The Effect of Land-Use Categories on Traffic Noise Annoyance
Abstract
1. Introduction
2. Materials and Methods
2.1. Data Acquisition
2.2. Statistical Analyses
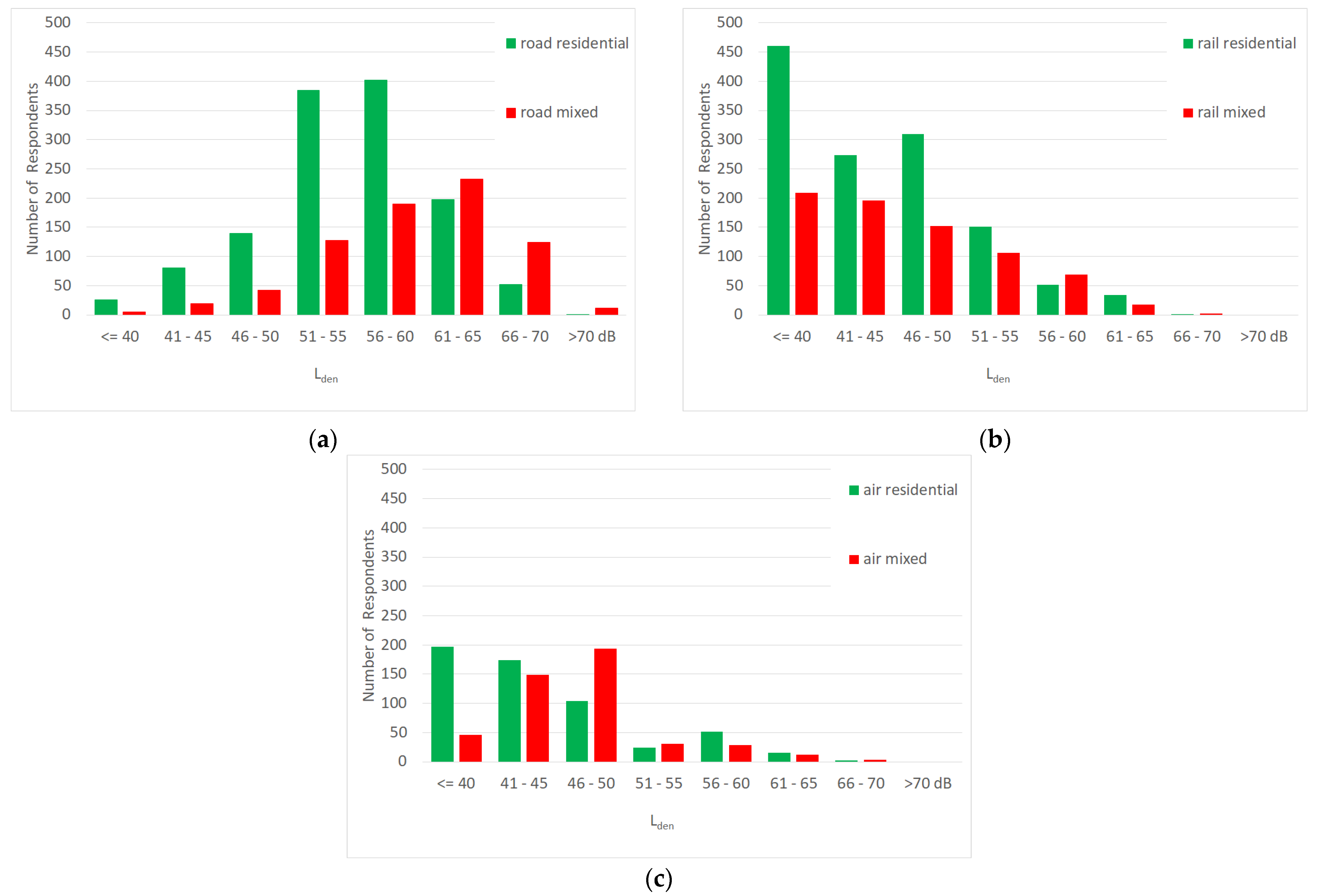
3. Results
4. Discussion
5. Conclusions
Author Contributions
Funding
Informed Consent Statement
Data Availability Statement
Acknowledgments
Conflicts of Interest
References
- ICBEN (International Commission on Biological Effects of Noise) ICBEN Webpage. Available online: http://www.icben.org/About.html (accessed on 12 September 2022).
