Effect Mechanism Research of Carbon Price Drivers in China—A Case Study of Shenzhen
Abstract
:1. Introduction
2. Literature Review
3. Identification of Carbon Price Drivers
3.1. Methodology
3.2. Carbon Price Drivers
3.3. Identification of Key Drivers
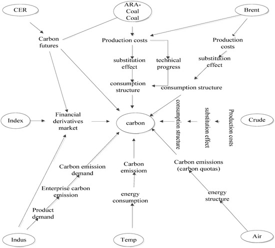
4. Effect Mechanism of Driving Factors
4.1. Indicators
- (1)
- Carbon Price
- (2)
- Energy Prices
- (3)
- Financial Market Prosperity
- (4)
- Domestic Industrial Development Level
- (5)
- Climate Change
4.2. Effect Mechanism
4.3. Mechanism Analytic Model
+ α5Crudet + α6Indust + α7Indext+ α8Airt + α9Tempt + ε
5. Empirical Analysis
5.1. Data Sources
5.2. Descriptive Statistics
5.3. Johansen Cointegration Test
5.4. Granger Causality Test
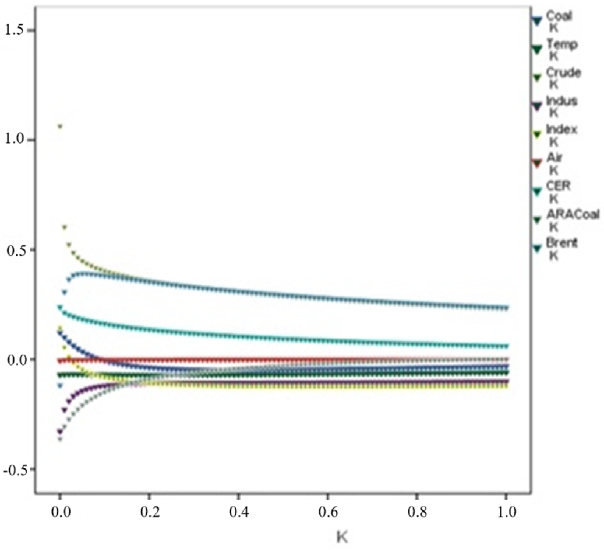
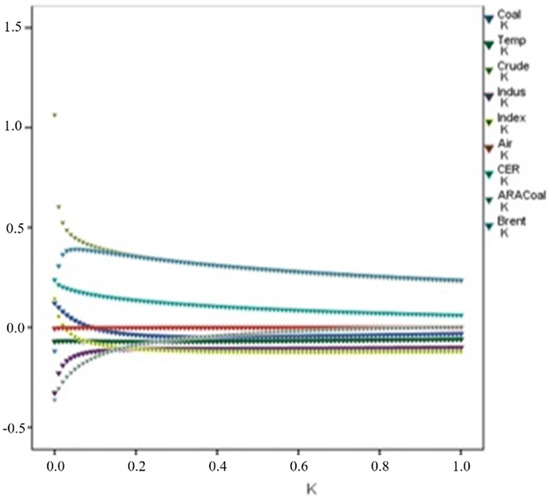
5.5. Ridge Regression Estimation
6. Results and Discussion
6.1. Empirical Results
6.2. Equilibrium Carbon Price
− 0.03278454 ∗ Air − 0.20011181 ∗ ARA-Coal − 0.2618561 ∗ Brent
+ 0.00304198 ∗ Index + 0.00235551 ∗Indus − 2.6645335 ∗ Temp + 34.16795176
= 17.90157308 ∗ C2 − 0.00115989 ∗ F2 − 0.26584276 ∗ I2 − 0.03278454 ∗
H2-0.20011181 ∗ D2 − 0.2618561 ∗ E2 + 0.00304198 ∗ K2+0.00235551 ∗ J2 − 2.6645335 ∗ G2
6.3. Analysis of Driving Path System
7. Conclusions and Recommendations
7.1. Conclusions
7.2. Policy Recommendations
Author Contributions
Funding
Institutional Review Board Statement
Informed Consent Statement
Data Availability Statement
Conflicts of Interest
References
- Weng, Q.Q.; Xu, H. A review of China’s carbon trading market. Renew. Sustain. Energy Rev. 2018, 91, 613–619. [Google Scholar] [CrossRef]
- Chen, X.H.; Wang, Z.Y. Empirical Research on Price Impact Factor of Carbon Emission Exchange: Evidence from EU ETS. Syst. Eng. 2012, 30, 53–60. [Google Scholar]
- Yu, Z.J.; Geng, Y.; Dai, H.; Wu, R.; Liu, Z.; Tian, X.; Bleischwitz, R. A general equilibrium analysis on the impacts of regional and sectoral emission allowance allocation at carbon trading market. J. Clean. Prod. 2018, 192, 421–432. [Google Scholar] [CrossRef]
- Tang, B.J.; Shen, C.; Zhao, Y.F. Market risk in carbon market: An empirical analysis of the EUA and sCER. Nat. Hazards 2015, 75, 333–346. [Google Scholar] [CrossRef]
- Creti, A.; Jouvet, P.A.; Mignon, V. Carbon price drivers: Phase I versus Phase II equilibrium. Energy Econ. 2012, 34, 327–334. [Google Scholar] [CrossRef]
- Liu, J.P.; Zhang, X.B.; Song, X.H. Regional Carbon Emission Evolution Mechanism and Its Prediction Approach Driven by Carbon Trading—A Case Study of Beijing. J. Clean. Prod. 2018, 172, 2793–2810. [Google Scholar] [CrossRef]
- Chevallier, J. Carbon futures and macroeconomic risk factors: A view from the EU ETS. Energy Econ. 2009, 31, 614–625. [Google Scholar] [CrossRef]
- Zou, S.H.; Zhang, T. Dynamic relationship between international carbon futures prices and domestic carbon prices. J. Shandong Univ. (Sci. Ed.) 2018, 53, 70–79. [Google Scholar]
- Zhu, B.; Chevallier, J.; Ma, S.; Wei, Y. Examining the structural changes of European carbon futures price 2002–2012. Appl. Econ. Lett. 2017, 22, 335–342. [Google Scholar] [CrossRef]
- Wang, Z.H.; Hu, B. Analysis of the Influencing Factors of the Transaction Price of China’s Carbon Emission Rights. Ind. Technol. Econ. 2018, 37, 128–136. [Google Scholar]
