Polycyclic Aromatic Hydrocarbons in Soil at Different Depths under a Long-Term Experiment Depending on Fertilization
Abstract
:1. Introduction
2. Materials and Methods
2.1. Description of the Field Experiment
2.2. Statistical Calculations
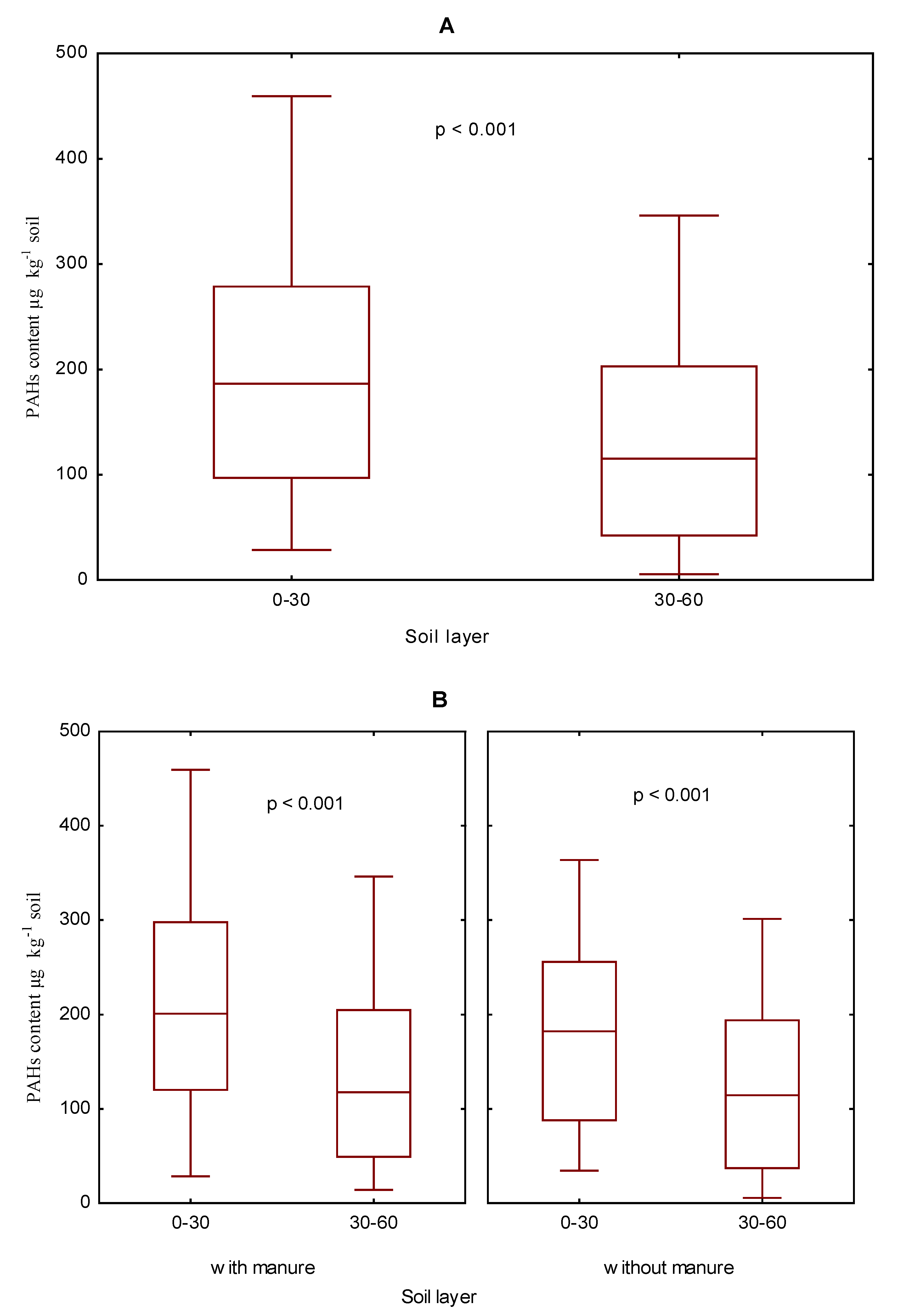
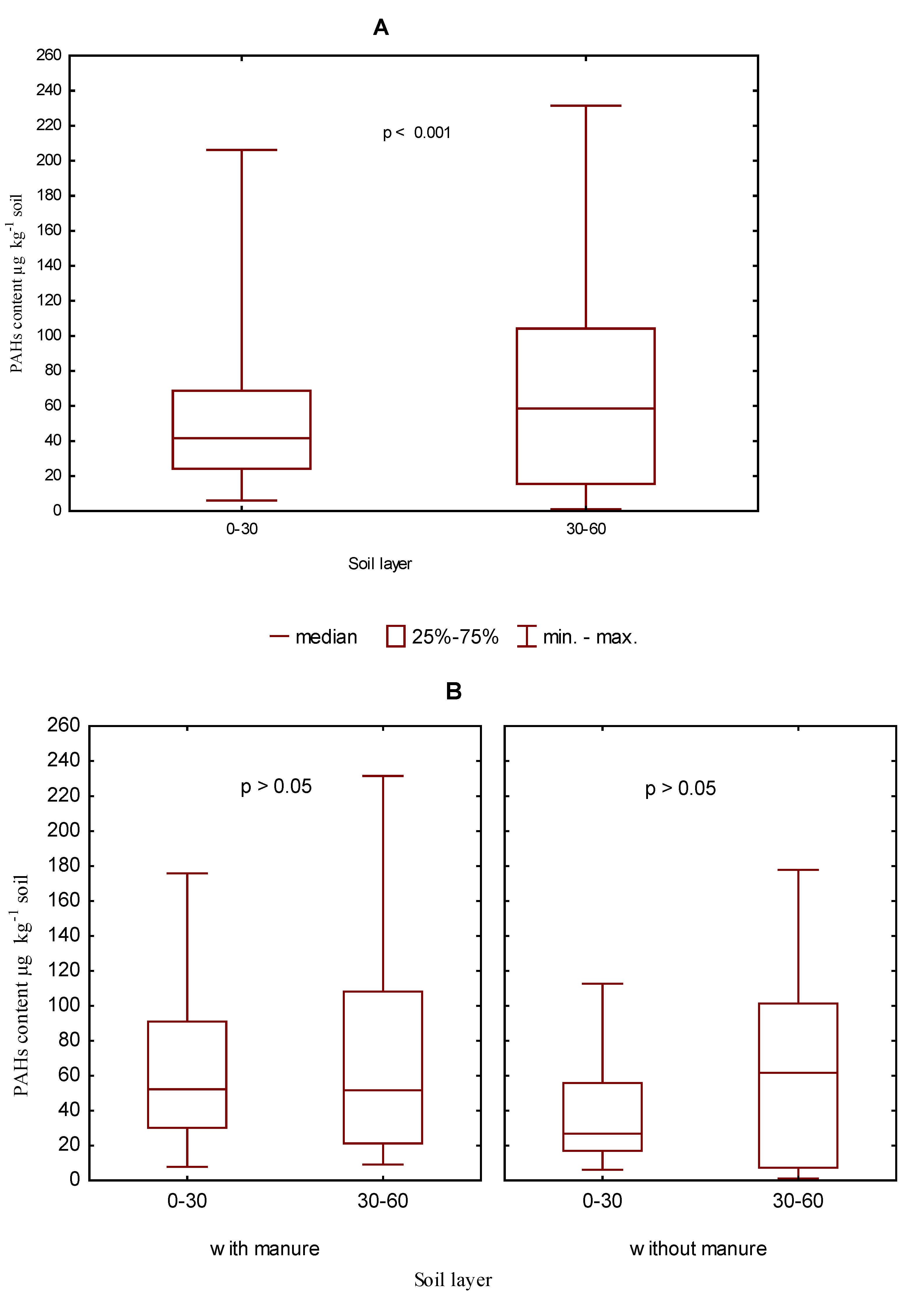
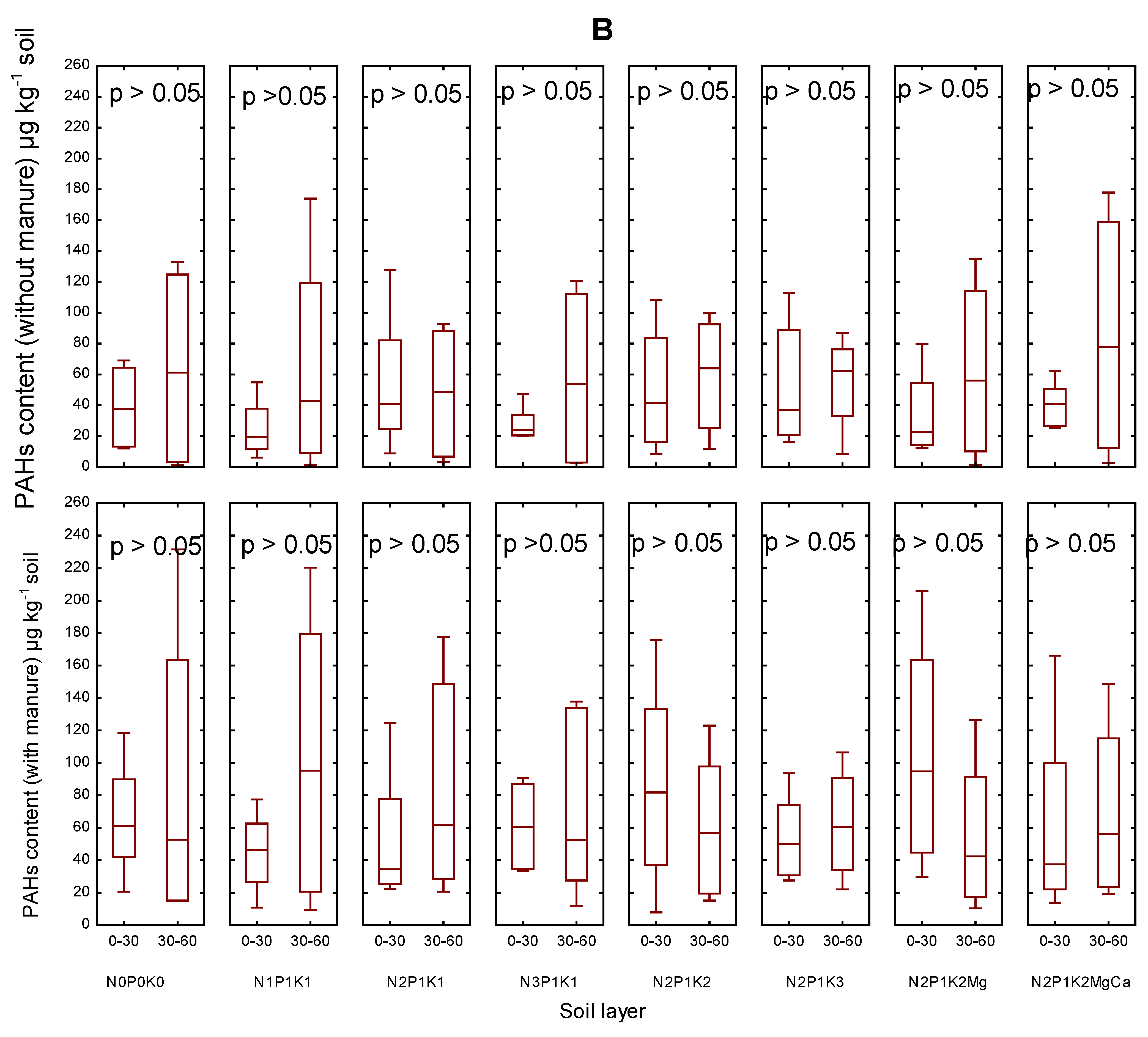
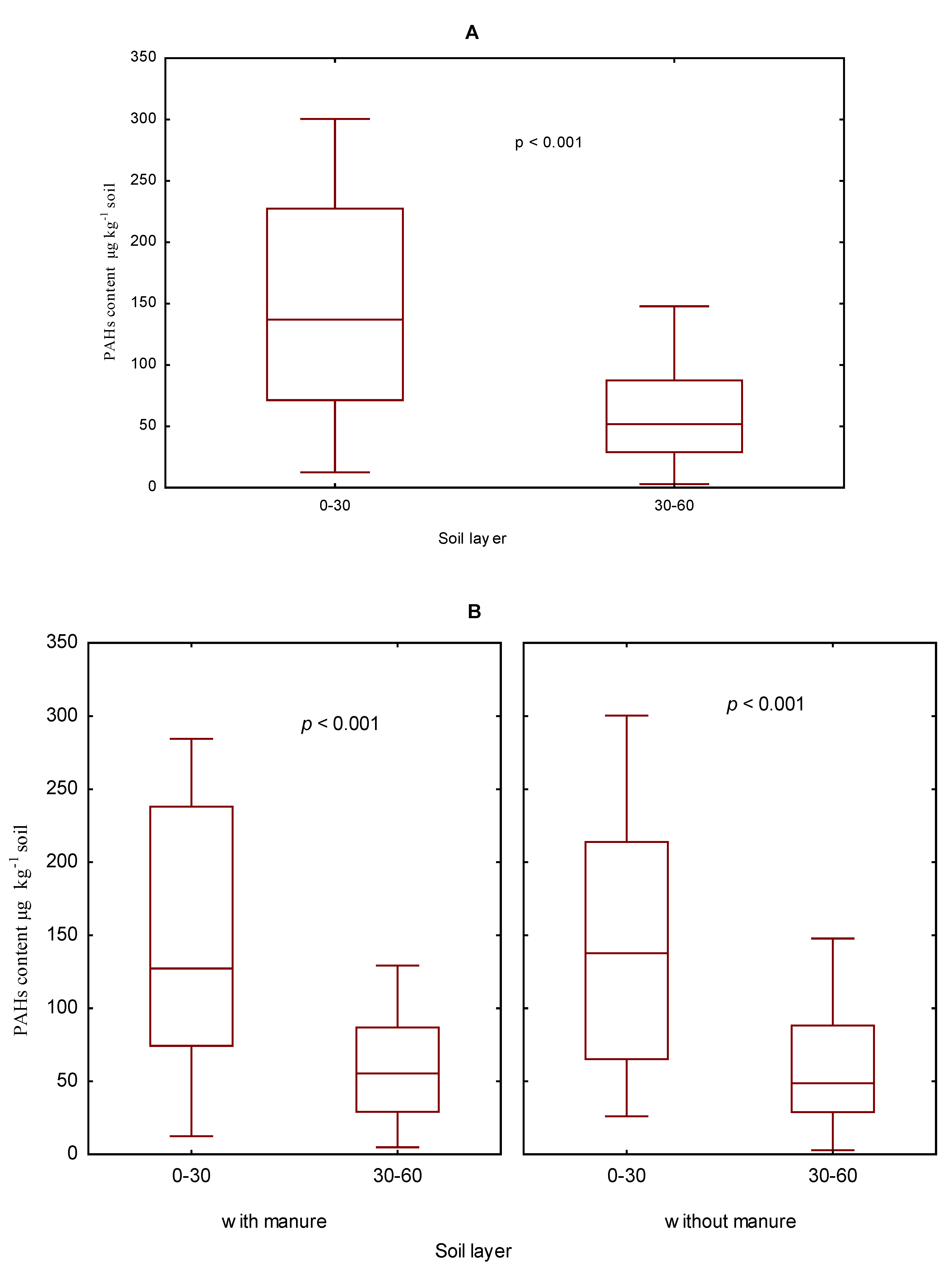
3. Results
4. Discussion
5. Conclusions
Supplementary Materials
Author Contributions
Funding
Institutional Review Board Statement
Informed Consent Statement
Data Availability Statement
Conflicts of Interest
References
- Bach, P.B.; Kelley, M.J.; Tate, R.C.; McCrory, D.C. Screening for lung cancer: A review of the current literature. Chest 2003, 123, 72–82. [Google Scholar] [CrossRef] [PubMed] [Green Version]
- World Health Organization. Air Quality Guidelines for Europe, 2nd ed.; WHO Regional Office for Europe: Copenhagen, Denmark, 2000; p. 91. [Google Scholar]
- Boström, C.E.; Gerde, P.; Hanberg, A.; Jernström, B.; Johansson, C.; Kyrklund, T.; Rannug, A.; Törnqvist, M.; Victorin, K.; Westerholm, R. Cancer risk assessment, indicators and guidelines for polycyclic aromatic hydrocarbons in ambient air. Environ. Health Perspect. 2002, 110, 451–488. [Google Scholar] [PubMed] [Green Version]
- Klimkowicz-Pawlas, A.; Smreczak, B.; Ukalska-Jaruga, A. The impact of selected soil organic matter fractions on the PAH accumulation in the agricultural soils from areas of different anthropopressure. Environ. Sci. Pollut. Res. 2016, 24, 10955–10965. [Google Scholar] [CrossRef] [PubMed]
- Kubiak, M.S. Polycyclic aromatic hydrocarbons (PAHs)—Their presence in the environment and in food. Probl. Hig. Epidemiol. 2013, 94, 31–36. [Google Scholar]