- World Health Organization. Environmental Noise Guidelines for the European Region; WHO Regional Office for Europe: Copenhagen, Denmark, 2018. [Google Scholar]
- Basner, M.; McGuire, S. WHO environmental noise guidelines for the european region: A systematic review on environmental noise and effects on sleep. Int. J. Environ. Res. Public Health 2018, 15, 519. [Google Scholar] [CrossRef] [PubMed]
- van Kempen, E.; Casas, M.; Pershagen, G.; Foraster, M. WHO environmental noise guidelines for the European region: A systematic review on environmental noise and cardiovascular and metabolic effects: A summary. Int. J. Environ. Res. Public Health 2018, 15, 379. [Google Scholar] [CrossRef] [PubMed]
- Guski, R.; Schreckenberg, D.; Schuemer, R. WHO Environmental Noise Guidelines for the European Region: A Systematic Review on Environmental Noise and Annoyance. Int. J. Environ. Res. Public Health 2017, 14, 1539. [Google Scholar] [CrossRef] [PubMed]
- Clark, C.; Paunovic, K. WHO environmental noise guidelines for the european region: A systematic review on environmental noise and cognition. Int. J. Environ. Res. Public Health 2018, 15, 285. [Google Scholar] [CrossRef]
- EEA (European Environmental Agency). Good Practice Guide on Noise Exposure and Potential Health Effects; EEA: Copenhagen, Denmark, 2010; Volume 11.
- Fields, J.M. Effect of personal and situational variables on noise annoyance in residential areas. J. Acoust. Soc. Am. 1993, 93, 2753–2763. [Google Scholar] [CrossRef]
- van Kamp, I.; Job, R.F.S.; Hatfield, J.; Haines, M.; Stellato, R.K.; Stansfeld, S.A. The role of noise sensitivity in the noise–response relation: A comparison of three international airport studies. J. Acoust. Soc. Am. 2004, 116, 3471–3479. [Google Scholar] [CrossRef]
- Schreckenberg, D.; Griefahn, B.; Meis, M. The associations between noise sensitivity, reported physical and mental health, perceived environmental quality, and noise annoyance. Noise Health 2010, 12, 7–16. [Google Scholar] [CrossRef]
- Lechner, C.; Schnaiter, D.; Bose-O´Reilly, S. Combined Effects of Aircraft, Rail, and Road Traffic Noise on Total Noise Annoyance—A Cross-Sectional Study in Innsbruck. Int. J. Environ. Res. Public Health 2019, 16, 3504. [Google Scholar] [CrossRef]
- Lechner, C.; Kirisits, C.; Bose O´Reilly, S. Combined annoyance response from railroad and road traffic noise in an Alpine valley. Noise Health 2020, 22, 10–18. [Google Scholar]
- Barnes, J.; De Vito, L.; Hayes, E.; Guàrdia, N.B.; Esteve, J.F.; Van Kamp, I. Qualitative assessment of links between exposure to noise and air pollution and socioeconomic status. WIT Trans. Ecol. Environ. 2018, 230, 15–25. [Google Scholar]
- Kroesen, M.; Molin, E.J.E.; van Wee, B. Testing a theory of aircraft noise annoyance: A structural equation analysis. J. Acoust. Soc. Am. 2008, 123, 4250–4260. [Google Scholar] [CrossRef] [PubMed]
- Riedel, N.; van Kamp, I.; Dreger, S.; Bolte, G.; Andringa, T.; Payne, S.R.; Schreckenberg, D.; Fenech, B.; Lavia, L.; Notley, H.; et al. Considering ‘non-acoustic factors’ as social and environmental determinants of health equity and environmental justice. Reflections on research and fields of action towards a vision for environmental noise policies. Transp. Res. Interdiscip. Perspect. 2021, 11, 100445. [Google Scholar] [CrossRef]
- King, G.; Roland-Mieszkowski, M.; Jason, T.; Rainham, D.G. Noise levels associated with urban land use. J. Urban Health 2012, 89, 1017–1030. [Google Scholar] [CrossRef] [PubMed]
- Röösli, M. Die SiRENE Studie. Available online: http://www.sirene-studie.ch/ (accessed on 13 January 2020).