- Ma, H.M.; Zhao, J.Q. Empirical Analysis on the Influencing Factors of the Transaction Price of Carbon Emission Rights Based on the Data of Beijing Carbon Emission Exchange. Mon. J. Financ. Account. 2016, 29, 22–26. [Google Scholar]
- Zhao, L.X.; Hu, C. Study on the Influencing Factors of Transaction Price of Carbon Emission Rights in China: Empirical Analysis Based on Structural Equation Model. Price Theory Pract. 2016, 7, 101–104. [Google Scholar]
- Alberola, E.; Chevallier, J.; Chèze, B. Price drivers and structural breaks in European carbon prices 2005–2007. Energy Policy 2008, 36, 787–797. [Google Scholar] [CrossRef]
- Zhang, Y.J.; Wei, Y.M. An Empirical Study on the Dynamic Impact of the Fossil Energy Market on the International Carbon Market. Manag. Rev. 2010, 22, 34–41. [Google Scholar]
- Zhang, Y.J.; Wei, Y.M. Mean Regression of International Carbon Futures Prices: Empirical Analysis Based on EU ETS. Syst. Eng. Theory Pract. 2011, 31, 214–220. [Google Scholar]
- Zhu, B.Z.; Wang, P.; Wei, Y.M. Multiscale Analysis of Influencing Factors of Carbon Market Price Based on EMD. Econ. Dyn. 2012, 6, 92–97. [Google Scholar]
- Qi, S.Z.; Zhao, X.; Tan, X.J. Research on the price formation mechanism of China’s carbon market based on EEMD model. J. Wuhan Univ. (Philos. Soc. Sci. Ed.) 2015, 68, 56–65. [Google Scholar]
- Fan, J.H.; Todorova, N. Dynamics of China’s carbon prices in the pilot trading phase. Appl. Energy 2017, 208, 1452–1467. [Google Scholar] [CrossRef]
- Zhao, X.L.; Zou, Y.; Yin, J.L.; Fan, X.H. Cointegration relationship between carbon price and its factors: Evidence from structural breaks analysis. Energy Procedia 2017, 142, 2503–2510. [Google Scholar] [CrossRef]
- Wang, K.; Chen, M. Review and Prospect of China’s Carbon Trading Market. J. Beijing Univ. Technol. (Soc. Sci. Ed.) 2018, 20, 24–31. [Google Scholar]
- Zhang, J.; Sun, L.H.; Xing, Z.C. Study on price volatility of China’s carbon emissions trading market—Data analysis based on the trading price of six pilot carbon emissions markets in Shenzhen, Beijing and Shanghai. Price Theory Pract. 2018, 1, 62–65. [Google Scholar]
- Zhang, Y. Study on the Driving Factors of China’s Carbon Transaction Price: Based on the Dual Perspectives of Market Fundamentals and Policy Information. J. Soc. Sci. 2018, 1, 111–120. [Google Scholar]
- Boeters, S. Optimally differentiated carbon prices for unilateral climate policy. Energy Econ. 2014, 45, 304–312. [Google Scholar] [CrossRef]
- Michael, J. Can carbon pricing jointly promote climate change mitigation and human development in Peru. Energy Sustain. Dev. 2018, 44, 87–96. [Google Scholar]
- Zeng, S.H.; Nan, X.; Liu, C.; Chen, J. The response of the Beijing carbon emissions allowance price (BJC) to macroeconomic and energy price indices. Energy Policy 2017, 106, 111–121. [Google Scholar] [CrossRef]
- Zhang, Y.J.; Wang, A.D.; Tan, W. The impact of China’s carbon allowance allocation rules on the product prices and emission reduction behaviors of ETS-covered enterprises. Energy Policy 2015, 86, 176–185. [Google Scholar] [CrossRef]
- He, Y.D.; Lin, B.Q. Time-varying effects of cyclical fluctuations in China’s energy industry on the macro economy and carbon emissions. Energy 2018, 155, 1102–1112. [Google Scholar] [CrossRef]