- Krauss, M.; Wilcke, W.; Zech, W. Polycyclic aromatic hydrocarbons and polychlorinated biphenyls in forest soils: Depth distribution as indicator of different fate. Environ. Pollut. 2000, 110, 79–88. [Google Scholar] [CrossRef]
- Wang, X.C.; Zhang, Y.X.; Chen, R.F. Distribution and partitioning of polycyclic aromatic hydrocarbons (PAHs) in different size fractions in sediments from Boston harbor. Mar. Pollut. Bull. 2001, 42, 1139–1149. [Google Scholar] [CrossRef]
- Li, H.; Chen, J.; Wu, W.; Piao, X. Distribution of polycyclic aromatic hydrocarbons in different size fractions of soil from a coke oven plant and its relationship to organic carbon content. J. Hazard. Mater. 2010, 176, 729–734. [Google Scholar] [CrossRef]
- Farahani, M.; Mirbagheri, S.A.; Javid, A.H.; Karbassi, A.R.; Khorasani, N.; Nouri, J. Biodegradation and leaching of polycyclic aromatic hydrocarbons in soil column. J. Food Agric. Environ. 2010, 8, 870–875. [Google Scholar]
- Ortega-Calvo, J.J.; Tejeda-Agredano, M.C.; Jimenez-Sanchez, C.; Congiu, E.; Sungthong, R.; Niqui-Arroyo, J.L.; Cantos, M. Is it possible to increase bioavailability but not environmental risk of PAHs in bioremediation? J. Hazard. Mater. 2013, 261, 733–745. [Google Scholar] [CrossRef] [Green Version]
- Ter Laak, T.L.; Agbo, S.O.; Barendregt, A.; Hermens, J.L. Freely dissolved concentrations of PAHs in soil pore water: Measurement via Solid Phase Extraction and consequences for soil tests. Environ. Sci. Technol. 2016, 40, 1307–1313. [Google Scholar] [CrossRef]