- Schäffer, B.; Brink, M.; Schlatter, F.; Vienneau, D.; Wunderli, J.M. Residential green is associated with reduced annoyance to road traffic and railway noise but increased annoyance to aircraft noise exposure. Environ. Int. 2020, 143, 105885. [Google Scholar] [CrossRef]
- INCE (The International Institute of Noise Control Engineering). Survey of Legislation, Regulations, and Guidelines for Control of Community Noise; I-INCE Publication: Washington, DC, USA, 2009; Volume 9, 50p. [Google Scholar]
- Huang, Y.-K.; Mitchell, U.A.; Conroy, L.M.; Jones, R.M. Community daytime noise pollution and socioeconomic differences in Chicago, IL. PLoS ONE 2021, 16, e0254762. [Google Scholar] [CrossRef] [PubMed]
- Liu, Y.; Goudreau, S.; Oiamo, T.; Rainham, D.; Hatzopoulou, M.; Chen, H.; Davies, H.; Tremblay, M.; Johnson, J.; Bockstael, A.; et al. Comparison of land use regression and random forests models on estimating noise levels in five Canadian cities. Environ. Pollut. 2020, 256, 113367. [Google Scholar] [CrossRef] [PubMed]
- Ragettli, M.S.; Goudreau, S.; Plante, C.; Fournier, M.; Hatzopoulou, M.; Perron, S.; Smargiassi, A. Statistical modeling of the spatial variability of environmental noise levels in Montreal, Canada, using noise measurements and land use characteristics. J. Expo. Sci. Environ. Epidemiol. 2016, 26, 597–605. [Google Scholar] [CrossRef]
- Wang, V.-S.; Lo, E.-W.; Liang, C.-H.; Chao, K.-P.; Bao, B.-Y.; Chang, T.-Y. Temporal and spatial variations in road traffic noise for different frequency components in metropolitan Taichung, Taiwan. Environ. Pollut. 2016, 219, 174–181. [Google Scholar] [CrossRef]
- Chang, T.Y.; Liang, C.H.; Wu, C.F.; Chang, L. Te Application of land-use regression models to estimate sound pressure levels and frequency components of road traffic noise in Taichung, Taiwan. Environ. Int. 2019, 131, 104959. [Google Scholar] [CrossRef]
- ÖAL (Austrian Noise Abatement Association). Beurteilung von Schallimmissionen im Nachbarschaftsbereich—ÖAL Richtlinie Nr. 3 Blatt 1 (Assessment of Noise Impact in the Neighborhood); Österreichischer Arbeitsring für Lärmbekämpfung: Vienna, Austria, 2008. [Google Scholar]
- ÖAL (Austrian Noise Abatement Association). Die Wirkungen des Lärms auf den Menschen—Beurteilungshilfen für den Arzt, ÖAL-Richtlinie Nr. 6/18 (The Effects of Noise on Humans—Assessment Guidelines for Medical Experts); Österreichischer Arbeitsring für Lärmbekämpfung: Vienna, Austria, 2011; Volume 43. [Google Scholar]
- ÖNORM S 5021; Schalltechnische Grundlagen für die Örtliche und Überörtliche Raumplanung und -Ordnung (Basic Acoustical Principles for Town, Regional and Physical Planning Principes). Österreichisches Normeninstitut: Wien, Austria, 2010.
- EKLB (Federal Commission for Noise Abatement). Grenzwerte für Strassen-, Eisenbahn- und Fluglärm; Federal Commission for Noise Abatement: Bern, Switzerland, 2021. [Google Scholar]
- Lechner, C.; Schnaiter, D. Gesamtlärmbetrachtung [Total Noise Investigation] Innsbruck 2017; Amt der Tiroler Landesregierung: Innsbruck, Austria, 2018.
