Intervention of an Upgraded Ventilation System and Effects of the COVID-19 Lockdown on Air Quality at Birmingham New Street Railway Station
Abstract
:1. Introduction
2. Monitoring Air Pollution Levels in the Station
3. Results
3.1. Exceedances of EU Regulations
3.2. Occupational Exposure-Exceedances of WELs & STELs
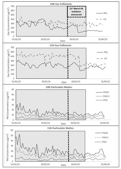
3.3. Effect of COVID-19 on Concentrations of NO2, PM2.5, and PM10 at Platform 10B, New Street
4. Conclusions
Supplementary Materials
Author Contributions
Funding
Data Availability Statement
Acknowledgments
Conflicts of Interest
References
- Office for Rail and Road (ORR). Passenger Rail Usage: 2016–2017 Q4 Statistical Release; ORR: London, UK, 2017. [Google Scholar]
- Hickman, A.L.; Baker, C.J.; Cai, X.; Delgado-Saborit, J.M.; Thornes, J.E. Evaluation of air quality at the Birmingham New Street Railway Station. Proc. Inst. Mech. Eng. Part F J. Rail Rapid Transit. 2018, 232, 1864–1878. [Google Scholar] [CrossRef] [PubMed]
- Network Rail. Birmingham New Street Station Opens to Passengers; Network Rail: London, UK, 2015. [Google Scholar]
- Network Rail. Record Number of People Use Birmingham New Street as Christmas Market Gets Underway; Network Rail: London, UK, 2016. [Google Scholar]
- Chong, U.; Swanson, J.J.; Boies, A.M. Air quality evaluation of London Paddington train station. Environ. Res. Lett. 2015, 10, 094012. [Google Scholar] [CrossRef]
- Thornes, J.E.; Hickman, A.; Baker, C.; Cai, X.; Delgado-Saborit, J.M. Air quality in enclosed railway stations. Proc. Inst. Civ. Eng.-Transp. 2017, 170, 99–107. [Google Scholar] [CrossRef] [Green Version]
- Thornes, T.J. Variations of temperature, wind speed and humidity within Birmingham New Street Station during hot weather. Weather 2015, 70, 129–134. [Google Scholar] [CrossRef]
- Thornes, J.E.; Hickman, A.; Baker, C.; Cai, X.; Delgado-Saborit, J.M.; Quaiyoom, A. Proposed interventions to reduce noxious air pollution at Birmingham New Street station. Proc. Inst. Civ. Eng.-Transp. 2021, 174, 1–6. [Google Scholar] [CrossRef]
- Font, A.; Tremper, A.H.; Lin, C.; Priestman, M.; Marsh, D.; Woods, M.; Heal, M.R.; Green, D.C. Air quality in Enclosed Railway Stations: Quantifying the impact of diesel trains through deployment of multi-site measurement and random forest modelling. Environ. Pollut. 2020, 262, 114284. [Google Scholar] [CrossRef] [PubMed]
- Birmingham City Council. Reserved Matters Design & Access Statement; Birmingham New Street Gateway Project. 2009; Archived from the Original on 15 August 2011. Available online: https://web.archive.org/web/20110815184138/http://eplanning.birmingham.gov.uk/Northgate/DocumentExplorer/documentstream/documentstream.aspx?name=public%3A0901487a80a71516.pdf&unique=387688&type=eplprod_DC_PLANAPP (accessed on 15 July 2020).
- Department for Transport (DfT). Birmingham, West Midlands AADF.csv Dataset. 2020. Available online: https://www.dft.gov.uk/traffic-counts (accessed on 15 July 2020).
- Emission Solutions Ltd. (EMSOL). Praxis 10 Second Interval Measurements between February and June 2020 for NO2, CO, PM1, PM2.5 and PM10. 2020. Available online: https://emsol.io (accessed on 15 July 2020).
- Alphasense Ltd. Sensor Technical Datasheets. 2013. Available online: http://www.alphasense.com/index.php/air/downloads/ (accessed on 3 August 2020).
- Baron, R.; Saffell, J. Amperometric gas sensors as a low-cost emerging technology platform for air quality monitoring applications: A review. ACS Sens. 2017, 2, 1553–1566. [Google Scholar] [CrossRef] [PubMed]
- Baron, R.; Beloff, B. Obtaining High Quality Data from Low-Cost Air Monitoring Systems [Webinar]. 2020. Available online: https://drive.google.com/drive/folders/12wGhpmPcDNl8iK-UFyW-zUcMGiGtGQj3 (accessed on 5 August 2020).
- HMG (Her Majesty’s Government). The Control of Substances Hazardous to Health Regulations; Statutory Instrument 2002 No. 2677; The Stationery Office: London, UK, 2002. Available online: http://www.legislation.gov.uk/uksi/2002/2677/contents/made (accessed on 7 May 2021).
