Exploratory Analysis of Sprint Force-Velocity Characteristics, Kinematics and Performance across a Periodized Training Year: A Case Study of Two National Level Sprint Athletes
Abstract
:1. Introduction
2. Materials and Methods
2.1. Participants
2.2. Study Design
2.3. Methodology
2.4. Statistical Analyses
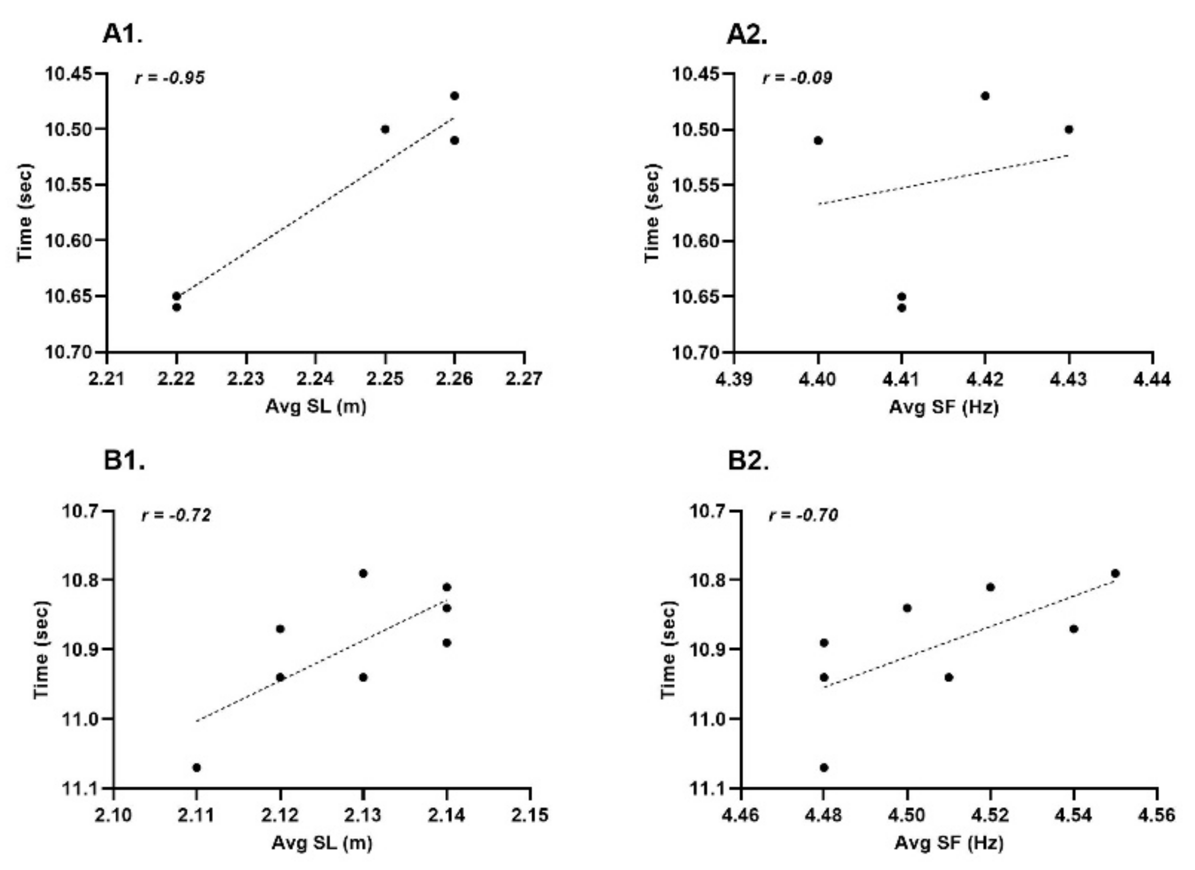
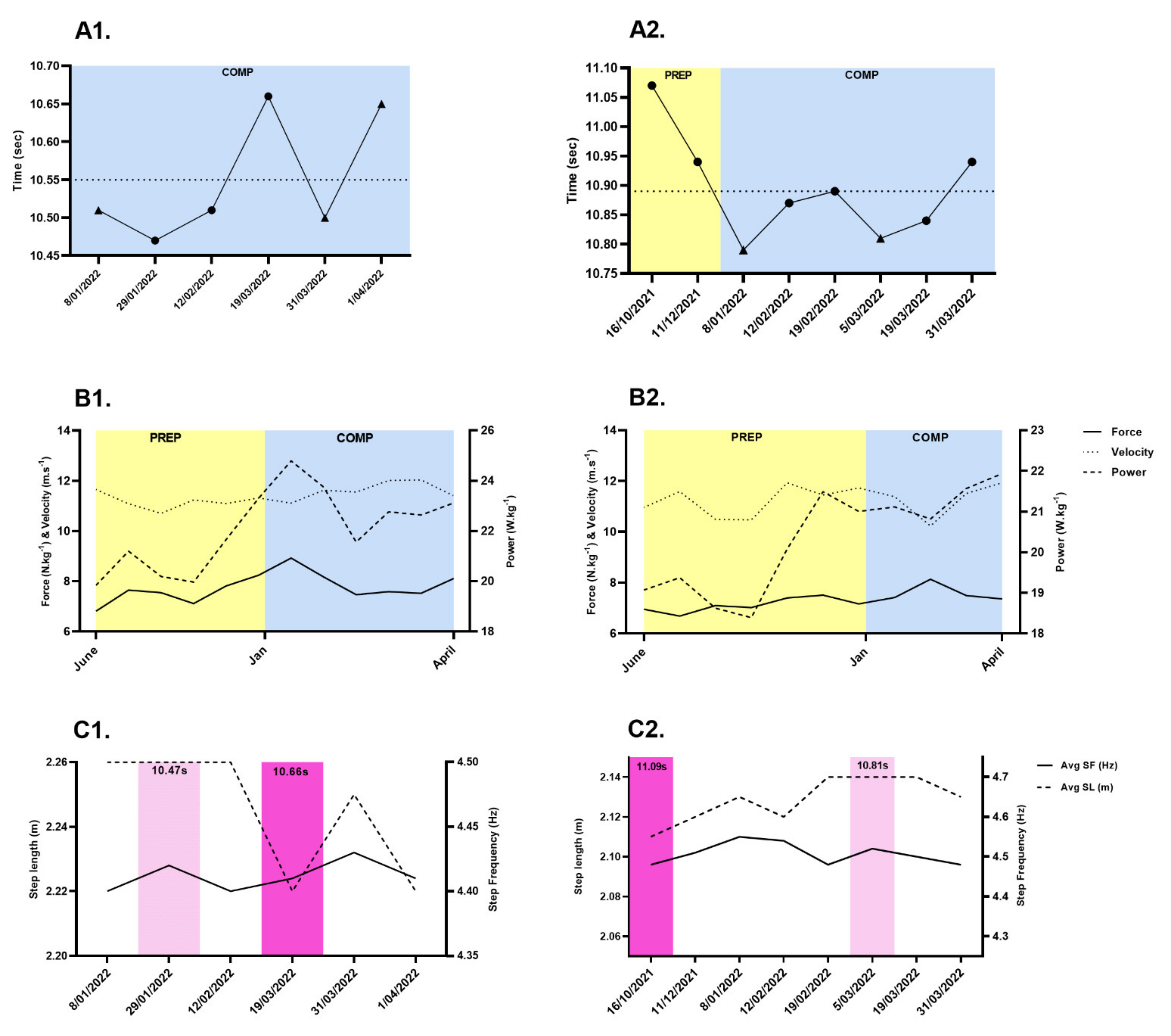
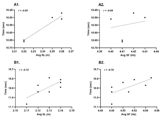
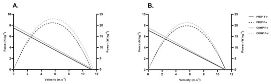
3. Results
4. Discussion
5. Conclusions
Supplementary Materials
Author Contributions
Funding
Institutional Review Board Statement
Informed Consent Statement
Data Availability Statement
Acknowledgments
Conflicts of Interest
References
- Cissik, J.M. Strength and Conditioning Considerations for the 100-m Sprinter. Strength Cond. J. 2010, 32, 89–94. [Google Scholar] [CrossRef]
- Moir, G.L.; Brimmer, S.M.; Snyder, B.W.; Connaboy, C.; Lamont, H.S. Mechanical Limitations to Sprinting and Biomechanical Solutions: A Constraints-Led Framework for the Incorporation of Resistance Training to Develop Sprinting Speed. Strength Cond. J. 2018, 40, 47–67. [Google Scholar] [CrossRef]
- Samozino, P.; Rabita, G.; Dorel, S.; Slawinski, J.; Peyrot, N.; de Villarreal, E.S.; Morin, J.-B. A simple method for measuring power, force, velocity properties, and mechanical effectiveness in sprint running. Scand. J. Med. Sci. Sport. 2016, 26, 648–658. [Google Scholar] [CrossRef]
- Edwards, T.; Weakley, J.; Banyard, H.G.; Cripps, A.; Piggott, B.; Haff, G.G.; Joyce, C. Influence of age and maturation status on sprint acceleration characteristics in junior Australian football. J. Sports Sci. 2021, 39, 1585–1593. [Google Scholar] [CrossRef] [PubMed]
- Watkins, C.M.; Storey, A.; McGuigan, M.R.; Downes, P.; Gill, N.D. Horizontal Force-Velocity-Power Profiling of Rugby Players: A Cross-Sectional Analysis of Competition-Level and Position-Specific Movement Demands. J. Strength Cond. Res. 2021, 35, 1576–1585. [Google Scholar] [CrossRef] [PubMed]
- Cleather, D.J.; Goodwin, J.E.; Bull, A.M.J. An Optimization Approach to Inverse Dynamics Provides Insight as to the Function of the Biarticular Muscles During Vertical Jumping. Ann. Biomed. Eng. 2010, 39, 147–160. [Google Scholar] [CrossRef] [PubMed]