- Schnaiter, D. Evaluierungserhebung Neue Unterinntalbahn [Evaluation Survey New Lower Inn Valley Railway], ÖBB Infrastruktur AG, Executive Summary. Available online: https://www.brennernordzulauf.eu/infomaterial.html?file=files/mediathek/informationsmaterial/vertiefende_infos/Neue-Unterinntalbahn-Evaluierung.pdf (accessed on 12 September 2022).
- EU. Commission Directive (EU) 2015/996; Official Journal of the European Union L 168/1; European Comission: Brussles, Belgium, 2015.
- FSV (The Austrian Research Association for Roads, Railways and Transport). Lärm und Luftschadstoffe—Lärmschutz [Environmental Protection Noise and Airpollution Noise Control] RVS 04.02.11; Österreichischen Forschungsgesellschaft Straße—Schiene—Verkehr: Wien, Austria, 2008. [Google Scholar]
- ONR 305011; Berechnung der Schallimmission durch Schienenverkehr—Zugverkehr, Verschub- und Umschlagbetrieb [Determination of Noise Immission Caused by Rail Traffic—Railway Traffic, Shunting and Cargo Handling Operations]. Österreichisches Normeninstitut: Wien, Austria, 2009.
- Bursac, Z.; Gauss, C.H.; Williams, D.K.; Hosmer, D.W. Purposeful selection of variables in logistic regression. Source Code Biol. Med. 2008, 3, 17. [Google Scholar] [CrossRef]
- White, K.R. The relation between socioeconomic status and academic achievement. Psychol. Bull. 1982, 91, 461–481. [Google Scholar] [CrossRef]
- Kirisits, C.; Lechner, C.; Kirisits, H. Impact of Uncertainties Related to Noise Indicator Determination on Observed Exposure–Effect Relationship. Noise Health 2018, 20, 212–216. [Google Scholar] [CrossRef] [PubMed]
- Horonjeff, R.D. Mathematical characterization of dose uncertainty effects on functions summarizing findings of community noise attitudinal surveys. J. Acoust. Soc. Am. 2022, 151, 2739–2750. [Google Scholar] [CrossRef] [PubMed]



| Residential | Mixed | Total | |||||
|---|---|---|---|---|---|---|---|
| Count | Frequency | Count | Frequency | Count | Frequency | ||
| Setting | Urban | 568 | 44% | 463 | 62% | 1031 | 51% |
| Rural | 714 | 56% | 289 | 38% | 1003 | 49% | |
| %HA (1) all sources | Urban | 50 | 4% | 75 | 10% | 125 | 6% |
| Rural | 81 | 6% | 46 | 6% | 127 | 6% | |
| %HA road | Urban | 32 | 2% | 85 | 11% | 117 | 6% |
| Rural | 91 | 7% | 52 | 7% | 143 | 7% | |
| %HA rail | Urban | 14 | 1% | 16 | 2% | 30 | 1% |
| Rural | 46 | 4% | 26 | 3% | 72 | 4% | |
| %HA air | Urban | 62 | 5% | 59 | 8% | 121 | 6% |
| Rural | 22 | 2% | 9 | 1% | 22 | 2% | |
| %HA commerce and ind. | Urban | 4 | 0% | 11 | 1% | 15 | 1% |
| Rural | 21 | 2% | 12 | 2% | 33 | 2% | |
| %HA neighbors | Urban | 22 | 2% | 30 | 4% | 52 | 3% |
| Rural | 18 | 1% | 8 | 1% | 26 | 1% | |
| Gender | Female | 670 | 52% | 375 | 50% | 1045 | 51% |
| Male | 612 | 48% | 377 | 50% | 989 | 49% | |
| Age group | 18 to 40 years | 433 | 34% | 312 | 41% | 745 | 37% |
| 41 to 60 years | 517 | 40% | 240 | 32% | 757 | 37% | |
| over 60 years | 332 | 26% | 200 | 27% | 532 | 26% | |