- Liu, Q.; Zheng, X.Q.; Zhao, X.C.; Chen, Y.; Lugovoy, O. Carbon emission scenarios of China’s power sector: Impact of controlling measures and carbon pricing mechanism. Adv. Clim. Change Res. 2018, 9, 27–33. [Google Scholar] [CrossRef]
- Ji, Q.; Zhang, D.Y.; Geng, J.B. Information linkage, dynamic spillovers in prices and volatility between the carbon and energy markets. J. Clean. Prod. 2018, 198, 972–978. [Google Scholar] [CrossRef]
- Zhao, L.T.; He, L.Y.; Cheng, L.; Zeng, G.R.; Huang, Z. The effect of gasoline consumption tax on consumption and carbon emissions during a period of low oil prices. J. Clean. Prod. 2018, 171, 1429–1436. [Google Scholar] [CrossRef]
- Zhao, X.; Han, M.; Ding, L.; Kang, W. Usefulness of economic and energy data at different frequencies for carbon price forecasting in the EU ETS. Appl. Energy 2018, 216, 132–141. [Google Scholar] [CrossRef]
- Sun, C. The spillover effect of price fluctuations in China’s carbon market and EU carbon market. Ind. Technol. Econ. 2018, 3, 97–105. [Google Scholar]
- Liu, L.; Zhang, R.R. Study on the Impact of Price Fluctuation in International Carbon Market on China’s Carbon Market-Based on the Perspective of European Union Carbon Market. China Foreign Energy 2015, 20, 7–12. [Google Scholar]
- Fang, G.; Tian, L.; Liu, M.; Fu, M.; Sun, M. How to optimize the development of carbon trading in China-Enlightenment from evolution rules of the EU carbon price. Appl. Energy 2018, 211, 1039–1049. [Google Scholar] [CrossRef]
- Renner, M. Carbon prices and CCS investment: A comparative study between the European Union and China. Energy Policy 2014, 75, 327–340. [Google Scholar] [CrossRef] [Green Version]
- Lv, R.Y.; Liao, J.Y.; Shi, Z.N.; Qu, Y.Y.; Yang, J.F. Research on the Impact of R&D Investment and Carbon Emissions on Carbon Trading Prices-Taking the Carbon Market in Hubei Province as an example. Territ. Nat. Resour. Study 2020, 1, 79–81. [Google Scholar]
- Xu, L.; Deng, S.J.; Thomas, V.M. Carbon emission permit price volatility reduction through financial options. Energy Econ. 2016, 53, 248–260. [Google Scholar] [CrossRef]
- Deng, G.Y.; Han, J.; Zhang, Z.J. Dynamic Evolution of Carbon Emissions from Industrial Structure Upgrading, International Trade and Energy Consumption. Soft Sci. 2018, 32, 35–38, 48. [Google Scholar]
- Zhang, Y.; Zhang, S.F. The impacts of GDP, trade structure, exchange rate and FDI inflows on China’s carbon emissions. Energy Policy 2018, 120, 347–353. [Google Scholar] [CrossRef]
- Xu, H.; Lai, X.; Shan, P.; Yang, Y.; Zhang, S.; Yan, B.; Zhang, Y.; Zhang, N. Energy dissimilation characteristics and shock mechanism of coal-rock mass induced in steeply-inclined mining: Comparison based on physical simulation and numerical calculation. Acta Geotech. 2022. [Google Scholar] [CrossRef]






| Driving Factors | Main Empirical Literature | The Specific Role of Driving Factors |
|---|---|---|
| Politics and system | Alberola and Chevallier [13], Chen Xiaohong and Wang Zhengyun, Wang Zhonghua and Hu Biao, Zhao Lixiang and Hu Can [2,10,12] | Global governance responsibilities and political and legal systems can affect climate change response policies and then affect carbon prices, but the impact on carbon price is long term and mutative (once a political act and law is implemented, carbon prices will jump, and when the market absorbs its information, the impact on carbon price volatility is becoming weaker). |
