Association of the Use of the Mobile Phone with Physical Fitness and Academic Performance: A Cross-Sectional Study
Abstract
1. Introduction
2. Materials and Methods
2.1. Participants
2.2. Measure of Mobile Phone Use
2.3. Physical Fitness Measurement
- Abdominals in 1 min: it consisted of performing the highest number of trunk crunches in 1 min from a supine position on a mat and with the feet attached to a trellis. Repetitions to complete 1 min of exercise were recorded.
- 2 kg overhead medicine-ball throw: it is based on throwing a medicine ball over the head as far as possible by extension–flexion of the trunk and upper limbs. The medicine-ball throws were performed using a 2 kg rubber medicine ball. Each throw was measured for distance.
- Standing Long Jump Test (Broad jump). A tape measure was employed to measure the maximum horizontal distance jumped. The student stood behind a line marked on the ground with feet together. A 2-foot take-off and landing was performed, with a swing of the arms and bend of the knees to provide forward drive. The subject attempted to jump as far as possible, landing on both feet without falling backwards. Each jump was measured for distance.
- 50 m sprint: students performed 50 m runs at a maximum pace. Time to complete the 50 m run was recorded. The instructions given to start were a countdown from “ready, 3, 2, 1, go.”
- Trunk flexion test: it was based on performing a flexion of the body by bringing the arms back between the legs without bouncing. The objective was to analyse the flexibility of the trunk and lower extremities. Each attempt was measured for distance.
- 10 × 5 m shuttle run test (Agility test): Subject was required to run back and forth as fast as possible 10 times, along a 5 m course. Time to complete the agility test was recorded.
2.4. Academic Performance
2.5. Statistical Analysis
3. Results
3.1. CERM Results
3.2. Physical Fitness
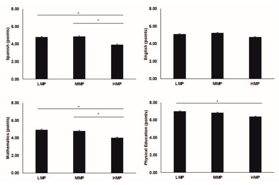
3.3. Academic Performance
3.4. PF and Academic Variables Relationship
4. Discussion
5. Conclusions
Author Contributions
Funding
Institutional Review Board Statement
Informed Consent Statement
Data Availability Statement
Acknowledgments
Conflicts of Interest
References
- Valkenburg, P.M.; Peter, J. Social Consequences of the Internet for Adolescents: A Decade of Research. Curr. Dir. Psychol. Sci. 2009, 18, 1–5. [Google Scholar] [CrossRef]
- Yang, S.Y.; Chen, M.D.; Huang, Y.C.; Lin, C.Y.; Chang, J.H. Association between Smartphone Use and Musculoskeletal Discomfort in Adolescent Students. J. Community Health 2017, 42, 423–430. [Google Scholar] [CrossRef]
- Billieux, J. Problematic use of the mobile phone: A literature review and a pathways model. Curr. Psychiatry Rev. 2012, 8, 299–307. [Google Scholar] [CrossRef]
- Kates, A.W.; Wu, H.; Coryn, C.L. The effects of mobile phone use on academic performance: A meta-analysis. Comput. Educ. 2018, 127, 107–112. [Google Scholar] [CrossRef]
- Sánchez-Carbonell, X.; Beranuy, M.; Castellana, M.; Chamarro, A.; Oberst, U. La adicción a Internet y al móvil:¿ Moda o trastorno? Adicciones 2008, 20, 149–159. [Google Scholar] [CrossRef]