- Bompa, T.; Haff, G.G. Annual Training Plan. In Periodization: Theory and Methodology of Training, 5th ed.; Bompa, T., Haff, G.G., Eds.; Human Kinetics: Champaign, IL USA, 2009; pp. 125–185. [Google Scholar]
- Simpson, A.; Waldron, M.; Cushion, E.; Tallent, J. Optimised force-velocity training during preseason enhances physical performance in professional rugby league players. J. Sports Sci. 2020, 39, 91–100. [Google Scholar] [CrossRef]
- Morris, C.G.; Weber, J.A.; Netto, K.J. Relationship Between Mechanical Effectiveness in Sprint Running and Force-Velocity Characteristics of a Countermovement Jump in Australian Rules Football Athletes. J. Strength Cond. Res. 2020, 36, e59–e65. [Google Scholar] [CrossRef]
- Edwards, T.; Banyard, H.; Pigott, B.; Haff, G.; Joyce, C. Sprint acceleration profiles of junior Australian football players: Intra-individual determinants of performance. J. Sci. Med. Sport 2021, 24, S71–S72. [Google Scholar] [CrossRef]
- Samozino, P.; Peyrot, N.; Edouard, P.; Nagahara, R.; Jimenez-Reyes, P.; Vanwanseele, B.; Morin, J. Optimal mechanical force-velocity profile for sprint acceleration performance. Scand. J. Med. Sci. Sport. 2021, 32, 559–575. [Google Scholar] [CrossRef]
- Blazevich, A.; Jenkins, D. Effect of the movement speed of resistance training exercises on sprint and strength performance in concurrently training elite junior sprinters. J. Sport. Sci. 2002, 20, 981–990. [Google Scholar] [CrossRef] [PubMed]
- Bezodis, I.N.; Kerwin, D.G.; Cooper, S.-M.; Salo, A.I. Sprint Running Performance and Technique Changes in Athletes During Periodized Training: An Elite Training Group Case Study. Int. J. Sport. Physiol. Perform. 2018, 13, 755–762. [Google Scholar] [CrossRef] [PubMed]
- Spiriev, B. World Athletics Scoring Tables of Athletics; World Athletics: Monaco City, Monaco, 2022; pp. 1–540. Available online: https://worldathletics.org/news/news/scoring-tables-2022 (accessed on 4 August 2022).
- Kiely, J. Periodization Paradigms in the 21st Century: Evidence-Led or Tradition-Driven? Int. J. Sports Physiol. Performance 2012, 7, 242–250. [Google Scholar] [CrossRef] [Green Version]