- Smreczak, B.; Klimkowicz-Pawlas, A.; Maliszewska-Kordybach, B. Bioavailability of persistent organic pollutants (POPs) in soils. Studia I Rap. IUNG-PI 2013, 35, 137–153. [Google Scholar]
- Wang, S.; Ni, H.G.; Sun, J.L.; Jing, X.; He, J.S.; Zeng, H. Polycyclic aromatic hydrocarbons in soils from the Tibetan Plateau, China: Distribution and influence of environmental factors. Environ. Sci. Processes Impacts 2013, 15, 661–667. [Google Scholar] [CrossRef] [PubMed]
- Oleszczuk, P.; Baran, S. Degradation of individual polycyclic aromatic hydrocarbons (PAHs) in soil polluted with aircraft fuel. Pol. J. Environ. Stud. 2003, 12, 431–437. [Google Scholar]
- Liao, X.; Ma, D.; Yan, X.; Yang, L. Distribution pattern of polycyclic aromatic hydrocarbons in particle-size fractions of coking plant soils from different depth. Environ. Geochem. Health 2013, 35, 271–282. [Google Scholar] [CrossRef]
- Cousin, I.T.; Beck, K.; Jones, K.J. A review of the processes involved in the exchange of semi-volatile organic compounds (SVOC) across the air-soil interface. Sci. Total Environ. 1999, 228, 5–24. [Google Scholar] [CrossRef]
- Czop, M.; Wandrasz, W. Processes of translocation of polycyclic aromatic hydrocarbons in soils. Ochr. Sr. I Zasobów Nat. 2007, 31, 144–148. [Google Scholar]
- Krzebietke, S.; Mackiewicz-Walec, E.; Sienkiewicz, S.; Załuski, D. Effect of manure and mineral fertilisers on the content of light and heavy polycyclic aromatic hydrocarbons in soil. Sci. Rep. 2020, 10, 4573. [Google Scholar] [CrossRef]
- Mackiewicz-Walec, E.; Krzebietke, S. Content of polycyclic aromatic hydrocarbons in soil in a multi-annual fertilisation regime. Environ. Monit. Assess. 2020, 192, 314. [Google Scholar] [CrossRef]
