strength, Linear Sprint, Change of Direction and Jump Performance in Trained Adolescent Soccer Player. J. Strength Cond. Res. 2022, 36, 2236–2246. [Google Scholar] [CrossRef] [PubMed]
- Sander, A.; Keiner, M.; Wirth, K.; Schmidtbleicher, D. Influence of a 2-Year Strength Training Programme on Power Performance in Elite Youth Soccer Players. Eur. J. Sport Sci. 2013, 13, 445–451. [Google Scholar] [CrossRef] [PubMed]
- Yahata, K.; Konrad, A.; Sato, S.; Kiyono, R.; Yoshida, R.; Fukaya, T.; Nunes, J.P.; Nakamura, M. Effects of a High-Volume Static Stretching Programme on Plantar-Flexor Muscle Strength and Architecture. Eur. J. Appl. Physiol. 2021, 121, 1159–1166. [Google Scholar] [CrossRef]
- Mizuno, T. Combined Effects of Static Stretching and Electrical Stimulation on Joint Range of Motion and Muscle Strength. J. Strength Cond. Res. 2019, 33, 2694–2703. [Google Scholar] [CrossRef] [PubMed]
- Nelson, A.G.; Kokkonen, J.; Winchester, J.B.; Kalani, W.; Peterson, K.; Kenly, M.S.; Arnall, D.A. A 10-Week Stretching Program Increases Strength in the Contralateral Muscle. J. Cond. Res. 2012, 26, 832–836. [Google Scholar] [CrossRef] [PubMed]
- Chen, C.H.; Nosaka, K.; Chen, H.L.; Lin, M.J.; Tseng, K.W.; Chen, T.C. Effects of Flexibility Training on Eccentric Exercise-Induced Muscle Damage. Med. Sci. Sport. Exerc. 2011, 43, 491–500. [Google Scholar] [CrossRef] [PubMed]
- Warneke, K.; Keiner, M.; Hillebrecht, M.; Schiemann, S. Influence of One Hour versus Two Hours of Daily Static Stretching for Six Weeks Using a Calf-Muscle-Stretching Orthosis on Maximal Strength. Int. J. Environ. Res. Public Health 2022, 19, 11621. [Google Scholar] [CrossRef] [PubMed]
- Warneke, K.; Brinkmann, A.; Hillebrecht, M.; Schiemann, S. Influence of Long-Lasting Static Stretching on Maximal Strength, Muscle Thickness and Flexibility. Front. Physiol. 2022, 13, 878955. [Google Scholar] [CrossRef]
- Caldwell, S.L.; Bilodeau, R.L.S.; Cox, M.J.; Behm, D.G. Cross Education Training Effects Are Evident with Twice Daily, Self-Administered Band Stretch Training. J. Sport. Sci. Med. 2019, 18, 544–551. [Google Scholar]
- Shrier, I. Does Stretching Improve Performance? A Systematic and Critical Review of the Literature. Clin. J. Sport Med. 2004, 14, 267–273. [Google Scholar] [CrossRef] [PubMed]
- Medeiros, D.M.; Lima, C.S. Influence of Chronic Stretching on Muscle Performance: Systematic Review. Hum. Mov. Sci. 2017, 54, 220–229. [Google Scholar] [CrossRef] [PubMed]
- Panidi, I.; Bogdanis, G.C.; Terzis, G.; Donti, A.; Konrad, A.; Gaspari, V.; Donti, O. Muscle Architectural and Functional Adaptations Following 12-Weeks of Stretching in Adolescent Female Athletes. Front. Physiol. 2021, 12, 701338. [Google Scholar] [CrossRef] [PubMed]
- Kokkonen, J.; Nelson, A.G.; Eldredge, C.; Winchester, J.B. Chronic Static Stretching Improves Exercise Performance. Med. Sci. Sport. Exerc. 2007, 39, 1825–1831. [Google Scholar] [CrossRef]
- Bazett-Jones, D.M.; Gibson, M.H.; McBride, J.M. Sprint and Vertical Jump Performance Are Not Affected by Six Weeks of Static Hamstring Stretching. J. Strength Cond. Res. 2008, 22, 25–31. [Google Scholar] [CrossRef] [PubMed]
- Nakamura, M.; Yoshida, R.; Sato, S.; Yahata, K.; Murakami, Y.; Kasahara, K.; Fukaya, T.; Takeuchi, K.; Nunes, J.P.; Konrad, A. Comparison Between High- and Low-Intensity Static Stretching Training Program on Active and Passive Properties of Plantar Flexors. Front. Physiol. 2021, 12, 796497. [Google Scholar] [CrossRef] [PubMed]
- Keiner, M.; Sander, A.; Hartmann, H.; Mickel, C.; Wirth, K. Do Long-Term Strength Training and Age Affect the Performance of Drop Jumps in Adolescents? Separating the Effects of Training and Age. J. Aust. Strength Cond. 2018, 26, 26–40. [Google Scholar]
