Evaluation of Potentially Toxic Trace Metals and Associated Health Risk Assessment in Buffalo Milk
Abstract
1. Introduction
2. Materials and Methods
2.1. Sampling and Digestion
2.2. Metal Analysis
2.3. Statistical Analysis
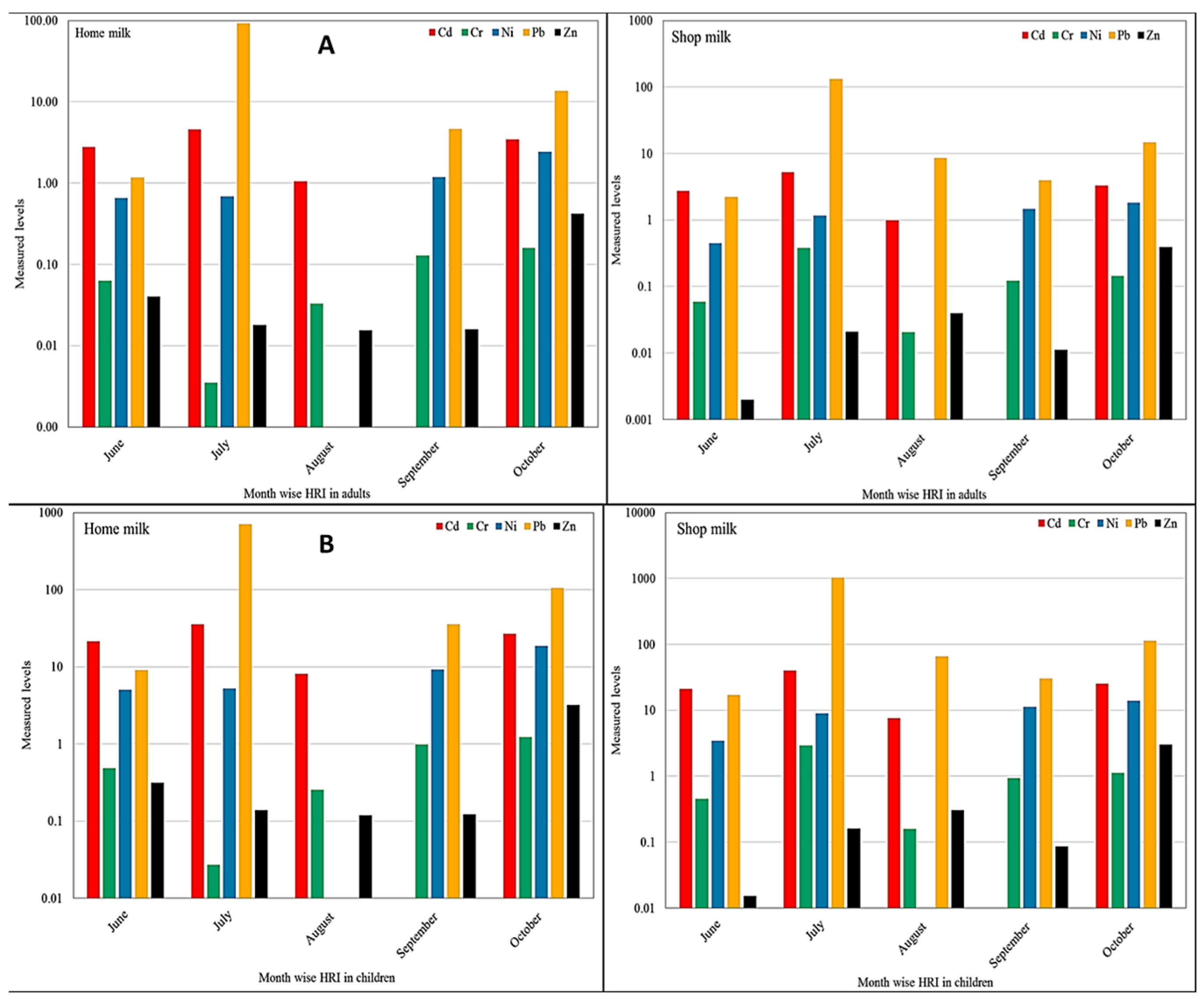
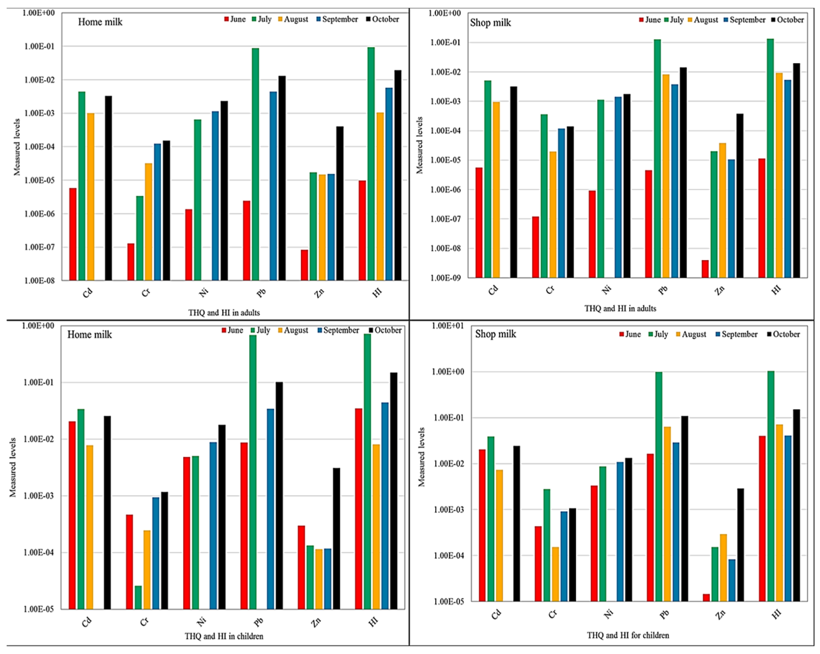
2.4. Health Risk Assessment
3. Results and Discussion
3.1. Distribution of the Metals in Buffalo Milk
3.2. Comparative Appraisal of Potentially Toxic Metals in Buffalo Milk
3.3. Correlations Analysis
3.4. Multivariate Analysis
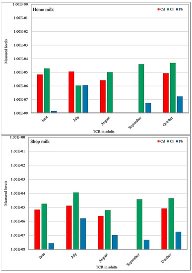
3.5. Health Risk Assessment
4. Conclusions
Supplementary Materials
Author Contributions
Funding
Institutional Review Board Statement
Informed Consent Statement
Data Availability Statement
Acknowledgments
Conflicts of Interest
References
- Hajeb, P.; Sloth, J.J.; Shakibazadeh, S.H.; Mahyudin, N.A.; Afsah-Hejri, L. Toxic Elements in food: Occurrence, binding, and reduction approaches. Compr. Rev. Food Sci. Food Saf. 2014, 13, 457–472. [Google Scholar] [CrossRef] [PubMed]
- Srivastava, A.; Siddiqui, N.A.; Koshe, R.K.; Singh, V.K. Human Health Effects Emanating from Airborne Heavy Metals due to Natural and Anthropogenic Activities: A Review. In Advances in Health and Environment Safety; Springer: Singapore, 2018; pp. 279–296. [Google Scholar]
- Olowoyo, J.O.; Van Heerden, E.; Fischer, J.L.; Baker, C. Trace Metals in Soil and Leaves of Jacaranda mimosifolia in Tshwane Area, South Africa. Atmos. Environ. 2010, 44, 1826–1830. [Google Scholar] [CrossRef]
- Sall, M.L.; Diaw AK, D.; Gningue-Sall, D.; Efremova Aaron, S.; Aaron, J.J. Toxic Heavy Metals: Impact on the Environment and Human Health, and Treatment with Conducting Organic Polymers, a Review. Environ. Sci. Pollut. Res. 2020, 27, 29927–29942. [Google Scholar] [CrossRef] [PubMed]
- Alimardan, M.; Ziarati, P.; Jafari Moghadam, R. Adsorption of Heavy Metal Ions from Contaminated Soil by B. integerrima Barberry. Biomed. Pharmacol. J. 2016, 9, 169–175. [Google Scholar] [CrossRef]
- Ali, H.; Khan, E.; Ilahi, I. Environmental Chemistry and Ecotoxicology of Hazardous Heavy Metals: Environmental Persistence, Toxicity, and Bioaccumulation. J. Chem. 2019, 2019, 1–14. [Google Scholar] [CrossRef]
- Dghaim, R.; Al Khatib, S.; Rasool, H.; Ali Khan, M. Determination of Heavy Metals Concentration in Traditional Herbs Commonly Consumed in the United Arab Emirates. J. Environ. Public Health 2015, 2015, 973878. [Google Scholar] [CrossRef] [PubMed]
- Khan, K.; Khan, H.; Lu, Y.; Ihsanullah, I.; Nawab, J.; Khan, S.; Maryam, A. Evaluation of Toxicological Risk of Foodstuffs Contaminated with Heavy Metals in Swat, Pakistan. Ecotoxicol. Environ. Saf. 2014, 108, 224–232. [Google Scholar] [CrossRef] [PubMed]