- Wei, X.; Ding, C.; Chen, C.; Zhu, L.; Zhang, G.; Sun, Y. Environment impact and probabilistic health risks of PAHs in dusts surrounding an iron and steel enterprise. Sci. Rep. 2021, 11, 6749. [Google Scholar] [CrossRef]
- Morillo, E.; Romero, A.S.; Maqueda, C.; Madrid, L.; Ajmone-Marsan, F.; Grcman, H.; Davidson, C.M.; Hursthouse, A.S.; Villaverde, J. Soil pollution by PAHs in urban soils: A comparison of three European cities. J. Environ. Monit. 2007, 9, 1001–1008. [Google Scholar] [CrossRef]
- Muntean, N.; Muntean, E.; Duda, M.M. Polycyclic aromatic hydrocarbons in soil. Proenvironment 2015, 8, 285–289. [Google Scholar]
- Ciarkowska, K.; Gambuś, F.; Antonkiewicz, J.; Koliopoulos, T. Polycyclic aromatic hydrocarbon and heavy metal contents in the urban soils in the southern Poland. Chemosphere 2019, 229, 214–226. [Google Scholar] [CrossRef] [PubMed]
- Report 2020. The State of the Environment in the Warmian-Masurian Voivodeship; Statistical Office: Olsztyn, Poland, 2020.
- IUSS Working Group. WRB International Soil Classification System for Naming Soils and Creating Legends for Soil Maps. In World Reference Base for Soil Resources 2014, Update; World Soil Resources Reports No 106; IUSS Working Group: Rome, Italy, 2015. [Google Scholar]
- Distribution, P.S. Particle size distribution and textural classes of soils and mineral materials—Classification of Polish Society of Soil Sciences. Soil Sci. Annu. 2009, 60, 6–15. [Google Scholar]
- Mazur, T.; Mazur, Z.; Baran, S. Influence of long-term animal slurry, manure and NPK application on polycyclic aromatic hydrocarbon content in soil. Chem. I Inżynieria Ekologiczna 2004, 11, 749–753. [Google Scholar]