- Cè, E.; Sbriccoli, P.; Venturelli, M.; Konrad, A.; Nakamura, M.; Yahata, K.; Sato, S.; Kiyono, R.; Yoshida, R.; Fukaya, T.; et al. Training and Detraining Effects Following a Static Stretching Program on Medial Gastrocnemius Passive Properties. Front. Physiol. 2021, 12, 656579. [Google Scholar] [CrossRef]
- Nakamura, M.; Sato, S.; Murakami, Y.; Kiyono, R.; Yahata, K.; Sanuki, F.; Yoshida, R.; Fukaya, T.; Takeuchi, K. The Comparison of Different Stretching Intensities on the Range of Motion and Muscle Stiffness of the Quadriceps Muscles. Front. Physiol. 2021, 11, 628870. [Google Scholar] [CrossRef] [PubMed]
- Cohen, J. Statistical Power Analysis for Behavioral Sciences, 2nd ed.; Lawrence Erlbaum Associates: Mahwah, NJ, USA, 1988. [Google Scholar]
- Ferreira, J.A.; Zwinderman, A.H. On the Benjamini-Hochberg Method. Ann. Stat. 2006, 34, 1827–1849. [Google Scholar] [CrossRef]
- Thomas, E.; Bianco, A.; Paoli, A.; Palma, A. The Relation Between Stretching Typology and Stretching Duration: The Effects on Range of Motion. Int. J. Sport. Med. 2018, 39, 243–254. [Google Scholar] [CrossRef]
- Medeiros, D.M.; Cini, A.; Sbruzzi, G.; Lima, C.S. Influence of Static Stretching on Hamstring Flexibility in Healthy Young Adults: Systematic Review and Meta Analysis. Physiother. Theory Pract. 2016, 32, 438–445. [Google Scholar] [CrossRef] [PubMed]
- Medeiros, D.M.; Martini, T.F. Chronic Effect of Different Types of Stretching on Ankle Dorsiflexion Range of Motion: Systematic Review and Meta-Analysis. Foot 2018, 34, 28–35. [Google Scholar] [CrossRef] [PubMed]
- Seitz, L.B.; Reyes, A.; Tran, T.T.; de Villarreal, E.S.; Haff, G.G. Increases in Lower-Body Strength Transfer Positively to Sprint Performance: A Systematic Review with Meta-Analysis. Sport. Med. 2014, 44, 1693–1702. [Google Scholar] [CrossRef]
- Alway, S.E. Contractile Properties of Aged Avian Muscle after Stretch-Overload. Mech. Ageing Dev. 1994, 73, 97–112. [Google Scholar] [CrossRef]
- Alway, S.E. Force and Contractile Characteristics after Stretch Overload in Quail Anterior Latissimus Dorsi Muscle. J. Appl. Physiol. 1994, 77, 135–141. [Google Scholar] [CrossRef] [PubMed]
- Delbressine, J.M.; Machado, F.V.C.; Goërtz, Y.M.J.; Van Herck, M.; Meys, R.; Houben-Wilke, S.; Burtin, C.; Franssen, F.M.E.; Spies, Y.; Vijlbrief, H.; et al. The Impact of Post-COVID-19 Syndrome on Self-Reported Physical Activity. Int. J. Environ. Res. Public Health 2021, 18, 6017. [Google Scholar] [CrossRef] [PubMed]
- Takeuchi, K.; Akizuki, K.; Nakamura, M. Time Course of Changes in the Range of Motion and Muscle-Tendon Unit Stiffness of the Hamstrings after Two Different Intensities of Static Stretching. PLoS ONE 2021, 16, e0257367. [Google Scholar] [CrossRef]
- Abdelsattar, M.; Konrad, A.; Tilp, M. Relationship between Achilles Tendon Stiffness and Ground Contact Time during Drop Jumps. J. Sport. Sci. Med. 2018, 17, 223–228. [Google Scholar] [PubMed]
- Pruyn, E.C.; Watsford, M.; Murphy, A. The Relationship between Lower-Body Stiffness and Dynamic Performance. Appl. Physiol. Nutr. Metab. 2014, 39, 1144–1150. [Google Scholar] [CrossRef] [PubMed]
- Pua, Y.H.; Mentiplay, B.F.; Clark, R.A.; Ho, J.Y. Associations among Quadriceps Strength and Rate of Torque Development 6 Weeks Post Anterior Cruciate Ligament Reconstruction and Future Hop and Vertical Jump Performance: A Prospective Cohort Study. J. Orthop. Sport. Phys. Ther. 2017, 47, 845–852. [Google Scholar] [CrossRef]
- Wisløff, U.; Castagna, C.; Helgerud, J.; Jones, R.; Hoff, J. Strong Correlation of Maximal Squat Strength with Sprint Performance and Vertical Jump Height in Elite Soccer Players. Br. J. Sport. Med. 2004, 38, 285–288. [Google Scholar] [CrossRef] [PubMed]