- Oves, M.; Saghir Khan, M.; Huda Qari, A.; Nadeen Felemban, M.; Almeelbi, T. Heavy Metals: Biological Importance and Detoxification Strategies. J. Bioremediat. Biodegrad. 2016, 7, 1–15. [Google Scholar]
- Varol, M.; Sünbül, M.R.; Aytop, H.; Yılmaz, C.H. Environmental, Ecological and Health Risks of Trace Elements, and their Sources in Soils of Harran Plain, Turkey. Chemosphere 2020, 245, 125592. [Google Scholar] [CrossRef]
- Gall, J.E.; Boyd, R.S.; Rajakaruna, N. Transfer of Heavy Metals through Terrestrial Food Webs: A Review. J. Environ. Monit. Assess. 2015, 187, 1–21. [Google Scholar] [CrossRef]
- Rathnayake IV, N.; Megharaj, M.; Krishnamurti, G.S.R.; Bolan, N.S.; Naidu, R. Heavy Metal Toxicity to Bacteria–Are the Existing Growth Media Accurate Enough to Determine Heavy Metal Toxicity? Chemosphere 2013, 90, 1195–1200. [Google Scholar] [CrossRef] [PubMed]
- Plavan, G.; Jitar, O.; Teodosiu, C.; Nicoara, M.; Micu, D.; Strungaru, S.A. Toxic Metals in Tissues of Fishes from the Black Sea and Associated Human Health Risk Exposure. Environ. Sci. Pollut. Res. 2017, 24, 7776–7787. [Google Scholar] [CrossRef]
- Abbasi, A.M.; Iqbal, J.; Khan, M.A.; Shah, M.H. Health Risk Assessment and Multivariate Apportionment of Trace Metals in Wild Leafy Vegetables from Lesser Himalayas, Pakistan. Ecotoxicol. Environ. Saf. 2013, 92, 237–244. [Google Scholar] [CrossRef] [PubMed]
- Khan, S.; Rehman, S.; Khan, A.Z.; Khan, A.; Shah, M.T. Soil and Vegetables Enrichment with Heavy Metals from Geological Sources in Gilgit, Northern Pakistan. Ecotoxicol. Environ. Saf. 2010, 73, 1820–1827. [Google Scholar] [CrossRef] [PubMed]
- Arora, M.; Kiran, B.; Rani, S.; Rani, A.; Kaur, B.; Mittal, N. Heavy Metal Accumulation in Vegetables Irrigated with Water from Different Sources. J. Food Chem. 2008, 111, 811–815. [Google Scholar] [CrossRef]
- Singh, J.; Kalamdhad, A.S. Effects of Heavy Metalson Soil, Plants, Human Health and Aquatic Life. Int. J. Res. Chem. Environ. 2011, 1, 15–21. [Google Scholar]
- Ismail, A.; Riaz, M.; Akhtar, S.; Farooq, A.; Shahzad, M.A.; Mujtaba, A. Intake of Heavy Metals through Milk and Toxicity Assessment. Pak. J. Of. Zool. 2017, 49, 1413–1419. [Google Scholar] [CrossRef]
- Leksir, C.; Boudalia, S.; Moujahed, N.; Chemmam, M. Traditional Dairy Products in Algeria: Case of Klila Cheese. J. Ethn. Foods 2019, 6, 1–14. [Google Scholar] [CrossRef]
- Arif, A.M.; Javed, I.; Ayaz, M.; Abdullah, M.; Imran, M.; Rashid, A.; Martorell, M. Chemical Composition, Adulteration, Total Microbial Load, and Heavy Metal in Raw Milk Samples Collected from Dairy Farms and Urban Areas in Lahore District, Pakistan. J. Food Saf. 2020, 40, e12729. [Google Scholar] [CrossRef]
- Salah, F.; Ahmed, A.E.A. Assessment of Toxic Heavy Metals in Some Dairy Products and the Effect of Storage on its Distribution. J. Am. Sci. 2012, 8, 665–670. [Google Scholar]
