Simulating Urban Expansion Based on Ecological Security Pattern—A Case Study of Hangzhou, China
Abstract
:1. Introduction
2. Materials and Methods
2.1. Study Area
2.2. Data Sources
2.3. Construction of Ecological Security Pattern
2.3.1. Identifying Ecological Sources and Nodes
2.3.2. Constructing Ecological Corridors
2.3.3. Land Use Change Simulation
2.4. Analysis of Urban Construction Land Expansion
3. Results
3.1. Ecological Security Pattern
3.2. Urban Construction Land Expansion from 2000 to 2018
3.3. Urban Expansion Simulation Based on Ecological Security Patterns
3.3.1. Validation
3.3.2. Urban Expansion Simulation under Different Scenarios
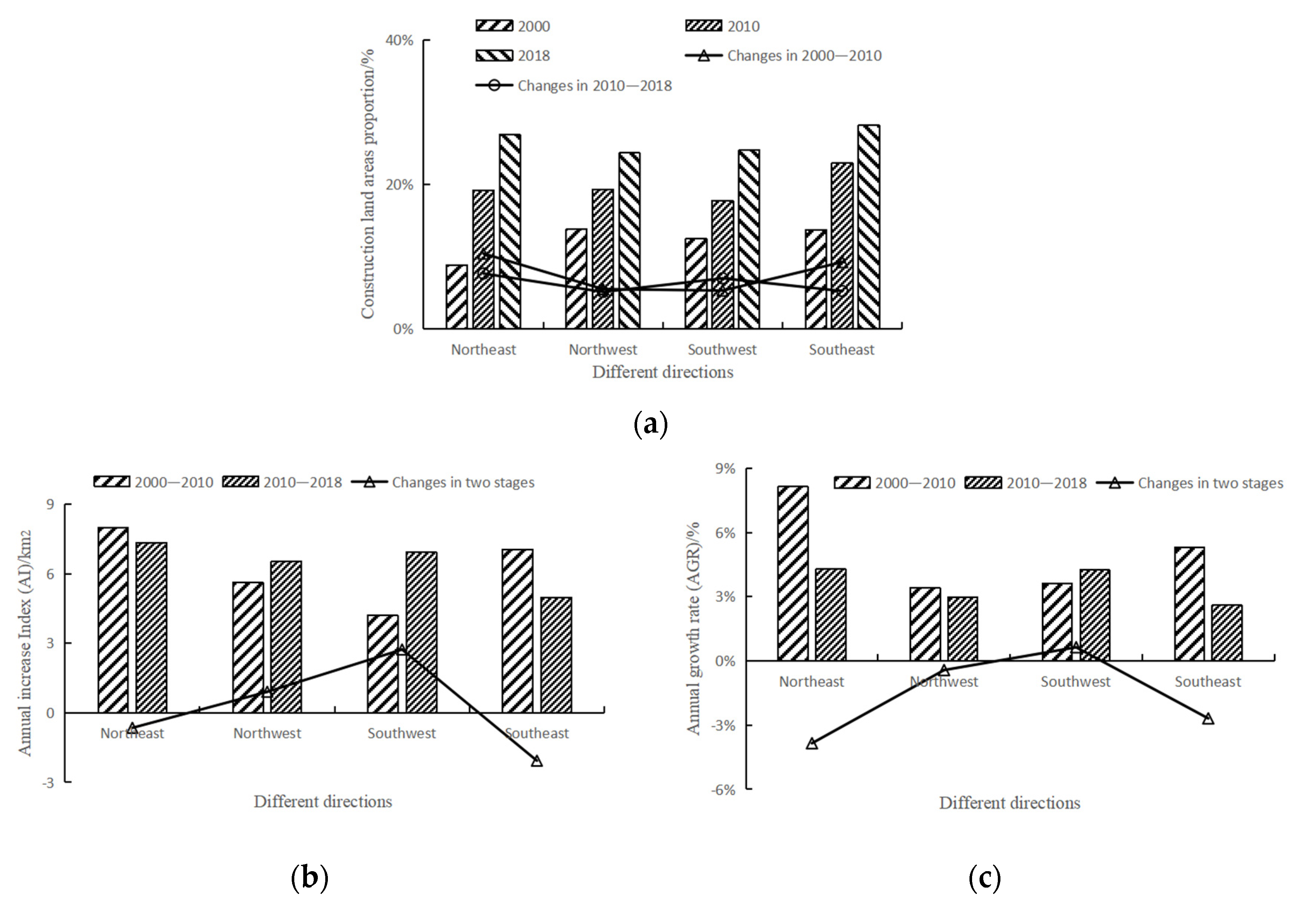
3.3.3. Urban Expansion in Different Directions
3.3.4. Urban Expansion from City Center
4. Discussion
5. Conclusions
Author Contributions
Funding
Institutional Review Board Statement
Informed Consent Statement
Conflicts of Interest
References
- Ul Din, S.; Mak, H.W.L. Retrieval of Land-Use/Land Cover Change (LUCC) Maps and Urban Expansion Dynamics of Hyderabad, Pakistan via Landsat Datasets and Support Vector Machine Framework. Remote Sens. 2021, 13, 3337. [Google Scholar] [CrossRef]
- Chen, D.L.; Lu, X.H.; Hu, W.B.; Zhang, C.Z.; Lin, Y.B. How urban sprawl influences eco-environmental quality: Empirical research in China by using the Spatial Durbin mode. Ecol. Indic. 2021, 131, 108113. [Google Scholar] [CrossRef]
- Han, R.D.; Zhang, L.; Zheng, Y.; Wang, H.; Zhang, J. Urban expansion and its ecological environmental effects in Bangkok, Thailand. Acta Ecol. Sin. 2017, 37, 6322–6334. [Google Scholar]
- Xie, Q.J.; Sun, Q. Monitoring thermal environment deterioration and its dynamic response to urban expansion in Wuhan, China. Urban Clim. 2021, 39, 100932. [Google Scholar] [CrossRef]
- Zhang, H. The Impact of Urban Sprawl on Environmental Pollution: Empirical Analysis from Large and Medium-Sized Cities of China. Int. J. Environ. Res. Public Health 2021, 18, 8650. [Google Scholar] [CrossRef] [PubMed]
- Yu, K.J.; Wang, S.S.; Li, D.H.; Li, C.B. The function of ecological security patterns as an urban framework in Beijing. Acta Ecol. Sin. 2009, 29, 1189–1204. [Google Scholar]
- Yang, Y.K.; Wang, Y.; Cheng, X.; Li, W.J.; Gao, M.; Wang, J.L.; Fu, L.; Zhang, R. Establishment of an ecological security pattern based on connectivity index: A case study of the Three Gorges Reservoir Area in Chongqing. Acta Ecol. Sin. 2020, 40, 5124–5136. [Google Scholar]
- Yu, K.J.; Wang, S.S.; Li, D.H.; Qiao, Q. Ecological baseline for Beijing’s urban sprawl: Basic ecosystem services and their security patterns. City Plan. Rev. 2010, 34, 19–24. [Google Scholar]