- Zatsiorsky, V.; Kraemer, W. Science and Practice of Strength Training, 2nd ed.; Human Kinetics: Champaign, IL, USA, 2006. [Google Scholar]
- Hicks, D.S.; Schuster, J.G.; Samozino, P.; Morin, J.-B. Improving Mechanical Effectiveness During Sprint Acceleration: Practical Recommendations and Guidelines. Strength Cond. J. 2019, 42, 45–62. [Google Scholar] [CrossRef]
- Plisk, S.; Stone, M. Periodization Strategies. Strength Cond. J. 2003, 25, 19–37. [Google Scholar] [CrossRef]
- Bompa, T.; Haff, G.G. Training Cycles. In Periodization: Theory and Methodology of Training, 5th ed.; Bompa, T., Haff, G.G., Eds.; Human Kinetics: Champaign, IL, USA, 2009; pp. 203–233. [Google Scholar]
- Rhea, M.; Ball, S.; Phillips, W.; Burkett, L. A Comparison of Linear and Daily Undulating Periodized Programs with Equated Volume and Intensity for Strength. J. Strength Cond. Res. 2003, 17, 82–87. [Google Scholar] [CrossRef]
- Cuthbert, M.; Haff, G.G.; Arent, S.M.; Ripley, N.; McMahon, J.J.; Evans, M.; Comfort, P. Effects of Variations in Resistance Training Frequency on Strength Development in Well-Trained Populations and Implications for In-Season Athlete Training: A Systematic Review and Meta-analysis. Sport. Med. 2021, 51, 1967–1982. [Google Scholar] [CrossRef]
- Morin, J.-B.; Samozino, P.; Murata, M.; Cross, M.; Nagahara, R. A simple method for computing sprint acceleration kinetics from running velocity data: Replication study with improved design. J. Biomech. 2019, 94, 82–87. [Google Scholar] [CrossRef] [Green Version]
- Lahti, J.; Jiménez-Reyes, P.; Cross, M.R.; Samozino, P.; Chassaing, P.; Simond-Cote, B.; Ahtiainen, J.P.; Morin, J.-B. Individual Sprint Force-Velocity Profile Adaptations to In-Season Assisted and Resisted Velocity-Based Training in Professional Rugby. Sports 2020, 8, 74. [Google Scholar] [CrossRef]
- Morin, J.B.; Samozino, P. Spreadsheet for Sprint Acceleration Force-Velocity-Power Profiling. 2017. Available online: https://jbmorin.net/2017/12/13/a-spreadsheet-for-sprint-acceleration-force-velocity-power-profiling/ (accessed on 6 May 2022).