- Seyed, M.D.; Ebrahim, R. Determination of Lead Residue in Raw Cow Milk from Different Regions of Iran by Flameless Atomic Absorption Spectrometry. Am. Eurasian J. Toxicol. Sci. 2012, 4, 16–19. [Google Scholar]
- Mishra, S.S.; Joshi, B.K. Genetic and Non-Genetic Factors Affecting Lactation Milk Constituents and Yield Traits in Holstein Friesian× Karan Crossbred Cows. Indian J. Dairy Sci. 2009, 57, 69–72. [Google Scholar]
- Malhat, F.; Hagag, M.; Saber, A. Contamination of Cow’s Milk by Heavy Metal in Egypt. Bull. Environ. Contam. Toxicol. 2012, 88, 611–613. [Google Scholar] [CrossRef]
- Farid, S.; Baloch, M.K. Heavy Metal Ions in Milk Samples Collected from Animals Feed with City Effluent Irrigated Fodder. Greener J. Phys. Sci. 2012, 2, 036–043. [Google Scholar]
- Chandrakar, C.; Kumar Jaiswal, S.; Chaturvedani, A.K.; Sahu, S.S.; Ika, M.; Wasist, U. A Review on Heavy Metal Residues in Indian Milk and Their Impact on Human Health. Int. J. Curr. Microbiol. Appl. Sci. 2018, 7, 1260–1268. [Google Scholar] [CrossRef]
- Iftikhar, B.; Arif, S.; Siddiqui, S.; Khattak, R. Assessment of toxic metals in dairy milk and animal feed in Peshawar, Pakistan. Biotechnol. J. Int. 2014, 4, 883–893. [Google Scholar] [CrossRef]
- Cai, Q.; Long, M.L.; Zhu, M.; Zhou, Q.Z.; Zhang, L.; Liu, J. Food Chain Transfer of Cadmium and Lead to Cattle in a Lead–Zinc Smelter in Guizhou, China. J. Environ. Pollut. 2009, 157, 3078–3082. [Google Scholar] [CrossRef] [PubMed]
- Lutfullah, G.; Khan, A.A.; Amjad, A.Y.; Perveen, S. Comparative Study of Heavy Metals in Dried and Fluid Milk in Peshawar by Atomic Absorption Spectrophotometry. Sci. World J. 2014, 2014, 1–6. [Google Scholar] [CrossRef] [PubMed]
- Rezaei, M.; Dastjerdi, H.A.; Jafari, H.; Farahi, A.; Shahabi, A.; Javdani, H.; Malekirad, A.A. Assessment of Dairy Products Consumed on the Arak Market as Determined by Heavy Metal Residues. Health 2014, 6, 323–327. [Google Scholar] [CrossRef]
- Abdel khalek, A.; Elsherbini, M.; Gunbaej, E.E. Assessment of Heavy metals Residues in Milk Powder and Infant Milk Formula Sold in Mansoura City, Egypt. Alex. J. Vet. Sci. 2015, 47, 71–77. [Google Scholar]
- Ogabiela, E.E.; Udiba, U.U.; Adesina, O.B.; Hammuel, C.; Ade-Ajayi, F.A.; Yebpella, G.G.; Mmereole, U.J.; Abdullahi, M. Assessment of Metal Levels in Fresh Milk from Cows Grazed around Challawa Industrial Estate of Kano, Nigeria. J. Basic Appl. Sci. Res. 2011, 1, 533–538. [Google Scholar]
- Zia, U.; Mahmood, T.; Ali, M.R. Dairy Development in Pakistan; FAO: Rome, Italy, 2011; pp. 1–53. [Google Scholar]
- Government of Pakistan. Pakistan Economic Survey (2020–2021); Government of Pakistan, Finance Division: Islamabad, Pakistan, 2022; pp. 1–556.