- Sun, D.Z.; Liang, Y.J. Multi-scenario Simulation of Land Use Dynamic in the Loess Plateau using an Improved Markov-CA Model. J. Geo-Inf. Sci. 2021, 23, 825–836. [Google Scholar]
- Memarian, H.; Balasundram, S.K.; Talib, J.B.; Sung, C.T.B.; Sood, A.M.; Abbaspour, K. Validation of CA-Markov for simulation of land-use and cover change in the langat basin, Malaysia. J. Geogr. Inf. Syst. 2012, 4, 542–554. [Google Scholar]
- Liu, X.P.; Liang, X.; Li, X.; Xu, X.C.; Ou, J.P.; Chen, Y.M.; Li, S.Y.; Wang, S.J.; Pei, F.S. A future land use simulation model (FLUS) for simulating multiple land use scenarios by coupling human and natural effects. Landsc. Urban Plan. 2017, 168, 94–116. [Google Scholar] [CrossRef]
- Veldkamp, A.; Fresco, L.O. CLUE: A conceptual model to study the conversion of land use and its effects. Ecol. Model. 1996, 85, 253–270. [Google Scholar] [CrossRef]
- Peter, H.V.; Welmoed, S.; Veldkamp, A.; Ramil, L.; Victoria, E.; Sharifah, S.A.M. Modeling the spatial dynamics of regional land use: The CLUE-S model. Environ. Manag. 2002, 30, 391–405. [Google Scholar]
- Liang, X.; Guan, Q.F.; Keith, C.C.; Liu, S.S.; Wang, B.Y.; Yao, Y. Understanding the drivers of sustainable land expansion using a patch-generating land use simulation (PLUS) model: A case study in Wuhan, China. Comput. Environ. Urban Syst. 2021, 85, 101569. [Google Scholar] [CrossRef]
- Tang, D.W.; Liu, H.; Song, E.P.; Chang, S. Urban expansion simulation from the perspective of land acquisition-based on bargaining model and ant colony optimization. Comput. Environ. Urban Syst. 2020, 82, 101504. [Google Scholar] [CrossRef]
- Xing, W.R.; Qian, Y.H.; Guan, X.F.; Yang, T.T.; Wu, H.Y. A novel cellular automata model integrated with deep learning for dynamic spatio-temporal land use change simulation. Comput. Geosci. 2020, 137, 104430. [Google Scholar] [CrossRef]
- Feng, Y.J.; Liu, Y.; Tong, X.H. Comparison of metaheuristic cellular automata models: A case study of dynamic land use simulation in the Yangtze River Delta. Comput. Environ. Urban Syst. 2018, 70, 138–150. [Google Scholar] [CrossRef]
- Bian, Z.H.; Ma, X.X.; Gong, L.C.; Zhao, J.; Zeng, C.F.; Wang, L.C. Land Use Prediction Based on CLUE-S Model Under Different Non-Spatial Simulation on Methods: A Case Study of the Qinhuai River Watershed. Sci. Geogr. Sin. 2017, 37, 252–258. [Google Scholar]
- Huang, M.; Zhang, X.X.; Zhang, J.J.; Zhao, Z.Y.; Ru, H. A Multi-Scale Simulation of Land Use Change in Luoyugou Watershed Based on CLUE-S Model. Resour. Sci. 2012, 34, 769–776. [Google Scholar]
- Darío, D.; Gaëtan, P.; Anna, M.H. Effect of zoning plans on urban land-use change: A multi-scenario simulation for supporting sustainable urban growth. Sustain. Cities Soc. 2021, 69, 102833. [Google Scholar]