- Edwards, T.; Banyard, H.G.; Piggott, B.; Haff, G.G.; Joyce, C. Reliability and Minimal Detectable Change of Sprint Times and Force-Velocity-Power Characteristics. J. Strength Cond. Res. 2021, 36, 268–272. [Google Scholar] [CrossRef]
- Simperingham, K.D.; Cronin, J.B.; Ross, A.A. Advances in Sprint Acceleration Profiling for Field-Based Team-Sport Athletes: Utility, Reliability, Validity and Limitations. Sport. Med. 2016, 46, 1619–1645. [Google Scholar] [CrossRef] [PubMed]
- Duthie, G.M.; Pyne, D.; Ross, A.A.; Livingstone, S.G.; Hooper, S.L. The Reliability of Ten-Meter Sprint Time Using Different Starting Techniques. J. Strength Cond. Res. 2006, 20, 246–251. [Google Scholar] [CrossRef] [PubMed]
- Tønnessen, E.; Haugen, T.; Shalfawi, S.A. Reaction Time Aspects of Elite Sprinters in Athletic World Championships. J. Strength Cond. Res. 2013, 27, 885–892. [Google Scholar] [CrossRef] [PubMed]
- Salo, A.I.; Bezodis, I.N.; Batterham, A.M.; Kerwin, D. Elite sprinting: Are athletes individually step-frequency or step-length reliant? Med. Sci. Sport. Exerc. 2011, 43, 1055–1062. [Google Scholar] [CrossRef] [PubMed] [Green Version]
- Puig-Diví, A.; Escalona-Marfil, C.; Padullés-Riu, J.M.; Busquets, A.; Padullés-Chando, X.; Marcos-Ruiz, D. Validity and reliability of the Kinovea program in obtaining angles and distances using coordinates in 4 perspectives. PLoS ONE 2019, 14, e0216448. [Google Scholar] [CrossRef]
- Hopkins, W.G. Spreadsheets for Analysis of Validity and Reliability. Sport Sci. 2015, 19, 36–42. [Google Scholar]
- Hopkins, W.G. Measures of Reliability in Sports Medicine and Science. Sport. Med. 2000, 30, 1–15. [Google Scholar] [CrossRef] [Green Version]
- Hopkins, W.G.; Marshall, S.W.; Batterham, A.M.; Hanin, J. Progressive Statistics for Studies in Sports Medicine and Exercise Science. Med. Sci. Sport. Exerc. 2009, 41, 3–13. [Google Scholar] [CrossRef] [Green Version]
- Hopkins, W.G. How to interpret changes in an athletic performance test. Sport Sci. 2004, 8, 1–7. [Google Scholar]
- Cortina, J. What is coefficient alpha? An examination of theory and applications. J. Appl. Psychol. 1993, 78, 98–104. [Google Scholar] [CrossRef]
- Vincent, W. Statistics in Kinesiology, 2nd ed.; Human Kinetics: Champaign, IL, USA, 1999. [Google Scholar]
- Atkinson, G.; Nevill, A.M. Statistical Methods for Assessing Measurement Error (Reliability) in Variables Relevant to Sports Medicine. Sport. Med. 1998, 26, 217–238. [Google Scholar] [CrossRef]
- Cormack, S.J.; Newton, R.U.; McGuigan, M.R.; Doyle, T.L.A. Reliability of Measures Obtained During Single and Repeated Countermovement Jumps. Int. J. Sport. Physiol. Perform. 2008, 3, 131–144. [Google Scholar] [CrossRef] [PubMed]
- Haley, S.M.; Fragala-Pinkham, M.A. Interpreting Change Scores of Tests and Measures Used in Physical Therapy. Phys. Ther. 2006, 86, 735–743. [Google Scholar] [CrossRef] [PubMed] [Green Version]
- Furlan, L.; Sterr, A. The Applicability of Standard Error of Measurement and Minimal Detectable Change to Motor Learning Research—A Behavioral Study. Front. Hum. Neurosci. 2018, 12, 95. [Google Scholar] [CrossRef] [PubMed]