- Food Agriculture Organization/World Health Organization. Milk and Milk Products. Statistical Pocketbook Rome; FAO/WHO: Rome, Italy, 2019; pp. 201–254. [Google Scholar]
- Bousbia, A.; Boudalia, S.; Gueroui, Y.; Ghebache, R.; Amrouchi, M.; Belase, B.; Chelaghmia, M.L. Heavy Metals Concentrations in Raw Cow Milk Produced in the Different Livestock Farming Types in Guelma Province (Algeria): Contamination and Risk Assessment of Consumption. J. Anim. Plant Sci. 2019, 29, 386–395. [Google Scholar]
- Perveen, I.; Raza, M.A.; Sehar, S.; Naz, I.; Young, B.; Ahmed, S. Heavy Metal Contamination in Water, Soil, and Milk of the Industrial Area Adjacent to Swan River, Islamabad, Pakistan. Hum. Ecol. Risk Assess. 2017, 23, 1564–1572. [Google Scholar] [CrossRef]
- Cano-Sancho, G.; Marin, S.; Ramos, A.J.; Peris-Vicente, J.; Sanchis, V. Occurrence of Aflatoxin M1 and Exposure Assessment in Catalonia (Spain). Rev. Iberoam. De Micol. 2010, 27, 130–135. [Google Scholar] [CrossRef] [PubMed]
- Griboff, J.; Wunderlin, D.A.; Monferran, M.V. As and Se Determination by Inductively Coupled Plasma-Mass Spectrometry (ICP-MS) in Edible Fish Collected from Three Eutrophic Reservoirs. Their Consumption Represents a Risk for Human Health. Microchem. J. 2017, 130, 236–244. [Google Scholar] [CrossRef]
- Abbasi, H.; Shah, M.H.; Mohiuddin, M.; Elshikh, M.S.; Hussain, Z.; Alkahtani, J.; Abbasi, A.M. Quantification of Heavy metals and Health Risk Assessment in Processed Fruits’ Products. Arab. J. Chem. 2020, 13, 8965–8978. [Google Scholar] [CrossRef]
- Cui, Y.J.; Zhu, Y.G.; Zhai, R.H.; Chen, D.Y.; Huang, Y.Z.; Qiu, Y.; Liang, J.Z. Transfer of metals from soil to vegetables in an area near a smelter in Nanning, China. Environ. Int. 2004, 30, 785–791. [Google Scholar] [CrossRef]
- Li, S.M.; Fang, Y.; Ning, H.M.; Wu, Y.X. Heavy Metals in Chinese Therapeutic Foods and Herbs. J. Chem. Soc. Pak. 2012, 34, 1091–1095. [Google Scholar]
- USEPA. Regional Screening Level Table (RSL) for Chemical Contaminants at Superfund Sites; US. Environmental Protection Agency: Washington, DC, USA, 2012.
- USEPA. Guidance for Federal land management in the Chesapeake Bay Watershed; Chapter 2: Agriculture; US Environmental Protection Agency: Washington, DC, USA, 2010.
- USEPA. USEPA Region III Risk-based Concentration Table, Technical Background Information; US Environmental Protection Agency: Washington, DC, USA, 2006.
- Yang, Z.; Lu, W.; Long, Y.; Bao, X.; Yang, Q. Assessment of Heavy Metals Contamination in Urban Topsoil from Changchun City, China. J. Geochem. Exploration 2011, 108, 27–38. [Google Scholar] [CrossRef]
- Li, S.; Zhang, Q. Risk Assessment and Seasonal Variations of Dissolved Trace Elements and Heavy Metals in the Upper Han River, China. J. Hazard. Mater. 2010, 181, 1051–1058. [Google Scholar] [CrossRef]
- Esposito, F.; Nardone, A.; Fasano, E.; Scognamiglio, G.; Esposito, D.; Agrelli, D.; Cirillo, T. A Systematic Risk Characterization Related to the Dietary Exposure of the Population to Potentially Toxic Elements through the Ingestion of Fruit and Vegetables from a Potentially Contaminated Area. A case study: The Issue of the “Land of Fires” Area in Campania Region, Italy. J. Environ. Pollut. 2018, 243, 1781–1790. [Google Scholar]
- El-Ansary, M.; El-Leboudy, A. Levels of Cadmium and Lead in Raw Cow and Buffalo’s Milk Samples Collected from Local Markets of El-Behera Governorate. Alex. J. Vet. Sci. 2015, 47, 129–133. [Google Scholar]
- Enb, A.; Abou Donia, M.A.; Abd-Rabou, N.S.; Abou-Arab AA, K.; El-Senaity, M.H. Chemical Composition of Raw Milk and Heavy Metals Behavior during Processing of Milk Products. Global Veterinaria 2009, 3, 268–275. [Google Scholar]
- Najarnezhad, V.; Jalilzadeh-Amin, G.; Anassori, E.; Zeinali, V. Lead and cadmium in raw buffalo, cow and ewe milk from west Azerbaijan, Iran. Food Addit. Contam. Part B 2015, 8, 123–127. [Google Scholar] [CrossRef] [PubMed]
- Ahmad, I.; Zaman, A.; Samad, N.; Ayaz, M.M.; Rukh, S.; Akbar, A.; Ullah, N. Atomic Absorption Spectrophotometry Detection of Heavy metals in Milk of Camel, Cattle, Buffalo, and Goat from Various Areas of Khyber-Pakhtunkhwa (KPK), Pakistan. J. Anal. Bioanal. Tech. 2017, 8, 1–6. [Google Scholar] [CrossRef]
- Parsaei, P.; Rahimi, E.; Shakerian, A. Concentrations of Cadmium, Lead and Mercury in Raw Bovine, Ovine, Caprine, Buffalo and Camel Milk. Pol. J. Environ. Stud. 2019, 28, 4311–4318. [Google Scholar] [CrossRef]