| Sensitivity | Not highly sensitive | 1091 | 85% | 636 | 85% | 1727 | 85% |
| Highly sensitive | 191 | 15% | 116 | 15% | 307 | 15% | |
| Health status (2) | Not good | 324 | 25% | 185 | 25% | 509 | 25% |
| Good | 958 | 75% | 567 | 75% | 1525 | 75% | |
| Education (3) | Lower education | 687 | 54% | 402 | 53% | 1089 | 54% |
| Higher education | 595 | 46% | 350 | 47% | 945 | 46% | |
| Total | 1282 | 100% | 752 | 100% | 2034 | 100% | |
| Overall | Mean Rank | |||
|---|---|---|---|---|
| Z | p | Residential | Mixed | |
| Annoyance by all sources | −6.142 | 0.000 | 956.66 | 1121.22 |
| Annoyance by road traffic | −6.888 | 0.000 | 949.46 | 1133.50 |
| Annoyance by rail traffic | −1.184 | 0.237 | 1028.22 | 999.22 |
| Annoyance by air traffic | −0.713 | 0.476 | 510.09 | 523.25 |
| Annoyance by commerce and industry | −4.127 | 0.000 | 987.17 | 1069.21 |
| Annoyance by neighbors | −1.410 | 0.158 | 1004.48 | 1039.69 |
| Self-reported sensitivity to noise | −0.541 | 0.588 | 1022.35 | 1007.86 |
| Self-reported health status | −1.004 | 0.316 | 1025.93 | 1000.46 |
| Highest education | −0.295 | 0.768 | 1017.37 | 1009.61 |
| Overall | Mean Rank | |||
|---|---|---|---|---|
| Z | p | Urban | Rural | |
| Annoyance by all sources | −1.861 | 0.063 | 1041.24 | 993.10 |
| Annoyance by road traffic | −3.716 | 0.000 | 970.22 | 1066.10 |
| Annoyance by rail traffic | −11.676 | 0.000 | 881.25 | 1157.55 |
| Annoyance by air traffic | −15.782 | 0.000 | 1213.20 | 816.33 |
| Annoyance by commerce and industry | −5.779 | 0.000 | 976.59 | 1059.55 |
| Annoyance by neighbors | −2.915 | 0.004 | 1086.20 | 946.89 |
| Self-reported sensitivity to noise | −1.401 | 0.161 | 1054.14 | 987.78 |
| Self-reported health status | −14.422 | 0.000 | 1033.45 | 999.12 |
| Highest education | −1.861 | 0.063 | 1194.93 | 829.02 |
| Regression | Standard | Wald | p | OR | OR | ||
|---|---|---|---|---|---|---|---|
| Coefficient B | Error | CI− | CI+ | ||||
| Annoyance by Road Traffic Noise as %HA | |||||||
| Lden.road (score change per 1 dB increase) | 0.167 | 0.015 | 127.132 | 0.000 | 1.182 | 1.148 | 1.217 |
| gender (male vs. female) | −0.297 | 0.149 | 3.981 | 0.046 | 0.743 | 0.556 | 0.995 |
| age (score change by 1 year increase) | 0.007 | 0.005 | 2.549 | 0.110 | 1.007 | 0.998 | 1.016 |
| sens (score change by 1 point increase) | 0.264 | 0.028 | 85.830 | 0.000 | 1.302 | 1.231 | 1.377 |
| edu (lower vs. higher education) | 0.046 | 0.060 | 0.583 | 0.445 | 1.047 | 0.931 | 1.178 |
| health (not good vs. good health status) | −0.036 | 0.083 | 0.188 | 0.665 | 0.965 | 0.820 | 1.135 |
| land-use (residential vs. mixed) | 0.434 | 0.248 | 3.067 | 0.080 | 1.543 | 0.950 | 2.508 |
| setting (urban vs. rural) | 0.438 | 0.238 | 3.386 | 0.066 | 1.550 | 0.972 | 2.472 |
| land-use × setting | −0.445 | 0.317 | 1.967 | 0.161 | 0.641 | 0.344 | 1.193 |
| intercept | −13.398 | 0.971 | 190.508 | 0.000 | 0.000 | ||
| Annoyance by Rail Traffic Noise as %HA | |||||||