- Lexell, J.; Flansbjer, U.-B.; Holmbäck, A.M.; Downham, D.; Patten, C.; Lexcell, J. Reliability of gait performance tests in men and women with hemiparesis after stroke. J. Rehabil. Med. 2005, 37, 75–82. [Google Scholar] [CrossRef] [PubMed] [Green Version]
- Cohen, J. The Significance of a Product moment R. In Statistical Power Analysis for the Behavioral Sciences, 2nd ed.; Cohen, J., Ed.; Lawrence Erlbaum: Hillsdale, NJ, USA, 1988; pp. 75–107. [Google Scholar]
- Haugen, T.; Seiler, S.; Sandbakk, O.; Tønnessen, E. The Training and Development of Elite Sprint Performance: An Integration of Scientific and Best Practice Literature. Sport. Med. Open 2019, 5, 1–16. [Google Scholar] [CrossRef] [PubMed] [Green Version]
- Morin, J.-B.; Bourdin, M.; Edouard, P.; Peyrot, N.; Samozino, P.; Lacour, J.-R. Mechanical determinants of 100-m sprint running performance. Eur. J. Appl. Physiol. 2012, 112, 3921–3930. [Google Scholar] [CrossRef] [Green Version]
- Rabita, G.; Dorel, S.; Slawinski, J.; Sàez-De-Villarreal, E.; Couturier, A.; Samozino, P.; Morin, J.-B. Sprint mechanics in world-class athletes: A new insight into the limits of human locomotion: Sprint Mechanics in Elite Athletes. Scand. J. Med. Sci. Sport. 2015, 25, 583–594. [Google Scholar] [CrossRef]
- Morin, J.-B.; Edouard, P.; Samozino, P. Technical Ability of Force Application as a Determinant Factor of Sprint Performance. Med. Sci. Sport. Exerc. 2011, 43, 1680–1688. [Google Scholar] [CrossRef]
- Slawinski, J.; Termoz, N.; Rabita, G.; Guilhem, G.; Dorel, S.; Morin, J.-B.; Samozino, P. How 100-m event analyses improve our understanding of world-class men’s and women’s sprint performance. Scand. J. Med. Sci. Sport. 2015, 27, 45–54. [Google Scholar] [CrossRef]
- Gajer, B.; Thépaut-Mathieu, C.; Lehénaff, D. Evolution of stride and amplitude during course of the 100 m event in athletics. New Stud. Athl. 1999, 14, 43–50. [Google Scholar]
- Hunter, J.P.; Marshall, R.N.; McNair, P.J. Interaction of Step Length and Step Rate during Sprint Running. Med. Sci. Sport. Exerc. 2004, 36, 261–271. [Google Scholar] [CrossRef] [PubMed] [Green Version]
- Ross, A.; Leveritt, M.; Riek, S. Neural influences on sprint running training adaptations and acute responses. Sport. Med. 2001, 31, 409–425. [Google Scholar] [CrossRef] [PubMed]
- Stavridis, I.; Economou, T.; Walker, J.; Bissa, A.; Tsopanidou, A.; Paradis, G. Sprint mechanical characteristics of sub-elite and recreational sprinters. J. Phys. Educ. Sport 2022, 22, 1126–1133. [Google Scholar] [CrossRef]
- Uth, N. Anthropometric comparison of world-class sprinters and normal populations. J. Sport. Sci. Med. 2005, 4, 608–616. [Google Scholar]
- Weyand, P.G.; Sternlight, D.B.; Bellizzi, M.J.; Wright, S. Faster top running speeds are achieved with greater ground forces not more rapid leg movements. J. Appl. Physiol. 2000, 89, 1991–1999. [Google Scholar] [CrossRef] [Green Version]