- Rahimi, E. Lead and Cadmium Concentrations in Goat, Cow, Sheep, and Buffalo Milks from Different Regions of Iran. Food Chem. 2013, 136, 389–391. [Google Scholar] [CrossRef] [PubMed]
- Nordberg, G.F.; Bernard, A.; Diamond, G.L.; Duffus, J.H.; Illing, P.; Nordberg, M.; Skerfving, S. Risk Assessment of Effects of Cadmium on Human Health (IUPAC Technical Report). Pure Appl. Chem. 2018, 90, 755–808. [Google Scholar] [CrossRef]
- Mahurpawar, M. Effects of Heavy Metals on Human Health. Int. J. Reseacrh-Granthaalayah 2015, 530, 1–7. [Google Scholar]
- Martin, S.; Griswold, W. Human Health Effects of Heavy Metals. Environ. Sci. Technol. Briefs Citiz. 2009, 15, 1–6. [Google Scholar]
- Agoramoorthy, G.; Chen, F.A.; Hsu, M.J. Threat of Heavy Metal Pollution in Halophytic and Mangrove Plants of Tamil Nadu, India. J. Environ. Pollut. 2008, 155, 320–326. [Google Scholar] [CrossRef]
- Kabata-Pendias, A. Trace Elements in Soils and Plants; CRC Press: Boca Raton, FL, USA, 2011; p. 213. [Google Scholar]
- Ismail, F.; Anjum, M.R.; Mamon, A.N.; Kazi, T.G. Trace Metal Contents of Vegetables and Fruits of Hyderabad Retail Market. Pak. J. Nutr. 2011, 10, 365–372. [Google Scholar] [CrossRef]
- Guerra, F.; Trevizam, A.R.; Muraoka, T.; Marcante, N.C.; Canniatti-Brazaca, S.G. Heavy metals in vegetables and potential risk for human health. Sci. Agric. 2012, 69, 54–60. [Google Scholar] [CrossRef]
- Kumar, S. Appraisal of Heavy Metal Concentration in Selected Vegetables Exposed to Different Degrees of Pollution in Agra, India. Environ. Monit. Assess. 2013, 185, 2683–2690. [Google Scholar] [CrossRef] [PubMed]
- Denkhaus, E.; Salnikow, K. Nickel Essentiality, Toxicity, and Carcinogenicity. Crit. Rev. Oncol. Hematol. 2002, 42, 35–56. [Google Scholar] [CrossRef]
- Hsu, M.J.; Selvaraj, K.; Agoramoorthy, G. Taiwan’s industrial heavy metal pollution threatens terrestrial biota. Environ. Pollut. 2006, 143, 327–334. [Google Scholar] [CrossRef] [PubMed]
- Goldstein, G.W. Neurological Concepts of Lead Poisoning in Children. Pediatr. Ann. 1992, 21, 384–388. [Google Scholar] [CrossRef] [PubMed]
- Harmanescu, M.; Alda, L.M.; Bordean, D.M.; Gogoasa, I.; Gergen, I. Heavy metals health risk assessment for population via consumption of vegetables grown in old mining area; a case study: Banat County, Romania. Chem. Cent. J. 2011, 5, 1–10. [Google Scholar] [CrossRef]
- Mondal, K.; Jana, S. A review of the Effects of Heavy Metals on the Aquatic Animal of Three Different Districts of West Bengal. J. Glob. Biosci. 2015, 4, 2504–2512. [Google Scholar]
- FAO. Milk and Dairy Products in Human Nutrition; Food Agriculture Organization of United Nations: Rome, Italy, 2013; pp. 1–344. [Google Scholar]
- Shailaja, M.; Reddy, Y.S.; Kalakumar BD, P.; Brinda, S.A.; Manohar, G.; Kumar, B.D. Lead and Trace Element Levels in Milk and Blood of Buffaloes (Bubalus bubalis) from Hyderabad, India. Bull. Environ. Contam. Toxicol. 2014, 92, 698–702. [Google Scholar] [CrossRef] [PubMed]
- Debashis, R.; Bharathidhasan, S.; Mani, V.; Kaur, H.; Kewalramani, N. Heavy Metal Contents in Cow and Buffalo Milk Samples from Haryana. India. J. Anim. Nutr. 2009, 26, 29–33. [Google Scholar]
- Fosmire, G.J. Zinc Toxicity. Am. J. Clin. Nutr. 1990, 51, 225–227. [Google Scholar] [CrossRef] [PubMed]
- Reimann, C.; de Caritat, P.; Niskavaara, H.; Finne, T.E.; Kashulina, G.; Pavlov, V.A. Comparison of Elemental Contents in O-and C-horizon Soils from the Surroundings of Nickel, Kola Peninsula, using Different Grain Size Fractions and Extractions. Geoderma 1998, 84, 65–87. [Google Scholar] [CrossRef]
- Yongming, H.; Peixuan, D.; Junji, C.; Posmentier, E.S. Multivariate Analysis of Heavy Metal Contamination in Urban Dusts of Xi’an, Central China. Sci. Total Environ. 2006, 355, 176–186. [Google Scholar] [CrossRef]
- Greenwood, N.N.; Earnshaw, A. Chemistry of the Elements; Chapter 10; Pergamon Press: Oxford, UK, 1984; p. 435. [Google Scholar]
- Garba, S.T.; Abubakar, M.A. Source and Distribution of the Heavy Metals: Pb, Cd, Cu, Zn, Fe, Cr, and Mn in soils of Bauchi Metropolis, Nigeria. Am. J. Eng. Res. 2018, 7, 13–23. [Google Scholar]
- Huhn, G.; Schulz, H.; Stärk, H.J.; Tölle, R.; Schüürmann, G. Evaluation of Regional Heavy Metal Deposition by Multivariate Analysis of Element Contents in Pine Tree Barks. Water Air Soil Pollut. 1995, 84, 367–383. [Google Scholar] [CrossRef]
- Lasat, M.M. The Use of Plants for the Removal of Toxic Metals from Contaminated Soils; US Environmental Protection Agency: Washington, DC, USA, 2000; pp. 1–33.