- Czyż, S.H.; Toriola, A.L.; Starościak, W.; Lewandowski, M.; Paul, Y.; Oyeyemi, A.L. Physical Fitness, Physical Activity, Sedentary Behavior, or Diet—What Are the Correlates of Obesity in Polish School Children? Int. J. Environ. Res. Public Health 2017, 14, 664. [Google Scholar] [CrossRef]
- Poitras, V.J.; Gray, C.E.; Borghese, M.M.; Carson, V.; Chaput, J.-P.; Janssen, I.; Katzmarzyk, P.T.; Pate, R.R.; Connor Gorber, S.; Kho, M.E.; et al. Systematic review of the relationships between objectively measured physical activity and health indicators in school-aged children and youth. Appl. Physiol. Nutr. Metab. 2016, 41, S197–S239. [Google Scholar] [CrossRef]
- Henriksson, P.; Cuenca-García, M.; Labayen, I.; Esteban-Cornejo, I.; Henriksson, H.; Kersting, M.; Vanhelst, J.; Widhalm, K.; Gottrand, F.; Moreno, L.A.; et al. Diet quality and attention capacity in European adolescents: The Healthy Lifestyle in Europe by Nutrition in Adolescence (HELENA) study. Br. J. Nutr. 2017, 117, 1587–1595. [Google Scholar] [CrossRef]
- Johnsen, N.; Toftager, M.; Melkevik, O.; Holstein, B.E.; Rasmussen, M. Trends in social inequality in physical inactivity among Danish adolescents 1991–2014. SSM Popul. Health 2017, 3, 534–538. [Google Scholar] [CrossRef]
- Carson, V.; Hunter, S.; Kuzik, N.; Gray, C.E.; Poitras, V.J.; Chaput, J.-P.; Saunders, T.J.; Katzmarzyk, P.T.; Okely, A.D.; Connor Gorber, S.; et al. Systematic review of sedentary behaviour and health indicators in school-aged children and youth: An update. Appl. Physiol. Nutr. Metab. 2016, 41, S240–S265. [Google Scholar] [CrossRef]
- Lepp, A.; Barkley, J.E.; Sanders, G.J.; Rebold, M.; Gates, P. The relationship between cell phone use, physical and sedentary activity, and cardiorespiratory fitness in a sample of U.S. college students. Int. J. Behav. Nutr. Phys. Act. 2013, 10, 79. [Google Scholar] [CrossRef]
- Shin, D.W.; Yun, J.M.; Shin, J.H.; Kwon, H.; Min, H.Y.; Joh, H.K.; Chung, W.J.; Park, J.H.; Jung, K.T.; Cho, B. Enhancing physical activity and reducing obesity through smartcare and financial incentives: A pilot randomized trial. Obesity 2017, 25, 302–310. [Google Scholar] [CrossRef]
- Ma, S.; Steger, D.G.; Doolittle, P.E.; Stewart, A.C. Improved Academic performance and student perceptions of learning through use of a cell phone-based personal response system. J. Food Sci. Educ. 2018, 17, 27–32. [Google Scholar] [CrossRef]
- Matusitz, J.; McCormick, J. Sedentarism: The Effects of Internet Use on Human Obesity in the United States. Soc. Work Public Health 2012, 27, 250–269. [Google Scholar] [CrossRef]
- Aphamis, G.; Ioannou, Y.; Giannaki, C.D. Physical fitness and obesity levels during an academic year followed by summer holidays: An issue of insufficient time for physical activity. Int. J. Adolesc. Med. Health 2017, 31. [Google Scholar] [CrossRef]
- Alatupa, S.; Pulkki-Råback, L.; Hintsanen, M.; Ravaja, N.; Raitakari, O.T.; Telama, R.; Viikari, J.S.; Keltikangas-Järvinen, L. School performance as a predictor of adulthood obesity: A 21-year follow-up study. Eur. J. Epidemiol. 2010, 25, 267–274. [Google Scholar] [CrossRef]