| Climate factors | Alberola and Chevallier [13], Boeters [23], Michael Jakob [24] | Climate factors play an important role in the change in carbon prices. Extreme weather changes, whether overcooled or overheated, will lead to increased use of coal, natural gas, and other resources, resulting in carbon emissions, thereby raising carbon prices. |
| Carbon quota | ShihongZenga [25], Zhang Y J and Wang A D [26] | The carbon quota is an important supply factor; unreasonable allocation of carbon quota will also reduce the activity of the carbon market; intertemporal reserve will also affect carbon prices. |
| Macroeconomy | Yongda He and Boqiang Lin [27], Qiang Liu and Xiaoqi Zheng [28] | When the macro-economy is in the upstream cycle, especially the development of the industrial economy, the demand for products in the market increases, and the demand for carbon emission quotas in enterprises increases, so the carbon price rises; on the contrary, the carbon price falls. |
| Energy price | Zhang Yuejun and Wei Yiming, Qiang Ji and Dayong Zhang [29], Lutao Zhao and Lingyun He [30], Xin Zhao and Eng Han [31] | Energy price is the main influencing factor of carbon emission price, especially Brent oil price in the European market and coal price in the Chinese market. |
| International carbon future price | Zou Shaohui and Zhang Tian [8], Zhang Yuejun and Wei Yiming [15], Sun Chun [32] | There is a long-term stable relationship between international carbon futures price and domestic carbon price, showing an obvious one-way causality, and the domestic carbon market is relatively fragile and in a passive position. |
| International carbon price | Liu Ling and Zhang Rongrong [33], Guochang Fang and Lixin Tian [34], Renner M [35] | As the largest supplier of carbon emission rights in the world, to a great extent, China’s carbon emission exchange depends on the major international carbon markets, in which the EU carbon trading market is the most important carbon market; the fluctuation and decline in the international carbon price affect the trend of China’s carbon price to a certain extent and cause the same direction change in China’s carbon price. There is a long-term equilibrium relationship between EUA and CCER, but CCER is in a passive position. |
| Variable Description | Indicator Description | Variable Abbreviation | Data Sources | Unit |
|---|---|---|---|---|
| Carbon price drivers in the international market | Futures settlement price (continuous): certified emission reduction | CER | European Climate Exchange | Euro/ton carbon dioxide equivalent |
| Thermal coal price of ARA port in Europe | ARA-coal | WIND database | Dollar/ton | |
| The spot price of Brent oil in England | Brent | WIND database | Dollar/barrel | |
| Carbon price drivers in the domestic market | Qinhuangdao port thermal coal (Q5500) market price | Coal | Steel house | Yuan/ton |
| The average temperature in Shenzhen | Temp | WIND database | Centigrade | |
| The spot price of Pacific Rim crude oil (China’s victory) | Crude | WIND database | Dollar/barrel | |
| CSI industrial index | Indus | Sina Finance | Spot | |