- Raven, J. John. Hugh Court. In Raven’s Progressive Matrices and Vocabulary Scales; Oxford psychologists Press: Oxford, UK, 1998; Volume 759. [Google Scholar]
- Basta, N.T.; Ryan, J.A.; Chaney, R.L. Trace Element Chemistry in Residual-Treated Soil: Key Concepts and Metal Bioavailability. J. Environ. Qual. 2005, 34, 49–63. [Google Scholar] [CrossRef]
- Sumner, M. Risk Factors in Enterprise-wide/ERP Projects. J. Inf. Technol. 2000, 15, 317–327. [Google Scholar] [CrossRef]
- Chaney, R.L.; Oliver, D.P. Sources, potential adverse effects, and remediation of agricultural soil contaminants. In Contaminants and the Soil Environment in the Australasia-Pacific Region; Springer: Dordrecht, The Netherlands, 1996; pp. 323–359. [Google Scholar]
- Devolder, P.; Princep, M.B.; Fabian, I.D. Stochastic Optimal Control of Annuity Contracts. Insur. Math. Econ. 2003, 33, 227–238. [Google Scholar] [CrossRef]








| Month | Sampling Sites | Cd | Cr | Ni | Pb | Zn | |||||
|---|---|---|---|---|---|---|---|---|---|---|---|
| Home | Shop | Home | Shop | Home | Shop | Home | Shop | Home | Shop | ||
| June | Mirpur | 0.900 | 1.500 | BDL | BDL | 20.00 | 2.050 | 2.500 | 13.650 | 0.200 | 0.600 |
| Damtoor | 0.550 | 1.000 | BDL | BDL | 9.050 | 6.250 | BDL | 0.100 | 0.300 | 0.450 | |
| Civil Officer Colony | 1.350 | 0.800 | 63.55 | BDL | 6.150 | 3.550 | BDL | BDL | 0.300 | 0.100 | |
| Bilal Town | 1.200 | 1.400 | BDL | BDL | 1.050 | 9.400 | BDL | BDL | 0.200 | 0.100 | |
| Malik Pura | 1.550 | 1.300 | 82.85 | BDL | 5.550 | 5.400 | BDL | BDL | 0.100 | 0.100 | |
| Kehal | 1.050 | 1.700 | 12.90 | BDL | 0.450 | 2.550 | BDL | 1.500 | BDL | BDL | |
| Sheik ul Bandi | 1.200 | 0.900 | BDL | BDL | BDL | 2.450 | 2.200 | 2.250 | BDL | BDL | |
| Nawan Sher | 1.050 | 0.950 | BDL | 9.250 | BDL | 1.550 | BDL | BDL | BDL | BDL | |
| Supply | 1.150 | 1.250 | 78.95 | 101.6 | 5.700 | 4.150 | BDL | BDL | BDL | 0.050 | |
| Naryian | 1.200 | 1.300 | 18.55 | BDL | 8.950 | 5.000 | 0.750 | BDL | BDL | 0.200 | |
| Jangi Syedan | 2.100 | 1.500 | 26.95 | 27.95 | 2.550 | BDL | 0.550 | BDL | 0.150 | 0.050 | |
| Jinnah Abad | 1.200 | 1.600 | 38.05 | 11.35 | BDL | 4.050 | 3.600 | 0.500 | BDL | 0.100 | |
| Kaghan Colony | 1.550 | 1.450 | 38.35 | 54.75 | 2.400 | 3.750 | BDL | BDL | 38.35 | 1.000 | |
| Mean | 1.235 | 1.281 | 45.02 | 40.97 | 6.185 | 4.179 | 1.920 | 3.600 | 5.657 | 0.275 | |
| SE | 0.330 | 0.355 | 15.92 | 18.32 | 1.865 | 1.206 | 0.859 | 1.610 | 2.138 | 0.087 | |
| July | Mirpur | 0.750 | 0.950 | 102.8 | 90.95 | BDL | 21.20 | 92.40 | BDL | 4.000 | 1.250 |
| Damtoor | 0.950 | 1.100 | 40.00 | 48.35 | 1.350 | 6.800 | 162.8 | 234.1 | 4.100 | 4.450 | |
| Civil Officer Colony | 0.800 | 1.400 | 94.30 | 21.60 | 5.800 | 1.150 | BDL | 8.900 | 3.600 | 2.700 | |
| Bilal Town | 1.750 | 2.100 | BDL | BDL | 4.850 | 8.000 | 39.55 | BDL | 3.250 | 3.150 | |
| Malik Pura | 1.900 | 2.200 | BDL | BDL | 5.350 | BDL | BDL | 293.1 | 1.300 | 6.550 | |
| Kehal | 2.150 | 2.400 | BDL | BDL | 10.75 | 15.85 | BDL | BDL | 1.750 | 3.000 | |
| Sheik ul Bandi | 2.550 | 2.900 | BDL | 896.5 | 7.400 | 12.45 | 214.7 | 270.2 | 2.950 | 3.350 | |
| Nawan Sher | 2.950 | 2.900 | BDL | BDL | 9.950 | 314.7 | 312.1 | 3.400 | 3.000 | ||
| Supply | 3.000 | 3.250 | BDL | BDL | BDL | BDL | BDL | 346.4 | 2.350 | 3.050 | |
| Naryian | 3.250 | 3.350 | BDL | BDL | 5.650 | BDL | 76.50 | 2.650 | 1.550 | ||
| Jangi Syedan | 3.100 | 3.550 | BDL | BDL | BDL | BDL | BDL | 90.55 | 1.300 | 1.850 | |
| Jinnah Abad | 3.350 | 3.250 | BDL | BDL | BDL | BDL | BDL | 1.050 | 2.250 | ||
| Kaghan Colony | 3.450 | BDL | BDL | BDL | BDL | BDL | BDL | 180.3 | 3.500 | 2.450 | |
| Mean | 2.145 | 2.446 | 79.03 | 264.4 | 6.388 | 10.91 | 150.1 | 216.9 | 2.518 | 2.921 | |