- Jagim, A.R.; Luedke, J.; Fitzpatrick, A.; Winkelman, G.; Erickson, J.L.; Askow, A.T.; Camic, C.L. The Impact of COVID-19-Related Shutdown Measures on the Training Habits and Perceptions of Athletes in the United States: A Brief Research Report. Front. Sport. Act. Living 2020, 2, 623068. [Google Scholar] [CrossRef]
- Wagemans, J.; Catteeuw, P.; Vandenhouten, J.; Jansen, J.; de Corte, X.; Ceusters, C.; Vissers, D. The Impact of COVID-19 on Physical Performance and Mental Health—A Retrospective Case Series of Belgian Male Professional Football Players. Front. Sport. Act. Living 2021, 3, 803130. [Google Scholar] [CrossRef]
- Sarto, F.; Impellizzeri, F.M.; Spörri, J.; Porcelli, S.; Olmo, J.; Requena, B.; Suarez-Arrones, L.; Arundale, A.; Bilsborough, J.; Buchheit, M.; et al. Impact of Potential Physiological Changes due to COVID-19 Home Confinement on Athlete Health Protection in Elite Sports: A Call for Awareness in Sports Programming. Sport. Med. 2020, 50, 1417–1419. [Google Scholar] [CrossRef]
- Van den Tillaar, R.; Haugen, M.E.; Falch, H.N. A Comparison of Sprint Mechanical Parameters Measured with Timing Gates and a Laser Gun. Front. Sport. Act. Living 2022, 4, 877482. [Google Scholar] [CrossRef]






| Date | Phase | Type | Athlete 1 | Athlete 2 |
|---|---|---|---|---|
| June-21 | PREP | FV | 1 | 1 |
| July-21 | PREP | FV | 2 | 2 |
| August-21 | PREP | FV | 2 | 2 |
| October-21 | PREP | 100 m/200 m | - | 3 |
| November-21 | PREP | FV | 1 | 1 |
| November-21 | PREP | 100 m/200 m | - | 1 |
| December-21 | PREP | 100 m/200 m | - | 1 |
| December-21 | PREP | FV | 1 | 1 |
| January-22 | COMP | FV | 1 | 1 |
| January-22 | COMP | 100 m/200 m | 4 | 3 |
| February-22 | COMP | FV | 1 | 1 |
| February-22 | COMP | 100 m/200 m | 2 | 4 |
| March-22 | COMP | FV | 2 | 2 |
| March-22 | COMP | 100 m/200 m | 2 | 3 |
| April-22 | COMP | FV | 1 | - |
| April-22 | COMP | 100 m/200 m | 2 | 2 |
| Preparation Phase (General: June–September) | |||||||
|---|---|---|---|---|---|---|---|
| DAY | SUNDAY | MONDAY | TUESDAY | WEDNESDAY | THURSDAY | FRIDAY | SATURDAY |
| INTENSITY | MODERATE | MODERATE | MODERATE | MODERATE-HARD | MODERATE | EASY | MODERATE-HARD |
| LOCATION | GRASS INCLINE | GRASS FIELD | WEIGHTROOM | TRACK | WEIGHTROOM | POOL/BEACH | TRACK |
| MAIN SESSION | AM Hill runs | PM Speed Endurance | PM Accumulation-Strength-Speed (UB) | PM Special Endurance | PM Accumulation-Speed-Strength (LB) | Regeneration | AM Acceleration/Speed Weightroom (TB) Maximal effort |
| Preparation Phase (Specific: October–December) | |||||||
| DAY | SUNDAY | MONDAY | TUESDAY | WEDNESDAY | THURSDAY | FRIDAY | SATURDAY |
| INTENSITY | MODERATE | EASY-MODERATE | MODERATE-HARD | MODERATE | HARD | EASY | MODERATE-HARD |
| LOCATION | WEIGHTROOM | GRASS FIELD | TRACK | WEIGHTROOM | TRACK | POOL/BEACH | TRACK |
| MAIN SESSION | AM Intensification -Strength-Speed (LB) | PM Varied-paced runs | PM Acceleration/ Special Endurance | PM Intensification-Speed-Strength (UB) | PM Maximal Velocity + Tempo | Regeneration | AM Acceleration/ Speed Endurance |