- Srogi, K. Monitoring of environmental exposure to polycyclic aromatic hydrocarbons: A review. Environ. Chem. Lett. 2007, 5, 169–195. [Google Scholar] [CrossRef] [Green Version]
- Jiao, H.; Wang, Q.; Zhao, N.; Jin, B.; Zhuang, X.; Bai, Z. Distributions and Sources of Polycyclic Aromatic Hydrocarbons (PAHs) in Soils round a Chemical Plant in Shanxi, China. Int. J. Environ. Res. Public Health 2017, 14, 1198. [Google Scholar] [CrossRef]
- Maliszewska-Kordybach, B.; Smreczak, B.; Klimkowicz-Pawlas, A. Concentrations, sources, and spatial distribution of individual polycyclic aromatic hydrocarbons (PAHs) in agricultural soils in the Eastern part of the EU: Poland as a case study. Sci. Total Environ. 2009, 407, 3746–3753. [Google Scholar] [CrossRef]
- Klimkowicz-Pawlas, A.; Maliszewska-Kordybach, B. Effect of anthracene and pyrene on dehydrogenases activity in soils exsposed and unexposed to PAHs. Water Air Soil Pollut. 2003, 145, 169–186. [Google Scholar] [CrossRef]
- Baran, S.; Oleszczuk, P. Pollution of the soil under the airfield in Dęblin with petroleum-derived substances. Arch. Ochr. Środ. 2002, 28, 105–115. [Google Scholar]
- Zhang, J.H.; He, M.C. Effect of dissolved organic matter on sorption and desorption of phenanthrene onto black carbon. J. Environ. Sci. 2013, 25, 2378–2383. [Google Scholar] [CrossRef]
- Wilcke, W. Global patterns of polycyclic aromatic hydrocarbons (PAHs) in soil. Geoderma 2007, 141, 157–166. [Google Scholar] [CrossRef]
- Chaber, P.; Gworek, B. Surface horizons of forest soils for the diagnosis of soil environment contamination and toxity caused by polycyclic aromatic hydrocarbons (PAHs). PLoS ONE 2020, 15, e0231359. [Google Scholar] [CrossRef] [PubMed]