- Zhang, Y.; Li, Y.Z.; Lv, J.; Wang, J.; Wu, Y. Scenario simulation of ecological risk based on land use/cover change—A case study of the Jinghe county, China. Ecol. Indic. 2021, 131, 108176. [Google Scholar] [CrossRef]
- Li, Q.G.; Wang, L.C.; Hafiza, N.G.; Li, D. Simulation and optimization of land use pattern to embed ecological suitability in an oasis region: A case study of Ganzhou district, Gansu province, China. J. Environ. Manag. 2021, 287, 112321. [Google Scholar] [CrossRef] [PubMed]
- Li, J.Z.; Ouyang, X.; Zhu, X. Land space simulation of urban agglomerations from the perspective of the symbiosis of urban development and ecological protection: A case study of Changsha-Zhuzhou-Xiangtan urban agglomeration. Ecol. Indic. 2021, 126, 107669. [Google Scholar] [CrossRef]
- Yang, H.; Huang, J.L.; Liu, D.F. Linking climate change and socioeconomic development to urban land use simulation: Analysis of their concurrent effects on carbon storage. Appl. Geogr. 2020, 115, 102135. [Google Scholar] [CrossRef]
- Ankita, S.; Mahesh, K.J.; Keith, C.C. Development of SLEUTH-Density for the simulation of built-up land density. Comput. Environ. Urban Syst. 2021, 86, 101586. [Google Scholar]
- Li, F.X.; Li, Z.F.; Chen, H.H.; Chen, Z.J.; Li, M.C. An agent-based learning-embedded model (ABM-learning) for urban land use planning: A case study of residential land growth simulation in Shenzhen, China. Land Use Policy 2020, 95, 104620. [Google Scholar] [CrossRef]
- Kang, J.M.; Zhang, X.; Zhu, X.W.; Zhang, B.L. Ecological security pattern: A new idea for balancing regional development and ecological protection: A case study of the Jiaodong Peninsula, China. Glob. Ecol. Conserv. 2021, 26, e01472. [Google Scholar] [CrossRef]
- Yao, Y.; Ma, L.B.; Che, X.L.; Dou, H.J. Simulation study of urban expansion under ecological constraint—Taking Yuzhong County, China as an example. Urban For. Urban Green. 2021, 57, 126933. [Google Scholar] [CrossRef]
- Yu, W.J.; Ren, T.; Zhou, W.Q.; Li, W.F. Forest fragmentation and its relationship with urban expansion in Guangdong-Hong Kong-Macao Great Bay Area, China. Acta Ecol. Sin. 2020, 40, 8474–8481. [Google Scholar]
- Soille, P.; Vogt, P. Morphological segmentation of binary patterns. Pattern Recognit. Lett. 2009, 30, 456–459. [Google Scholar] [CrossRef]
- Yu, Y.P.; Yin, H.W.; Kong, F.H.; Wang, J.J.; Xu, B. Scale effect of Nangjing urban green infrastructure network pattern and connectivity analysis. Chin. J. Appl. Ecol. 2016, 27, 2119–2127. [Google Scholar]