| Competitive Phase (January–March) | |||||||
| DAY | SUNDAY | MONDAY | TUESDAY | WEDNESDAY | THURSDAY | FRIDAY | SATURDAY |
| INTENSITY | EASY | EASY-MODERATE | MODERATE-HARD | MODERATE | MODERATE | EASY | MODERATE |
| LOCATION | WEIGHTROOM | GRASS FIELD | TRACK | WEIGHTROOM | TRACK | POOL/BEACH | TRACK |
| MAIN SESSION | PM Strength Circuits (TB) | PM Varied-paced runs | PM Acceleration/Speed | PM Power (TB) | PM Maximal velocity + Tempo | Regeneration | PM Competition |
| Variable | Relative F0 (N.kg−1) | v0 (m.s−1) | Relative PMAX (W.kg−1) | Relative SFV (N.s.m−1.kg−1) | RFMAX (%) | DRF (%.m.s−1) | VMAX (m.s−1) | Tau | Split Time 0–10 m (s) | Split Time 0–20 m (s) | Split Time 0–30 m (s) |
|---|---|---|---|---|---|---|---|---|---|---|---|
| Athlete 1 | |||||||||||
| ICC | 0.94 (0.89, 0.96) | 0.73 (0.51, 0.88) | 0.94 (0.85, 0.98) | 0.87 (0.73, 0.95) | 0.96 (0.91, 0.98) | 0.85 (0.70, 0.94) | 0.82 (0.62, 0.94) | 0.87 (0.73,0.95) | 0.89 (0.77, 0.96) | 0.98 (0.94 0.99) | 0.91 (0.81, 0.97) |
| CV (%) | 1.83 | 1.69 | 0.99 | 3.36 | 0.55 | 3.44 | 1.40 | 3.06 | 0.57 | 0.31 | 0.30 |
| SEM | 0.11 | 0.18 | 0.31 | 0.01 | 0.002 | 0.002 | 0.12 | 0.04 | 0.01 | 0.01 | 0.02 |
| MDC | 0.32 | 0.51 | 0.86 | 0.05 | 0.008 | 0.005 | 0.32 | 0.10 | 0.03 | 0.03 | 0.06 |
| MDC% | 4.24 | 4.56 | 4.08 | 7.46 | 1.66 | 8.33 | 3.06 | 7.35 | 1.48 | 0.95 | 1.43 |
| Athlete 2 | |||||||||||
| ICC | 0.89 (0.76, 0.96) | 0.86 (0.70, 0.95) | 0.96 (0.87, 0.98) | 0.80 (0.26, 0.94) | 0.96 (0.91, 0.98) | 0.82 (0.36, 0.94) | 0.88 (0.72, 0.96) | 0.81 (0.61, 0.93) | 0.93 (0.81, 0.98 | 0.97 (0.95, 0.98) | 0.97 (0.95,0.98) |
| CV (%) | 2.31 | 2.23 | 0.68 | 4.50 | 0.64 | 4.61 | 1.88 | 3.94 | 0.49 | 0.30 | 0.28 |
| SEM | 0.09 | 0.22 | 0.28 | 0.02 | 0.003 | 0.002 | 0.17 | 0.03 | 0.01 | 0.01 | 0.01 |
| MDC | 0.26 | 0.65 | 0.79 | 0.06 | 0.006 | 0.006 | 0.48 | 0.09 | 0.03 | 0.03 | 0.05 |
| MDC% | 3.65 | 5.78 | 3.95 | 9.37 | 1.30 | 10.00 | 4.61 | 6.29 | 1.44 | 0.94 | 1.17 |
| Variable | Participant | PREP Mean ± SD | COMP Mean ± SD | Mean Difference, %Δ | Within-Athlete ES (+ 95% CL) (PRE-COMP) | p Value |
|---|---|---|---|---|---|---|
| Relative F0 (N.kg−1) | Athlete 1 Athlete 2 | 7.53 ± 0.50 7.12 ± 0.27 | 7.96 ± 0.56 7.60 ± 0.35 | 0.43, 5.77 0.48, 6.33 | −0.81 (−2.55, 0.92) −1.56 (−3.17, 0.03) | 0.19 0.03 * |
| v0 (m.s−1) | Athlete 1 Athlete 2 | 11.18 ± 0.31 11.23 ± 0.59 | 11.62 ± 0.35 11.27 ± 0.72 | 0.44, 3.81 0.04, 0.29 | −1.32 (−3.44. 0.79) −0.05 (−1.46, 1.36) | 0.04 * 0.94 |
| Relative PMAX (W.kg−1) | Athlete 1 Athlete 2 | 21.03 ± 1.32 20.00 ± 1.48 | 23.10 ± 1.09 21.36 ± 0.49 | 2.07, 8.99 1.36, 6.34 | −1.70 (−3.79. 0.37) −1.08 (−2.59, 0.42) | 0.01 ** 0.12 |
| Relative SFV (N.s.m−1.kg−1) | Athlete 1 Athlete 2 | −0.67 ± 0.05 −0.64 ± 0.03 | −0.69 ± 0.06 −0.68 ± 0.07 | −0.02, 1.80 −0.04, 6.42 | 0.20 (−2.40, 1.80) 0.80 (−0.66, 2.27) | 0.73 0.23 |
| RFMAX (Maximum ratio of forces) | Athlete 1 Athlete 2 | 0.48 ± 0.01 0.46 ± 0.01 | 0.49 ± 0.01 0.48 ± 0.002 | 0.01, 3.71 0.02, 3.24 | −1.28 (−3.21, 0.63) −1.46 (−3.04, 0.11) | 0.05 * 0.04 * |