- Singh, A.; Uijtdewilligen, L.; Twisk, J.W.; van Mechelen, W.; Chinapaw, M.J. Physical activity and performance at school: A systematic review of the literature including a methodological quality assessment. Arch. Pediatrics Adolesc. Med. 2012, 166, 49–55. [Google Scholar] [CrossRef]
- Muñoz-Bullón, F.; Sanchez-Bueno, M.J.; Vos-Saz, A. The influence of sports participation on academic performance among students in higher education. Sport Manag. Rev. 2017, 20, 365–378. [Google Scholar] [CrossRef]
- Tremblay, M.S.; LeBlanc, A.G.; Kho, M.E.; Saunders, T.J.; Larouche, R.; Colley, R.C.; Goldfield, G.; Gorber, S.C. Systematic review of sedentary behaviour and health indicators in school-aged children and youth. Int. J. Behav. Nutr. Phys. Act. 2011, 8, 98. [Google Scholar] [CrossRef]
- Kidokoro, T.; Tanaka, H.; Naoi, K.; Ueno, K.; Yanaoka, T.; Kashiwabara, K.; Miyashita, M. Sex-specific associations of moderate and vigorous physical activity with physical fitness in adolescents. Eur. J. Sport Sci. 2016, 16, 1159–1166. [Google Scholar] [CrossRef]
- Voyer, D.; Voyer, S.D. Gender differences in scholastic achievement: A meta-analysis. Psychol. Bull. 2014, 140, 1174–1204. [Google Scholar] [CrossRef]
- Ishii, K.; Aoyagi, K.; Shibata, A.; Koohsari, M.J.; Carver, A.; Oka, K. Joint Associations of Leisure Screen Time and Physical Activity with Academic Performance in a Sample of Japanese Children. Int. J. Environ. Res. Public Health 2020, 17, 757. [Google Scholar] [CrossRef]
- Jenaro, C.; Flores, N.; Gómez-Vela, M.; González-Gil, F.; Caballo, C. Problematic internet and cell-phone use: Psychological, behavioral, and health correlates. Addict. Res. Theory 2007, 15, 309–320. [Google Scholar] [CrossRef]
- Fargues, M.B.; Lusar, A.C.; Jordania, C.G.; Sánchez, X.C. Validación de dos escalas breves para evaluar la adicción a Internet y el abuso de móvil. Psicothema 2009, 21, 480–485. [Google Scholar]
- Polo del Rio, M.I.; Mendo Lazaro, S.; Leon del Barco, B.; Felipe Castano, E. Mobile Abuse in University Students and profiles of victimization and aggression. Adicciones 2017, 29, 245–255. [Google Scholar]
- Muñoz-Miralles, R.; Ortega-González, R.; López-Morón, M.R.; Batalla-Martínez, C.; Manresa, J.M.; Montellà-Jordana, N.; Chamarro, A.; Carbonell, X.; Torán-Monserrat, P. The problematic use of Information and Communication Technologies (ICT) in adolescents by the cross sectional JOITIC study. BMC Pediatrics 2016, 16, 140. [Google Scholar] [CrossRef]
- Instituto de Ciencias de la Educación Física y el Deporte. Eurofit: Test Europeo de Aptitud Física; Ministerio de Educación y Ciencia: Madrid, Spain, 1992. [Google Scholar]
- Castro-Piñero, J.; Artero, E.G.; España-Romero, V.; Ortega, F.B.; Sjöström, M.; Suni, J.; Ruiz, J.R. Criterion-related validity of field based fitness tests in youth: A systematic review. Br. J. Sports Med. 2010, 44, 934–943. [Google Scholar] [CrossRef]