- Rukeya, R.; Alimu, K.; Halimulati, A. Construction of Ecological Pattern in Tumshuk City Base on MSPA and MCR model. Environ. Sci. Technol. 2021, 44, 229–237. [Google Scholar]
- Chen, X.P.; Chen, W.B. Construction and evaluation of ecological network in Poyang Lake Economic Zone, China. Chin. J. Appl. Ecol. 2016, 27, 1611–1618. [Google Scholar]
- Zhang, X.J.; Liang, Q.O.; Guo, H.; Lin, D.G. The influence mechanism of relief degree and landscape pattern in Zhejiang Province. J. Zhejiang Norm. Univ. 2020, 43, 452–459. [Google Scholar]
- Li, M.H.; Zhou, Q.G.; Meng, H.B.; Peng, C.H.; Liu, X.W.; Zhou, L. Ecological Security Layout Planning of Chongqing Section in the Three Gorges Reservoir Area Based on the Model of Minimum Cumulative Coefficient. Resour. Environ. Yangtze Basin 2021, 30, 1916–1926. [Google Scholar]
- Tan, H.Q.; Zhang, J.T.; Zhou, X.S. Construction of Ecological Security Patterns Based on Minimum Cumulative Resistance Model in Nangjing City. Bull. Soil Water Conserv. 2020, 40, 282–288+296+325. [Google Scholar]
- He, S.Q. Evolution and Scenario Simulation of Land Use Pattern in Guanzhong Plain Urban Agglomeration; Lanzhou University: Lanzhou, China, 2020. [Google Scholar]
- Liu, J.H.; Li, W.F.; Zhou, W.Q.; Han, L.J.; Qian, Y.G.; Zheng, X.X. Simulation and prediction of changes in the landscape patterns of the Beijing-Tianjin-Hebei Metropolitan Region and their driving mechanisms. Acta Ecol. Sin. 2017, 37, 5324–5333. [Google Scholar]
- Norris, J.R. Markov Chains; Cambridge University Press: Cambridge, UK, 1997; p. 237. [Google Scholar]
- Wang, B.S.; Liao, J.F.; Zhu, W.; Qiu, Q.S.; Wang, L.; Tang, L.N. The weight of neighborhood setting of the FLUS model based on a historical scenario: A case study of land use simulation of urban agglomeration of the Golden Triangle of Southern Fujian in 2030. Acta Ecol. Sin. 2019, 39, 4284–4298. [Google Scholar]
- Chen, S.Q. Study of the Green Corridors in Urbanized Areas. City Plan. Rev. 2001, 11, 44–48. [Google Scholar]
- Quintas-Soriano, C.; Castro, A.J.; Castro, H.; García-Llorente, M. Impacts of land use change on ecosystem services and implications for human well-being in Spanish drylands. Land Use Policy 2016, 54, 534–548. [Google Scholar] [CrossRef]
- Fu, Q.; Li, B.; Hou, Y.; Bi, X.; Zhang, X.S. Effects of land use and climate change on ecosystem services in Central Asia’s arid regions: A case study in Altay Prefecture, China. Sci. Total Environ. 2017, 607, 633–646. [Google Scholar] [CrossRef] [PubMed]
- National Ecological Protection Red Line—Technical Guide for Delimitation of Ecological Function Baseline. Available online: http://www.mee.gov.cn/gkml/hbb/bwj/201505/t20150518_301834.htm (accessed on 23 December 2021).