| SE | 0.595 | 0.678 | 21.92 | 73.32 | 1.772 | 3.025 | 41.63 | 60.17 | 0.698 | 0.810 | |
| August | Mirpur | 0.250 | 0.600 | 45.10 | 9.950 | BDL | BDL | BDL | BDL | 3.500 | 3.850 |
| Damtoor | 0.500 | 0.250 | 19.85 | 7.100 | BDL | BDL | BDL | BDL | 3.450 | 8.600 | |
| Civil Officer Colony | 0.600 | 0.550 | 2.750 | 18.10 | BDL | BDL | BDL | BDL | 2.400 | 3.000 | |
| Bilal Town | 0.450 | 0.550 | 41.55 | BDL | BDL | BDL | BDL | BDL | 3.000 | 11.650 | |
| Malik Pura | 0.700 | 0.500 | 27.40 | 28.75 | BDL | BDL | BDL | BDL | 1.650 | 2.000 | |
| Kehal | 0.550 | 0.400 | BDL | 8.500 | BDL | BDL | BDL | BDL | 1.650 | 5.400 | |
| Sheik ul Bandi | 0.400 | 0.700 | 2.450 | BDL | BDL | BDL | BDL | BDL | 2.600 | 3.650 | |
| Nawan Sher | 0.200 | 0.150 | BDL | BDL | BDL | BDL | BDL | BDL | 1.950 | 2.550 | |
| Supply | 0.500 | 0.500 | BDL | BDL | BDL | BDL | BDL | BDL | 1.700 | 7.800 | |
| Naryian | 0.500 | 0.400 | BDL | 2.350 | BDL | BDL | BDL | BDL | 1.800 | 2.000 | |
| Jangi Syedan | 0.400 | 0.200 | BDL | 26.00 | BDL | BDL | BDL | BDL | 1.900 | 8.600 | |
| Jinnah Abad | 0.600 | 0.550 | BDL | BDL | BDL | BDL | BDL | BDL | 1.450 | 7.400 | |
| Kaghan Colony | 0.700 | 0.600 | BDL | BDL | BDL | BDL | BDL | 14.00 | 1.000 | 5.300 | |
| Mean | 0.488 | 0.458 | 23.183 | 14.393 | 14.00 | 2.158 | 5.523 | ||||
| SE | 0.135 | 0.127 | 6.430 | 5.876 | 4.041 | 0.598 | 1.532 | ||||
| September | Mirpur | BDL | BDL | 81.25 | 65.90 | 5.100 | 27.20 | 10.40 | 7.700 | 2.450 | 0.850 |
| Damtoor | BDL | BDL | 75.55 | 71.75 | 10.15 | 9.800 | 7.550 | 5.300 | 1.750 | 0.400 | |
| Civil Officer Colony | BDL | BDL | 63.15 | 65.65 | 10.25 | 12.55 | 7.800 | 6.750 | 4.150 | 2.800 | |
| Bilal Town | BDL | BDL | 86.95 | 69.65 | 11.50 | 9.300 | 11.05 | 5.250 | 2.450 | 2.400 | |
| Malik Pura | BDL | BDL | 81.60 | 75.80 | 4.900 | 10.50 | 10.45 | 9.250 | 2.550 | 3.000 | |
| Kehal | BDL | BDL | 94.55 | 80.55 | 8.350 | 11.95 | 5.150 | BDL | 4.650 | 0.950 | |
| Sheik ul Bandi | BDL | BDL | 90.65 | 82.75 | 12.45 | 6.050 | 5.350 | 8.300 | 0.900 | 1.850 | |
| Nawan Sher | BDL | BDL | 94.40 | 104.8 | 6.200 | 12.90 | 8.950 | 6.550 | 0.900 | 0.600 | |
| Supply | BDL | BDL | 90.70 | 90.05 | 5.600 | 7.300 | 4.350 | 3.950 | 0.850 | 1.550 | |
| Naryian | BDL | BDL | 94.40 | 95.95 | 12.75 | 12.50 | 2.200 | 3.450 | 0.350 | 0.700 | |
| Jangi Syedan | BDL | BDL | 99.65 | 103.1 | 23.30 | 19.95 | BDL | 6.050 | 1.600 | 0.950 | |
| Jinnah Abad | BDL | BDL | 93.90 | 100.8 | 15.20 | 21.80 | BDL | BDL | 1.600 | 1.150 | |
| Kaghan Colony | BDL | BDL | 118.8 | 108.4 | 18.65 | 16.75 | 9.950 | 7.900 | 4.800 | 3.050 | |
| Mean | 89.65 | 85.78 | 11.11 | 13.73 | 7.564 | 6.405 | 2.231 | 1.558 | |||
| SE | 24.87 | 23.79 | 3.081 | 3.809 | 5.348 | 4.529 | 0.619 | 0.432 | |||
| October | Mirpur | 0.950 | 2.050 | 49.35 | 160.8 | 18.35 | 6.80 | 18.35 | 11.55 | 55.50 | 26.40 |
| Damtoor | 0.150 | 0.100 | 65.30 | 89.00 | 17.90 | 9.60 | 17.90 | 15.65 | 72.70 | 65.95 | |
| Civil Officer Colony | BDL | 1.750 | 142.1 | 127.7 | 14.90 | 8.30 | 14.90 | 22.50 | 63.05 | 59.55 | |
| Bilal Town | BDL | BDL | 191.0 | 130.8 | 14.50 | 12.50 | 14.50 | 17.60 | 65.85 | 65.50 | |
| Malik Pura | 1.250 | 0.850 | 214.3 | 147.5 | 27.70 | 16.95 | 27.70 | 18.30 | 76.00 | 66.00 | |
| Kehal | 0.600 | 0.950 | 161.5 | 108.3 | 29.20 | 17.70 | 29.20 | 31.55 | 78.40 | 46.00 | |
| Sheik ul Bandi | 1.850 | 1.400 | 74.20 | 143.0 | 16.40 | 18.90 | 16.40 | 26.30 | 57.10 | 59.25 | |
| Nawan Sher | 3.100 | 1.500 | 48.45 | 85.70 | 18.55 | 24.30 | 18.55 | 25.25 | 47.05 | 67.55 | |
| Supply | 1.450 | 1.850 | 86.85 | 2.55 | 21.20 | 19.85 | 21.20 | 31.85 | 45.45 | 44.70 | |
| Naryian | 2.750 | 3.300 | 160.4 | 13.80 | 23.30 | 23.40 | 23.30 | 26.45 | 30.95 | 56.65 | |
| Jangi Syedan | 2.300 | 1.650 | 75.00 | 69.55 | 24.95 | 16.15 | 24.95 | 24.65 | 69.75 | 55.40 | |