- Birch, M.E.; Cary, R.A. Elemental carbon-based method for monitoring occupational exposures to particulate diesel exhaust. Aerosol Sci. Technol. 1996, 25, 221–241. [Google Scholar] [CrossRef]
- Mohankumar, S.; Senthilkumar, P. Particulate matter formation and its control methodologies for diesel engine: A comprehensive review. Renew. Sustain. Energy Rev. 2017, 80, 1227–1238. [Google Scholar] [CrossRef]
- Mitsakou, C.; Housiadas, C.; Eleftheriadis, K.; Vratolis, S.; Helmis, C.; Asimakopoulos, D. Lung deposition of fine and ultrafine particles outdoors and indoors during a cooking event and a no activity period. Indoor Air 2007, 17, 143–152. [Google Scholar] [CrossRef] [PubMed]
- Rissler, J.; Gudmundsson, A.; Nicklasson, H.; Swietlicki, E.; Wollmer, P.; Löndahl, J. Deposition efficiency of inhaled particles (15–5000 nm) related to breathing pattern and lung function: An experimental study in healthy children and adults. Part. Fibre Toxicol. 2017, 14, 10. [Google Scholar] [CrossRef] [PubMed] [Green Version]
- Pope III, C.A.; Dockery, D.W. Health effects of fine particulate air pollution: Lines that connect. J. Air Waste Manag. Assoc. 2006, 56, 709–742. [Google Scholar] [CrossRef] [PubMed]
- Frampton, M.W.; Rich, D.Q. Does particle size matter? Ultrafine particles and hospital visits in eastern Europe. Am. J. Respir. Crit. Care Med. 2016, 194, 1180–1182. [Google Scholar] [CrossRef] [PubMed]
- Cesaroni, G.; Ancona, C.; Cattani, G.; Gaeta, A.; Badaloni, C.; Michelozzi, P.; Davoli, M.; Forastiere, F.; Stafoggia, M. Long-term exposure to ultrafine particles and cause-specific mortality in the Rome longitudinal study. Environ. Epidemiol. 2019, 3, 56. [Google Scholar]
- Lanzinger, S.; Schneider, A.; Breitner, S.; Stafoggia, M.; Erzen, I.; Dostal, M.; Pastorkova, A.; Bastian, S.; Cyrys, J.; Zscheppang, A.; et al. Associations between ultrafine and fine particles and mortality in five central European cities—Results from the UFIREG study. Environ. Int. 2016, 88, 44–52. [Google Scholar] [CrossRef] [PubMed]
- PHE. Review of Interventions to Improve Outdoor Air Quality and Public Health. 2019. Available online: https://www.gov.uk/government/publications/improving-outdoor-air-quality-and-health-review-of-interventions (accessed on 5 August 2020).
- Centre for Cities. How Have the Covid Pandemic and Lockdown Affected Air Quality in Cities? Centre for Cities: London, UK, 2020. [Google Scholar]







| Pollutant | WELS Occupational Health | STELS Occupational Health | EUAQS Public Health | EUAQS Public Health |
|---|---|---|---|---|
| 8 h | 15 min | 1 year | Short Term | |
| NO2 | 955 µg/m3 | 1910 µg/m3 | 40 µg/m3 | 200 µg/m3 1 h mean |
| PM10 | - | - | 40 µg/m3 | 50 µg/m3 24 h mean |
| PM2.5 | - | - | 25 µg/m3 | - |
| CO | 23 mg/m3 | 117 mg/m3 | - | 10 mg/m3 8 h mean |
| Platform | NO2 | CO | PM1 | PM2.5 | PM10 |
|---|---|---|---|---|---|
| Average 24 h Hickman 2018 (µg/m3) | 383 | - | - | 42 | 53 |
| 10B Average 24 h Concentration (µg/m3) | 224 | 307 | 3 | 8 | 14 |
| % Reduction | 42% | 81% | 74% | ||
| 10B Max 24 h Concentration (µg/m3) | 413 | 453 | 11 | 31 | 34 |
| 11B Average 24 h Concentration (µg/m3) | 293 | 457 | 4 | 12 | 20 |
| % Reduction | 23% | 71% | 62% | ||
| 11B Max 24 h Concentration (µg/m3) | 422 | 604 | 17 | 34 | 53 |
Publisher’s Note: MDPI stays neutral with regard to jurisdictional claims in published maps and institutional affiliations. |
© 2022 by the authors. Licensee MDPI, Basel, Switzerland. This article is an open access article distributed under the terms and conditions of the Creative Commons Attribution (CC BY) license (https://creativecommons.org/licenses/by/4.0/).
Share and Cite
Clegg, M.; Thornes, J.E.; Banerjee, D.; Mitsakou, C.; Quaiyoom, A.; Delgado-Saborit, J.M.; Phalkey, R. Intervention of an Upgraded Ventilation System and Effects of the COVID-19 Lockdown on Air Quality at Birmingham New Street Railway Station. Int. J. Environ. Res. Public Health 2022, 19, 575. https://doi.org/10.3390/ijerph19010575
Clegg M, Thornes JE, Banerjee D, Mitsakou C, Quaiyoom A, Delgado-Saborit JM, Phalkey R. Intervention of an Upgraded Ventilation System and Effects of the COVID-19 Lockdown on Air Quality at Birmingham New Street Railway Station. International Journal of Environmental Research and Public Health. 2022; 19(1):575. https://doi.org/10.3390/ijerph19010575
Chicago/Turabian StyleClegg, Matt, John Edward Thornes, Debasree Banerjee, Christina Mitsakou, Azhar Quaiyoom, Juana Maria Delgado-Saborit, and Revati Phalkey. 2022. "Intervention of an Upgraded Ventilation System and Effects of the COVID-19 Lockdown on Air Quality at Birmingham New Street Railway Station" International Journal of Environmental Research and Public Health 19, no. 1: 575. https://doi.org/10.3390/ijerph19010575
APA StyleClegg, M., Thornes, J. E., Banerjee, D., Mitsakou, C., Quaiyoom, A., Delgado-Saborit, J. M., & Phalkey, R. (2022). Intervention of an Upgraded Ventilation System and Effects of the COVID-19 Lockdown on Air Quality at Birmingham New Street Railway Station. International Journal of Environmental Research and Public Health, 19(1), 575. https://doi.org/10.3390/ijerph19010575