- Chiesura, A. The role of urban parks for the sustainable city. Landsc. Urban Plan. 2004, 68, 129–138. [Google Scholar] [CrossRef]
- Carrus, G.; Scopelliti, M.; Lafortezza, R.; Colangelo, G.; Ferrini, F.; Salbitano, F.; Agrimi, M.; Portoghesi, L.; Semenzato, P.; Sanesi, G. Go greener, feel better? The positive effects of biodiversity on the well-being of individuals visiting urban and peri-urban green areas. Landsc. Urban Plan. 2015, 134, 221–228. [Google Scholar] [CrossRef]
- Elmqvist, T.; Setälä, H.; Handel, S.N.; van der Ploeg, S.; Aronson, J.; Blignaut, J.N.; Gómez-Baggethun, E.; Nowak, D.J.; Kronenberg, J.; de Groot, R. Benefits of restoring ecosystem services in urban areas. Curr. Opin. Environ. Sustain. 2015, 14, 101–108. [Google Scholar] [CrossRef] [Green Version]
- Schilling, J.; Logan, J. Greening the Rust Belt: A Green Infrastructure Model for Right Sizing America’s Shrinking Cities. J. Am. Plan. Assoc. 2008, 74, 451–466. [Google Scholar] [CrossRef]
- Tzoulas, K.; Korpela, K.; Venn, S.; Yli-Pelkonen, V.; Kaźmierczak, A.; Niemela, J.; James, P. Promoting ecosystem and human health in urban areas using Green Infrastructure: A literature review. Landsc. Urban Plan. 2007, 81, 167–178. [Google Scholar] [CrossRef] [Green Version]
- Mace, A. The Metropolitan Green Belt, changing an institution. Prog. Plan. 2018, 121, 1–28. [Google Scholar] [CrossRef]
- Shen, Q.W.; Lin, M.L.; Mo, H.P.; Huang, Y.B.; Hu, X.Y.; Wei, L.W.; Zheng, Y.S.; Lu, D.F. Ecological network construction and optimization in Foshan City, China. Chin. J. Appl. Ecol. 2021, 32, 3288–3298. [Google Scholar]
- Zhang, L.; Yue, W.Z.; Chen, Y. Construction of urban ecological security pattern based on of patch composite characteristics: A case study of Hangzhou. Acta Ecol. Sin. 2021, 41, 4632–4640. [Google Scholar]
- Filho, W.L.F.C.; de Oliveira-Júnior, J.F.; Santos, C.T.B.d.; Batista, B.A.; Santiago, D.d.; Junior, C.A.d.; Teodoro, P.E.; da Costa, C.E.S.; da Silva, E.B.; Freire, F.M. The influence of urban expansion in the socio-economic, demographic, and environmental indicators in the City of Arapiraca-Alagoas, Brazil. Remote Sens. Appl. Soc. Environ. 2022, 25, 100662. [Google Scholar]
- Kukkonen, M.O.; Khamis, M.; Muhammad, M.J.; Käyhkö, N.; Luoto, M. Modeling direct above-ground carbon loss due to urban expansion in Zanzibar City Region, Tanzania. Land Use Policy 2022, 112, 105810. [Google Scholar] [CrossRef]
- Weldearegay, S.K.; Tefera, M.M.; Feleke, S.T. Impact of urban expansion to peri-urban smallholder farmers’ poverty in Tigray, North Ethiopia. Heliyon 2021, 7, e07303. [Google Scholar] [CrossRef]
- Baro, F.; Bugter, R.; Gómez-Baggethun, E.; Hauck, J.; Kopperoinen, L.; Liquete, C.; Potschin, P.; Potschin, M.; Jax, K. (Eds.) Green Infrastructure, OpenNESS Ecosystem Service Reference Book (2015) EC FP7 Grant Agreement no.308428. Available online: www.openness-project.EU/library/reference-book (accessed on 17 December 2021).