| Jinnah Abad | 1.750 | 1.950 | BDL | BDL | 43.15 | 19.90 | 43.15 | 22.30 | BDL | 50.55 | |
| Kaghan Colony | 1.650 | 1.100 | 63.55 | 116.7 | 23.15 | 25.75 | 33.15 | 39.50 | 41.45 | 47.20 | |
| Mean | 1.618 | 1.538 | 111.0 | 101.3 | 22.56 | 16.93 | 22.34 | 24.11 | 58.60 | 54.67 | |
| SE | 0.488 | 0.444 | 32.04 | 28.09 | 6.256 | 4.696 | 6.469 | 6.687 | 16.92 | 15.16 | |
| Sites | Variables | Cd | Cr | Ni | Pb | Zn |
|---|---|---|---|---|---|---|
| Home | Cd | 1.000 | −0.298 | 0.236 | 0.715 * | 0.345 |
| Cr | 1.000 | 0.843 * | −0.536 | 0.701 * | ||
| Ni | 1.000 | −0.056 | 0.884 * | |||
| Pb | 1.000 | −0.137 | ||||
| Zn | 1.000 | |||||
| Shop | Cd | 1.000 | 0.941 * | 0.241 | 0.834 * | 0.054 |
| Cr | 1.000 | 0.199 | 0.943 * | −0.005 | ||
| Ni | 1.000 | 0.004 | 0.694 | |||
| Pb | 1.000 | −0.163 | ||||
| Zn | 1.000 |
| Samples | HMs | June | July | August | September | October | |
|---|---|---|---|---|---|---|---|
| Home milk samples | Adults | Cd | 0.003 | 0.005 | 0.001 | 0.000 | 0.003 |
| Cr | 0.095 | 0.005 | 0.050 | 0.192 | 0.238 | ||
| Ni | 0.013 | 0.014 | 0.000 | 0.024 | 0.048 | ||
| Pb | 0.004 | 0.322 | 0.000 | 0.016 | 0.048 | ||
| Zn | 0.012 | 0.005 | 0.005 | 0.005 | 0.126 | ||
| Children | Cd | 0.022 | 0.035 | 0.008 | 0.000 | 0.027 | |
| Cr | 0.731 | 0.040 | 0.383 | 1.479 | 1.832 | ||
| Ni | 0.101 | 0.105 | 0.000 | 0.183 | 0.372 | ||
| Pb | 0.032 | 2.477 | 0.000 | 0.125 | 0.368 | ||
| Zn | 0.093 | 0.042 | 0.036 | 0.037 | 0.967 | ||
| Shop milk samples | Adults | Cd | 0.003 | 0.005 | 0.001 | 0.000 | 0.003 |
| Cr | 0.088 | 0.566 | 0.031 | 0.184 | 0.217 | ||
| Ni | 0.009 | 0.023 | 0.000 | 0.029 | 0.036 | ||
| Pb | 0.008 | 0.465 | 0.030 | 0.014 | 0.052 | ||
| Zn | 0.001 | 0.006 | 0.012 | 0.003 | 0.117 | ||
| Children | Cd | 0.021 | 0.040 | 0.008 | 0.000 | 0.025 | |
| Cr | 0.676 | 4.362 | 0.237 | 1.415 | 1.671 | ||
| Ni | 0.069 | 0.180 | 0.000 | 0.227 | 0.279 | ||
| Pb | 0.059 | 3.579 | 0.231 | 0.106 | 0.398 | ||
| Zn | 0.005 | 0.048 | 0.091 | 0.026 | 0.902 |
Publisher’s Note: MDPI stays neutral with regard to jurisdictional claims in published maps and institutional affiliations. |
© 2022 by the authors. Licensee MDPI, Basel, Switzerland. This article is an open access article distributed under the terms and conditions of the Creative Commons Attribution (CC BY) license (https://creativecommons.org/licenses/by/4.0/).
Share and Cite
Rafiq, A.; Shah, M.H.; Mohany, M.; Tahir, A.A.; Elsadek, M.F.; Qayyum, M.A.; Abbasi, A.M. Evaluation of Potentially Toxic Trace Metals and Associated Health Risk Assessment in Buffalo Milk. Int. J. Environ. Res. Public Health 2022, 19, 14678. https://doi.org/10.3390/ijerph192214678
Rafiq A, Shah MH, Mohany M, Tahir AA, Elsadek MF, Qayyum MA, Abbasi AM. Evaluation of Potentially Toxic Trace Metals and Associated Health Risk Assessment in Buffalo Milk. International Journal of Environmental Research and Public Health. 2022; 19(22):14678. https://doi.org/10.3390/ijerph192214678
Chicago/Turabian StyleRafiq, Aqsa, Munir H. Shah, Mohamed Mohany, Adnan Ahmad Tahir, Mohamed Farouk Elsadek, Muhammad Abdul Qayyum, and Arshad Mehmood Abbasi. 2022. "Evaluation of Potentially Toxic Trace Metals and Associated Health Risk Assessment in Buffalo Milk" International Journal of Environmental Research and Public Health 19, no. 22: 14678. https://doi.org/10.3390/ijerph192214678
APA StyleRafiq, A., Shah, M. H., Mohany, M., Tahir, A. A., Elsadek, M. F., Qayyum, M. A., & Abbasi, A. M. (2022). Evaluation of Potentially Toxic Trace Metals and Associated Health Risk Assessment in Buffalo Milk. International Journal of Environmental Research and Public Health, 19(22), 14678. https://doi.org/10.3390/ijerph192214678