| Lden.rail (score change per 1 dB increase) | 0.123 | 0.015 | 67.172 | 0.000 | 1.130 | 1.098 | 1.164 |
| gender (male vs. female) | 0.321 | 0.217 | 2.178 | 0.140 | 1.378 | 0.900 | 2.110 |
| age (score change by 1 year increase) | −0.008 | 0.007 | 1.209 | 0.271 | 0.992 | 0.979 | 1.006 |
| sens (score change by 1 point increase) | 0.205 | 0.040 | 25.741 | 0.000 | 1.228 | 1.134 | 1.329 |
| edu (lower vs. higher education) | 0.092 | 0.091 | 1.005 | 0.316 | 1.096 | 0.916 | 1.311 |
| health (not good vs. good health status) | 0.222 | 0.119 | 3.462 | 0.063 | 1.249 | 0.988 | 1.578 |
| land-use (residential vs. mixed) | 0.204 | 0.386 | 0.281 | 0.596 | 1.227 | 0.576 | 2.611 |
| setting (urban vs. rural) | 1.412 | 0.340 | 17.253 | 0.000 | 4.106 | 2.108 | 7.995 |
| land-use × setting | −0.066 | 0.476 | 0.019 | 0.890 | 0.936 | 0.368 | 2.379 |
| intercept | −11.535 | 1.073 | 115.560 | 0.000 | 0.000 | ||
| Annoyance by Air Traffic Noise as %HA | |||||||
| Lden.air (score change per 1 dB increase) | 0.130 | 0.015 | 73.597 | 0.000 | 1.139 | 1.106 | 1.173 |
| gender (male vs. female) | 0.290 | 0.211 | 1.878 | 0.171 | 1.336 | 0.883 | 2.022 |
| age (score change by 1 year increase) | 0.010 | 0.006 | 3.037 | 0.081 | 1.010 | 0.999 | 1.022 |
| sens (score change by 1 point increase) | 0.217 | 0.040 | 29.068 | 0.000 | 1.243 | 1.148 | 1.345 |
| edu (lower vs. higher education) | 0.082 | 0.085 | 0.926 | 0.336 | 1.086 | 0.918 | 1.283 |
| health (not good vs. good health status) | 0.211 | 0.109 | 3.774 | 0.052 | 1.235 | 0.998 | 1.529 |
| land-use (residential vs. mixed) | 0.024 | 0.211 | 0.013 | 0.911 | 1.024 | 0.677 | 1.548 |
| intercept | −10.905 | 1.043 | 109.369 | 0.000 | 0.000 | ||
Publisher’s Note: MDPI stays neutral with regard to jurisdictional claims in published maps and institutional affiliations. |
© 2022 by the authors. Licensee MDPI, Basel, Switzerland. This article is an open access article distributed under the terms and conditions of the Creative Commons Attribution (CC BY) license (https://creativecommons.org/licenses/by/4.0/).
Share and Cite
Lechner, C.; Kirisits, C. The Effect of Land-Use Categories on Traffic Noise Annoyance. Int. J. Environ. Res. Public Health 2022, 19, 15444. https://doi.org/10.3390/ijerph192315444
Lechner C, Kirisits C. The Effect of Land-Use Categories on Traffic Noise Annoyance. International Journal of Environmental Research and Public Health. 2022; 19(23):15444. https://doi.org/10.3390/ijerph192315444
Chicago/Turabian StyleLechner, Christoph, and Christian Kirisits. 2022. "The Effect of Land-Use Categories on Traffic Noise Annoyance" International Journal of Environmental Research and Public Health 19, no. 23: 15444. https://doi.org/10.3390/ijerph192315444
APA StyleLechner, C., & Kirisits, C. (2022). The Effect of Land-Use Categories on Traffic Noise Annoyance. International Journal of Environmental Research and Public Health, 19(23), 15444. https://doi.org/10.3390/ijerph192315444