- Ukalska-Jaruga, A.; Smreczak, B. The impact of organic matter on Polycyclic Aromatic Hydrocarbons (PAHs) availability and persistence in soils. Molecules 2020, 25, 2470. [Google Scholar] [CrossRef] [PubMed]
- Ukalska-Jaruga, A.; Lewińska, K.; Mammadov, E.; Karczewska, A.; Smreczak, B.; Medyńska-Juraszek, A. Residues of Persistent Organic Pollutants (POPs) in agricultural soils adjacent to historical sources of their storage and distribution—The case study of Azerbaijan. Molecules 2020, 25, 1815. [Google Scholar] [CrossRef] [Green Version]
- Wilcke, W. Polycyclic aromatic hydrocarbons (PAHs) in soil—A review. J. Plant. Nutr. Soil Sci. 2000, 163, 229–248. [Google Scholar] [CrossRef]
- Zand, A.D.; Grathwohl, P.; Nabibidhendi, G.; Mehrdadi, N. Determination of leaching behaviour of polycyclic aromatic hydrocarbons from contaminated soil by column leaching test. Waste Manag. Res. 2010, 28, 913–920. [Google Scholar] [CrossRef]
- Mackiewicz-Walec, E. Effect of manure and Mineral Fertilizers on the Content of Polycyclic Aromatic Hydrocarbons in Soil. Ph.D. Thesis, UWM, Olsztyn, Poland, 2017; pp. 1–145. (In Polish). [Google Scholar]
- Wang, Z.; Liu, S.; Zhang, T. Characteristics of polycyclic aromatic hydrocarbons (PAHs) in soil horizon from hight-altitude mountains in Northeastern China. Chemosphere 2019, 225, 93–103. [Google Scholar] [CrossRef]
- Łyszczarz, S.; Lasota, J.; Błońska, E. Policyclic aromatic hydrocarbons accumulation in soil horizons of different temperate forest stands. Land Degrad. Dev. 2022, 33, 945–959. [Google Scholar] [CrossRef]









Publisher’s Note: MDPI stays neutral with regard to jurisdictional claims in published maps and institutional affiliations. |