| Shenwan 300 index | Index | Shanghai Shenyin Wanguo Securities Institute | Spot | |
| Shenzhen air quality comprehensive index | Air | Ministry of Environmental Protection | / |
| Variables | Mean | Max | Min | Std. dev | Skew | Kurt | N |
|---|---|---|---|---|---|---|---|
| Carbon | 31.8899 | 88.45 | 3.12 | 17.5178 | 1.0119 | 4.1205 | 1406 |
| CER | 0.2774 | 0.68 | 0.01 | 0.1293 | 0.42155 | 3.2271 | 1406 |
| Coal | 541.1145 | 1042.5 | 370.00 | 94.4871 | 0.3661 | 5.6631 | 1406 |
| Crude | 57.4297 | 110.36 | 19.7 | 20.4047 | 0.8852 | 3.4112 | 1406 |
| Air | 54.867 | 180 | 19 | 23.401 | 1.3193 | 6.61946 | 1406 |
| ARA-coal | 68.035 | 104.13 | 37.00 | 16.644 | 0.3595 | 1.9690 | 1406 |
| Brent | 62.1339 | 115.3 | 14.75 | 20.3564 | 0.9251 | 3.4302 | 1406 |
| Index | 2630.403 | 4238.02 | 1624.02 | 564.4532 | 0.4427 | 3.0698 | 1406 |
| Indus | 3089.496 | 6591.508 | 1935.967 | 778.2419 | 1.5037 | 6.6918 | 1406 |
| Temp | 0.3514 | 1 | 0 | 0.477663 | 0.622371 | 1.387345 | 1406 |
| Hypothesized No. of CE(s) | Eigenvalue | Trace | Max-Eigen |
|---|---|---|---|
| R ≤ 0 | 0.267993 | 567.9001 (≤0.001) | 302.9183 (0.0001) |
| R ≤ 1 | 0.091375 | 264.9818 (≤0.001) | 93.04386 (≤0.001) |
| R ≤ 2 | 0.057895 | 171.9379 (0.0088) | 57.90894 (0.0123) |
| R ≤ 3 | 0.04171 | 114.029 (0.2042) | 41.36939 (0.1515) |
| Null Hypothesis | F-Statistic | Prob. | Results |
|---|---|---|---|
| Carbon does not Granger cause Brent | 3.11621 | 0.0448 | Refused |
| Brent does not Granger cause carbon | 5.7497 | 0.0033 | refused |
| Crude does not Granger cause carbon | 6.26317 | 0.002 | Refused |
| Carbon does not Granger cause crude | 2.8023 | 0.0612 | refused |
| Temp does not Granger cause carbon | 0.25081 | 0.7782 | Accepted |
| Carbon does not Granger Cause Temp | 3.62069 | 0.0271 | Refused |
| Coal does not Granger Cause Carbon | 0.37359 | 0.6884 | Accepted |
| Carbon does not Granger Cause Coal | 2.85507 | 0.6884 | Accepted |
| The index does not Granger Cause Carbon | 2.40945 | 0.0904 | Refused |
| Carbon does not Granger Cause Index | 2.47555 | 0.0846 | Refused |
| Variables | Carbon | CER | Coal | Crude | Air | ARA-Coal | Brent | Index | Indus |
|---|---|---|---|---|---|---|---|---|---|
| CER | −0.05237 | 1 | ----- | ----- | ----- | ----- | ----- | ----- | ----- |
| (0.102) | |||||||||
| Coal | 0.173385 | −0.4201 | 1 | ----- | ----- | ----- | ----- | ----- | ----- |
| (≤0.001 ***) | (≤0.001 ***) | ----- | |||||||
| Crude | 0.814118 | −0.33387 | 0.38771 | 1 | ----- | ----- | ----- | ----- | ----- |
| (≤0.001 ***) | (≤0.001 ***) | (≤0.001 ***) | ----- | ||||||
| Air | 0.000665 | 0.014621 | 0.01044 | 0.00396 | 1 | ----- | ----- | ----- | ----- |
| (0.9834) | (0.6482) | (0.7447) | (0.9017) | ----- | |||||
| ARA-coal | 0.330979 | −0.344 | 0.87298 | 0.59407 | 0.00876 | 1 | ----- | ----- | ----- |
| (≤0.001 ***) | (≤0.001 ***) | (≤0.001 ***) | (≤0.001 ***) | (0.7846) | ----- | ||||
| Brent | 0.824797 | −0.30656 | 0.35446 | 0.99462 | −0.001385 | 0.56085 | 1 | ----- | ----- |
| (≤0.001 ***) | (≤0.001 ***) | (≤0.001 ***) | (≤0.001 ***) | (0.9655) | (≤0.001 ***) | ----- | |||
| Index | −0.61573 | 0.187584 | −0.28428 | −0.6188 | −0.00911 | −0.36215 | −0.6419 | 1 | ----- |
| (≤0.001 ***) | (≤0.001 ***) | (≤0.001 ***) | (≤0.001 ***) | (0.7762) | (≤0.001 ***) | (≤0.001 ***) | ----- | ||