| DRF (Decrement in ratio of forces) | Athlete 1 Athlete 2 | −0.060 ± 0.00 −0.057 ± 0.00 | −0.061 ± 0.00 −0.061 ± 0.01 | 0.001, 0.88 0.003, 5.97 | 0.10 (−1.50, 1.70) 0.70 (−0.75, 2.16) | 0.87 0.29 |
| VMAX (Maximal horizontal velocity) | Athlete 1 Athlete 2 | 10.43 ± 0.24 10.41 ± 0.49 | 10.84 ± 0.26 10.48 ± 0.57 | 0.41, 3.83 0.07, 5.69 | −1.63 (−3.93, 0.65) −0.13 (−1.55, 1.28) | 0.01 ** 0.84 |
| Tau (Relative acceleration) | Athlete 1 Athlete 2 | 1.36 ± 0.10 1.43 ± 0.07 | 1.34 ± 0.11 1.36 ± 0.12 | −0.02, 1.64 −0.07, 2.20 | 0.20 (−1.38, 1.78) 0.81 (−1.55, 2.28) | 0.74 0.22 |
| Split time 0–10 m (s) | Athlete 1 Athlete 2 | 2.02 ± 0.04 2.07 ± 0.04 | 1.96 ± 0.04 2.02 ± 0.01 | −0.06, 2.72 −0.05, 2.15 | 1.20 (−0.61, 3.01) 1.10 (−0.40, 2.62) | 0.06 0.11 |
| Split time 0–20 m (s) | Athlete 1 Athlete 2 | 3.14 ± 0.07 3.19 ± 0.07 | 3.04 ± 0.05 3.11 ± 0.03 | −0.10, 3.38 −0.08, 2.45 | 1.57 (−0.55, 3.70) 1.23 (−0.30, 2.76) | 0.02 * 0.08 |
| Split time 0–30 m (s) | Athlete 1 Athlete 2 | 4.18 ± 0.07 4.25 ± 0.11 | 4.05 ± 0.05 4.17 ± 0.06 | −0.13, 3.11 −0.07, 2.03 | 1.92 (−0.18, 4.03) 0.83 (−0.63, 2.30) | 0.007 * 0.22 |
Publisher’s Note: MDPI stays neutral with regard to jurisdictional claims in published maps and institutional affiliations. |
© 2022 by the authors. Licensee MDPI, Basel, Switzerland. This article is an open access article distributed under the terms and conditions of the Creative Commons Attribution (CC BY) license (https://creativecommons.org/licenses/by/4.0/).
Share and Cite
Hicks, D.S.; Drummond, C.; Williams, K.J.; van den Tillaar, R. Exploratory Analysis of Sprint Force-Velocity Characteristics, Kinematics and Performance across a Periodized Training Year: A Case Study of Two National Level Sprint Athletes. Int. J. Environ. Res. Public Health 2022, 19, 15404. https://doi.org/10.3390/ijerph192215404
Hicks DS, Drummond C, Williams KJ, van den Tillaar R. Exploratory Analysis of Sprint Force-Velocity Characteristics, Kinematics and Performance across a Periodized Training Year: A Case Study of Two National Level Sprint Athletes. International Journal of Environmental Research and Public Health. 2022; 19(22):15404. https://doi.org/10.3390/ijerph192215404
Chicago/Turabian StyleHicks, Dylan Shaun, Claire Drummond, Kym J. Williams, and Roland van den Tillaar. 2022. "Exploratory Analysis of Sprint Force-Velocity Characteristics, Kinematics and Performance across a Periodized Training Year: A Case Study of Two National Level Sprint Athletes" International Journal of Environmental Research and Public Health 19, no. 22: 15404. https://doi.org/10.3390/ijerph192215404
APA StyleHicks, D. S., Drummond, C., Williams, K. J., & van den Tillaar, R. (2022). Exploratory Analysis of Sprint Force-Velocity Characteristics, Kinematics and Performance across a Periodized Training Year: A Case Study of Two National Level Sprint Athletes. International Journal of Environmental Research and Public Health, 19(22), 15404. https://doi.org/10.3390/ijerph192215404