- Rueda, Á.; Frías, G.; Quintana, R.; Portilla, J. La Condición Física en la Educación Secundaria Obligatoria: Una Propuesta de Desarrollo Práctico Hacia la Autonomía del Alumnado; INDE Publicaciones: Barcelona, Spain, 2001. [Google Scholar]
- Sánchez, D.B. Evaluar en Educación Física; INDE Publicaciones: Barcelona, Spain, 2003. [Google Scholar]
- Cohen, J. Statistical Power Analysis for the Behavioral Sciences; Routledge: London, UK, 2013. [Google Scholar]
- Garcés, C.; de Oya, I.; López-Simón, L.; Cano, B.; Schoppen, S.; Gil, A.; de Oya, M. Hormone levels in 12-to 15-year-old boys and girls in Spain and their relationship with anthropometric variables. Clin. Biochem. 2008, 41, 621–624. [Google Scholar] [CrossRef]
- Ryman-Augustsson, S.; Bersås, E.; Magnusson-Thomas, E.; Sahlberg, M.; Augustsson, J.; Svantesson, U. Gender differences and reliability of selected physical performance tests in young women and men. Adv. Physiother. 2009, 11, 64–70. [Google Scholar] [CrossRef]
- Quatman, C.E.; Ford, K.R.; Myer, G.D.; Hewett, T.E. Maturation leads to gender differences in landing force and vertical jump performance: A longitudinal study. Am. J. Sports Med. 2006, 34, 806–813. [Google Scholar] [CrossRef]
- Tambolini, R.; Ambruosi, P.; Fischetti, F. Negative effects of smartphone use on physical and technical performance of young Footballers. J. Phys. Educ. Sport 2017, 17, 2495–2501. [Google Scholar]
- Stephens, J.; Allen, J. Mobile phone interventions to increase physical activity and reduce weight: A systematic review. J. Cardiovasc. Nurs. 2013, 28, 320. [Google Scholar] [CrossRef] [PubMed]
- Barkley, J.E.; Lepp, A. Mobile phone use among college students is a sedentary leisure behavior which may interfere with exercise. Comput. Hum. Behav. 2016, 56, 29–33. [Google Scholar] [CrossRef]
- Hsieh, S.-S.; Tsai, J.-R.; Chang, S.-H.; Cheng, C.-F.; Sung, Y.-T.; Hung, T.-M. The Relations between 3-year Changes in Physical Fitness and Academic Performance in Nationally Representative Sample of Junior High School Students. Sci. Rep. 2018, 8, 1–8. [Google Scholar] [CrossRef] [PubMed]
- Chang, E.C.-H.; Chu, C.-H.; Karageorghis, C.I.; Wang, C.-C.; Tsai, J.H.-C.; Wang, Y.-S.; Chang, Y.-K. Relationship between mode of sport training and general cognitive performance. J. Sport Health Sci. 2017, 6, 89–95. [Google Scholar] [CrossRef] [PubMed]



| Group | Boys | Girls | Pairwise Comparisons (Gender) | Interaction (Gender × Mobile Use) | |||
|---|---|---|---|---|---|---|---|
| ∆ | 95%-CI | ES | F | p | |||
| Abdominals Test | |||||||
| LMP | 7.06 ± 2.43 | 6.57 ± 2.36 | 0.49 | −0.34 to 1.33 | 0.21 | 4.6 | <0.001 |
| MMP | 6.86 ± 2.32 † | 6.16 ± 2.18 | 0.70 | 0.14 to 1.25 | 0.31 | ||
| HMP | 5.32 ± 2.84 a,b | 5.47 ± 2.18 | 0.15 | −1.35 to 1.05 | 0.06 | ||
| Medicine Ball Throw | |||||||
| LMP | 6.34 ± 2.24 † | 5.28 ± 1.86 | 1.06 | 0.29 to 1.82 | 0.51 | 11.3 | <0.001 |
| MMP | 6.49 ± 2.52 † | 5.02 ± 1.68 | 1.37 | 0.97 to 1.98 | 0.69 | ||
| HMP | 5.12 ± 2.55 a,b | 4.38 ± 1.35 | 0.74 | −0.36 to 1.84 | 0.36 | ||
| Broad Jump | |||||||
| LMP | 6.97 ± 2.92 † | 5.46 ± 2.96 | 1.51 | 0.56 to 2.46 | 0.51 | 10.0 | <0.001 |
| MMP | 6.76 ± 2.85 † | 5.02 ± 2.19 | 1.74 | 1.10 to 2.37 | 0.68 | ||