| Indus | −0.56501 | 0.262155 | −0.36355 | −0.5782 | −0.008599 | −0.40212 | −0.5992 | 0.96962 | 1 |
| (≤0.001 ***) | (≤0.001 ***) | (≤0.001 ***) | (≤0.001 ***) | (0.7885) | (≤0.001 ***) | (≤0.001 ***) | (≤0.001 ***) | ----- | |
| Temp | −0.2136 | −0.21293 | −0.26105 | −0.2107 | 0.021213 | −0.32769 | −0.1964 | 0.00115 | −0.0633 |
| (≤0.001 ***) | (≤0.001 ***) | (≤0.001 ***) | (≤0.001 ***) | (0.508) | (≤0.001 ***) | (≤0.001 ***) | (0.9715) | (0.048 **) |
| Variables | Non-Standardized Coefficient | t-Statistic | p | VIF |
|---|---|---|---|---|
| CER | 26.25082 | 11.7337 | ≤0.001 | 1.711165 |
| Coal | 0.026536 | 3.245864 | 0.0012 | 5.963452 |
| Crude | 0.70063 | 5.931098 | ≤0.001 | 134.3242 |
| Air | −0.111718 | −0.342546 | 0.732 | 1.006403 |
| ARA-coal | −0.488859 | −8.960124 | ≤0.001 | 6.840569 |
| Brent | −0.081242 | −0.671511 | 0.5021 | 130.0989 |
| Index | 0.005298 | 1.857073 | 0.0636 | 24.8853 |
| Indus | −0.006457 | −4.241722 | ≤0.001 | 24.99086 |
| Temp | −2.675742 | −3.671472 | 0.3 | 1.515843 |
| C | 27.81306 | 5.989027 | ≤0.001 | ----- |
| R2 | 0.968842 | ------ | ----- | ----- |
| F-statistics | 356.9948 | ------ | ----- | ----- |
| p | ≤0.001 | ------ | ----- | ----- |
| Variables | Non-Standardized Coefficient | t-Statistic | p | VIF |
|---|---|---|---|---|
| Coal | −0.00115989 | 3.173 | 0.00151 *** | 1.567 |
| Temp | −2.6645335 | 3.719 | 0.2 | 1.246 |
| Crude | −0.26584276 | 8.208 | ≤0.001 *** | 1.078 |
| Indus | 0.00235551 | 4.223 | ≤0.001 *** | 0.621 |
| Index | 0.00304198 | 1.524 | 0.12756 | 0.873 |
| Air | −0.03278454 | 0.233 | ≤0.001*** | 1.963 |
| CER | 17.90157308 | 11.489 | ≤0.001 *** | 2.158 |
| ARA-coal | −0.20011181 | 8.728 | ≤0.001 *** | 0.9654 |
| Brent | −0.2618561 | 1.922 | 0.05466 * | 0.8765 |
| C | 34.16795176 | 3.362 | 0.023 ** | ----- |
| R2 | 0.869686414 | ----- | ----- | ----- |
| F-statistics | 333.1973346 | ----- | ----- | ----- |
| p | ≤0.001 | ----- | ----- | ----- |
Publisher’s Note: MDPI stays neutral with regard to jurisdictional claims in published maps and institutional affiliations. |
© 2022 by the authors. Licensee MDPI, Basel, Switzerland. This article is an open access article distributed under the terms and conditions of the Creative Commons Attribution (CC BY) license (https://creativecommons.org/licenses/by/4.0/).
Share and Cite
Chen, J.; Zhang, J. Effect Mechanism Research of Carbon Price Drivers in China—A Case Study of Shenzhen. Int. J. Environ. Res. Public Health 2022, 19, 10876. https://doi.org/10.3390/ijerph191710876
Chen J, Zhang J. Effect Mechanism Research of Carbon Price Drivers in China—A Case Study of Shenzhen. International Journal of Environmental Research and Public Health. 2022; 19(17):10876. https://doi.org/10.3390/ijerph191710876
Chicago/Turabian StyleChen, Jiongwen, and Jinsuo Zhang. 2022. "Effect Mechanism Research of Carbon Price Drivers in China—A Case Study of Shenzhen" International Journal of Environmental Research and Public Health 19, no. 17: 10876. https://doi.org/10.3390/ijerph191710876
APA StyleChen, J., & Zhang, J. (2022). Effect Mechanism Research of Carbon Price Drivers in China—A Case Study of Shenzhen. International Journal of Environmental Research and Public Health, 19(17), 10876. https://doi.org/10.3390/ijerph191710876