- Warneke, K.; Keiner, M.; Lohmann, L.H.; Hillebrecht, M.; Wirth, K.; Schiemann, S. The Influence of Maximum Strength Performance in Seated Calf Raises on Counter Movement Jump and Squat Jump in Elite Junior Basketball Players. Sport Mont 2022, 20, 63–68. [Google Scholar] [CrossRef]






| Group | Number (n) | Age (in Years) | Height (in cm) | Weight (in kg) |
|---|---|---|---|---|
| total | 35 (f = 13, m = 22) | 25.4 ± 2.9 | 178.7 ± 9.3 | 74.7 ± 14.0 |
| IG | 17 (f = 6, m = 11) | 25.8 ± 3.5 | 177.8 ± 8.4 | 76.7 ± 14.2 |
| rPA | 18(f = 7, m = 11) | 24.9 ± 2.1 | 179.4 ± 10.2 | 72.8 ± 13.9 |
| Parameter | ICC (95% CI) | CV (95% CI) |
|---|---|---|
| MVC90 | 0.996 (0.991–0.998) | 1.01% (0.87–1.31) |
| KtW | 0.990 (0.985–0.993) | 1.13% (1.03–1.31) |
| SJheight | 0.899 (0.856–0.922) | 2.27% (1.94–2.42) |
| CMJheight | 0.90 (0.88–0.923) | 1.98% (1.23–2.11) |
| DJheight | 0.86 (0.81–0.892) | 2.54% (2.29–2.86) |
| DJct | 0.85 (0.84–0.89) | 2.47% (2.18–2.72) |
| Group | Pre-Test | Post-Test | % Increase | Time Effect | Time × Group Effect |
|---|---|---|---|---|---|
| IG DJheight in cm | 29.5 ± 6.1 | 30.9 ± 6.1 | +5.9, p = 0.059 | p = 0.328 F(1.32) = 0.96 ƞ2 = 0.03 | p = 0.169 F(1.32) = 1.97 ƞ2 = 0.06 |
| rPA DJheight in cm | 29.6 ± 8.0 | 29.4 ± 6.5 | +0.7, p = 0.383 | ||
| IG DJct in cm/s | 0.18 ± 0.41 | 0.19 ± 0.03 | +5.1, p = 0.081 | p = 0.328 F(1.32) = 0.96 ƞ2 = 0.03 | p = 0.169 F(1.32) = 1.97 ƞ2 = 0.06 |
| rPA DJct in cm/s | 0.24 ± 0.67 | 0.24 ± 0.06 | +0.08, p = 0.49 |
| Group | Pre-Test (in cm) | Post-Test (in cm) | % Increase | Time Effect | Time × Group Effect |
|---|---|---|---|---|---|
| IG KtWR | 11.2 ± 3.2 | 12.7 ± 3.6 | +14.1, d = 0.44, p < 0.001 * | p < 0.001 F(1.32) = 17.101 ƞ2 = 0.34 | p < 0.001 F(1.32) = 45.668 ƞ2 = 0.58 |
| rPA KtWR | 10.6 ± 2.7 | 10.3 ± 3.0 | −3.8, d = −0.11, p = 0.046 * | ||
| IG KtWL | 11.5 ± 3.6 | 12.7 ± 3.7 | +12.04, d = 0.33, p < 0.001 * | p < 0.001 F(1.32) = 22.53 ƞ2 = 0.41 | p < 0.001 F(1.32) = 26.44 ƞ2 = 0.45 |
| rPA KtWL | 10.8 ± 2.6 | 10.8 ± 2.8 | −0.6, p = 0.38 |
Publisher’s Note: MDPI stays neutral with regard to jurisdictional claims in published maps and institutional affiliations. |
© 2022 by the authors. Licensee MDPI, Basel, Switzerland. This article is an open access article distributed under the terms and conditions of the Creative Commons Attribution (CC BY) license (https://creativecommons.org/licenses/by/4.0/).
Share and Cite
Warneke, K.; Konrad, A.; Keiner, M.; Zech, A.; Nakamura, M.; Hillebrecht, M.; Behm, D.G. Using Daily Stretching to Counteract Performance Decreases as a Result of Reduced Physical Activity—A Controlled Trial. Int. J. Environ. Res. Public Health 2022, 19, 15571. https://doi.org/10.3390/ijerph192315571
Warneke K, Konrad A, Keiner M, Zech A, Nakamura M, Hillebrecht M, Behm DG. Using Daily Stretching to Counteract Performance Decreases as a Result of Reduced Physical Activity—A Controlled Trial. International Journal of Environmental Research and Public Health. 2022; 19(23):15571. https://doi.org/10.3390/ijerph192315571
Chicago/Turabian StyleWarneke, Konstantin, Andreas Konrad, Michael Keiner, Astrid Zech, Masatoshi Nakamura, Martin Hillebrecht, and David G. Behm. 2022. "Using Daily Stretching to Counteract Performance Decreases as a Result of Reduced Physical Activity—A Controlled Trial" International Journal of Environmental Research and Public Health 19, no. 23: 15571. https://doi.org/10.3390/ijerph192315571
APA StyleWarneke, K., Konrad, A., Keiner, M., Zech, A., Nakamura, M., Hillebrecht, M., & Behm, D. G. (2022). Using Daily Stretching to Counteract Performance Decreases as a Result of Reduced Physical Activity—A Controlled Trial. International Journal of Environmental Research and Public Health, 19(23), 15571. https://doi.org/10.3390/ijerph192315571