© 2022 by the authors. Licensee MDPI, Basel, Switzerland. This article is an open access article distributed under the terms and conditions of the Creative Commons Attribution (CC BY) license (https://creativecommons.org/licenses/by/4.0/).
Share and Cite
Krzebietke, S.J.; Mackiewicz-Walec, E.; Sienkiewicz, S.; Wierzbowska, J.; Załuski, D.; Borowik, A. Polycyclic Aromatic Hydrocarbons in Soil at Different Depths under a Long-Term Experiment Depending on Fertilization. Int. J. Environ. Res. Public Health 2022, 19, 10460. https://doi.org/10.3390/ijerph191610460
Krzebietke SJ, Mackiewicz-Walec E, Sienkiewicz S, Wierzbowska J, Załuski D, Borowik A. Polycyclic Aromatic Hydrocarbons in Soil at Different Depths under a Long-Term Experiment Depending on Fertilization. International Journal of Environmental Research and Public Health. 2022; 19(16):10460. https://doi.org/10.3390/ijerph191610460
Chicago/Turabian StyleKrzebietke, Sławomir Józef, Ewa Mackiewicz-Walec, Stanisław Sienkiewicz, Jadwiga Wierzbowska, Dariusz Załuski, and Agata Borowik. 2022. "Polycyclic Aromatic Hydrocarbons in Soil at Different Depths under a Long-Term Experiment Depending on Fertilization" International Journal of Environmental Research and Public Health 19, no. 16: 10460. https://doi.org/10.3390/ijerph191610460
APA StyleKrzebietke, S. J., Mackiewicz-Walec, E., Sienkiewicz, S., Wierzbowska, J., Załuski, D., & Borowik, A. (2022). Polycyclic Aromatic Hydrocarbons in Soil at Different Depths under a Long-Term Experiment Depending on Fertilization. International Journal of Environmental Research and Public Health, 19(16), 10460. https://doi.org/10.3390/ijerph191610460