- Davies, C.; Lafortezza, R. Urban green infrastructure in Europe: Is greenspace planning and policy compliant? Land Use Policy 2017, 69, 93–101. [Google Scholar] [CrossRef]
- Sohel Rana, M.; Sarkar, S. Prediction of urban expansion by using land cover change detection approach. Heliyon 2021, 7, e08437. [Google Scholar] [CrossRef]
- Wang, R.; Feng, Y.J.; Tong, X.H.; Zhao, J.J.; Zhai, S.T. Impacts of spatial scale on the delineation of spatiotemporal urban expansion. Ecol. Indic. 2021, 129, 107896. [Google Scholar] [CrossRef]
- Cortinovis, C.; Geneletti, D. Ecosystem services in urban plans: What is there, and what is still needed for better decisions. Land Use Policy 2018, 70, 298–312. [Google Scholar] [CrossRef]










| Indicator Types | Classification | Value | Weight |
|---|---|---|---|
| land use/cover types | Woodland | 1 | 0.7 |
| Water | 1 | ||
| Grassland | 30 | ||
| Arable land | 50 | ||
| Unused land | 90 | ||
| Construction land | 100 | ||
| topographic relief | <8 | 90 | 0.3 |
| 8–17 | 70 | ||
| 17–27 | 50 | ||
| 27–37 | 30 | ||
| 37–50 | 10 | ||
| >50 | 1 |
| Arable Land | Woodland | Grassland | Water | Construction Land | Unused Land |
|---|---|---|---|---|---|
| 0.1 | 0.23 | 0.35 | 0.5 | 1 | 0.4 |
| (a) | ||||||
|---|---|---|---|---|---|---|
| Land Types | Arable Land | Woodland | Grassland | Water | Construction Land | Unused Land |
| Arable land | 1 | 1 | 1 | 1 | 1 | 0 |
| Woodland | 1 | 1 | 1 | 0 | 1 | 0 |
| Grassland | 1 | 1 | 1 | 0 | 1 | 1 |
| Water | 1 | 1 | 1 | 1 | 1 | 1 |
| Construction land | 1 | 1 | 1 | 0 | 1 | 0 |
| Unused land | 1 | 1 | 1 | 1 | 1 | 1 |
| (b) | ||||||
| Land Types | Arable Land | Woodland | Grassland | Water | Construction Land | Unused Land |
| Arable land | 1 | 1 | 1 | 1 | 1 | 0 |
| Woodland | 0 | 1 | 1 | 0 | 0 | 0 |
| Grassland | 0 | 1 | 1 | 0 | 1 | 1 |
| Water | 1 | 1 | 1 | 1 | 1 | 1 |
| Construction land | 1 | 1 | 1 | 0 | 1 | 0 |
| Unused land | 1 | 1 | 1 | 1 | 1 | 1 |
| Urban Expansion Indicators | 2000 | 2010 | 2018 |
|---|---|---|---|
| Construction land areas/km2 | 411.52 | 660.08 | 866.18 |
| Construction land proportion/% | 12.29 | 19.71 | 25.86 |
| Annual increase index (AI) | 24.86 | 25.76 | |
| Annual growth rate (AGR) | 4.84 | 3.46 |
| Urban Expansion Indicators | 2030 (Natural) | 2030 (Ecological) |
|---|---|---|
| Construction land areas/km2 | 1185.81 | 1109.47 |
| Construction land proportion/% | 32.35 | 30.88 |
| Annual increase index (AI) | 26.55 | 20.22 |
| Annual growth rate (AGR) | 2.64 | 2.08 |
Publisher’s Note: MDPI stays neutral with regard to jurisdictional claims in published maps and institutional affiliations. |
© 2021 by the authors. Licensee MDPI, Basel, Switzerland. This article is an open access article distributed under the terms and conditions of the Creative Commons Attribution (CC BY) license (https://creativecommons.org/licenses/by/4.0/).
Share and Cite
Yang, X.; Li, S.; Zhu, C.; Dong, B.; Xu, H. Simulating Urban Expansion Based on Ecological Security Pattern—A Case Study of Hangzhou, China. Int. J. Environ. Res. Public Health 2022, 19, 301. https://doi.org/10.3390/ijerph19010301
Yang X, Li S, Zhu C, Dong B, Xu H. Simulating Urban Expansion Based on Ecological Security Pattern—A Case Study of Hangzhou, China. International Journal of Environmental Research and Public Health. 2022; 19(1):301. https://doi.org/10.3390/ijerph19010301
Chicago/Turabian StyleYang, Xiaochang, Sinan Li, Congmou Zhu, Baiyu Dong, and Hongwei Xu. 2022. "Simulating Urban Expansion Based on Ecological Security Pattern—A Case Study of Hangzhou, China" International Journal of Environmental Research and Public Health 19, no. 1: 301. https://doi.org/10.3390/ijerph19010301
APA StyleYang, X., Li, S., Zhu, C., Dong, B., & Xu, H. (2022). Simulating Urban Expansion Based on Ecological Security Pattern—A Case Study of Hangzhou, China. International Journal of Environmental Research and Public Health, 19(1), 301. https://doi.org/10.3390/ijerph19010301