| HMP | 5.40 ± 2.57 a | 4.60 ± 2.02 | 0.80 | −0.57 to 2.16 | 0.35 | ||
| 50 m Sprint | |||||||
| LMP | 6.84 ± 2.52 † | 5.74 ± 2.58 | 1.10 | 0.23 to 1.97 | 0.43 | 5.1 | <0.001 |
| MMP | 7.02 ± 2.42 † | 5.90 ± 2.37 | 1.12 | 0.54 to 1.70 | 0.47 | ||
| HMP | 6.00 ± 2.00 | 5.62 ± 2.35 | 0.38 | −0.87 to 1.63 | 0.18 | ||
| Deep Trunk Flexion | |||||||
| LMP | 7.23 ± 2.58 | 7.46 ± 2.47 | 0.23 | −1.08 to 0.62 | 0.09 | 3.3 | 0.007 |
| MMP | 7.19 ± 2.38 | 6.72 ± 2.09 | 0.47 | −0.90 to 1.03 | 0.21 | ||
| HMP | 5.56 ± 2.72 a,b | 6.50 ± 2.08 | 0.94 | −2.15 to 0.27 | 0.39 | ||
| Agility Test | |||||||
| LMP | 8.23 ± 2.08 † | 7.30 ± 2.57 | 0.97 | 0.12 to 1.74 | 0.40 | 5.5 | <0.001 |
| MMP | 8.19 ± 2.18 † | 7.01 ± 2.36 | 0.81 | 0.64 to 1.72 | 0.52 | ||
| HMP | 7.16 ± 1.65 | 7.09 ± 2.06 | 0.07 | −1.09 to 1.23 | 0.04 | ||
| Group | Boys | Girls | Pairwise Comparisons (Gender) | Interaction (Gender × Mobile Use) | |||
|---|---|---|---|---|---|---|---|
| ∆ | 95%-CI | ES | F | p | |||
| Spanish | |||||||
| LMP | 4.16 ± 2.20 † | 5.50 ± 2.13 | 1.34 | −2.05 to −0.64 | 0.62 | 8.7 | <0.001 |
| MMP | 4.48 ± 2.12 † | 5.27 ± 1.94 | 0.79 | −1.27 to −0.32 | 0.39 | ||
| HMP | 3.11 ± 1.57 b,† | 4.54 ± 2.02 | 1.43 | −2.46 to −0.42 | 0.79 | ||
| Mathematics | |||||||
| LMP | 4.69 ± 2.23 | 5.19 ± 2.22 | 0.50 | −1.24 to 0.23 | 0.23 | 2.0 | <0.001 |
| MMP | 4.71 ± 2.19 | 4.82 ± 2.01 | 0.11 | −0.60 to 0.39 | 0.05 | ||
| HMP | 3.93 ± 2.04 | 4.06 ± 1.68 | 0.07 | −1.21 to 0.94 | 0.07 | ||
| English | |||||||
| LMP | 4.86 ± 2.09 | 5.32 ± 1.99 | 0.46 | −1.12 to 0.21 | 0.23 | 3.1 | 0.010 |
| MMP | 4.96 ± 1.99 † | 5.49 ± 1.78 | 0.53 | −0.97 to −0.87 | 0.28 | ||
| HMP | 4.14 ± 1.72 † | 5.20 ± 1.83 | 1.06 | −0.20 to −0.99 | 0.60 | ||
| Physical Education | |||||||
| LMP | 7.03 ± 1.59 | 6.90 ± 1.57 | 0.13 | −0.38 to 0.64 | 0.08 | 2.3 | 0.047 |
| MMP | 6.69 ± 1.38 | 6.92 ± 1.52 | 0.23 | −0.57 to 0.12 | 0.16 | ||
| HMP | 6.04 ± 1.29 a | 6.66 ± 1.59 | 0.62 | −1.36 to 0.12 | 0.43 | ||
Publisher’s Note: MDPI stays neutral with regard to jurisdictional claims in published maps and institutional affiliations. |
© 2021 by the authors. Licensee MDPI, Basel, Switzerland. This article is an open access article distributed under the terms and conditions of the Creative Commons Attribution (CC BY) license (http://creativecommons.org/licenses/by/4.0/).
Share and Cite
Bravo-Sánchez, A.; Morán-García, J.; Abián, P.; Abián-Vicén, J. Association of the Use of the Mobile Phone with Physical Fitness and Academic Performance: A Cross-Sectional Study. Int. J. Environ. Res. Public Health 2021, 18, 1042. https://doi.org/10.3390/ijerph18031042
Bravo-Sánchez A, Morán-García J, Abián P, Abián-Vicén J. Association of the Use of the Mobile Phone with Physical Fitness and Academic Performance: A Cross-Sectional Study. International Journal of Environmental Research and Public Health. 2021; 18(3):1042. https://doi.org/10.3390/ijerph18031042
Chicago/Turabian StyleBravo-Sánchez, Alfredo, Javier Morán-García, Pablo Abián, and Javier Abián-Vicén. 2021. "Association of the Use of the Mobile Phone with Physical Fitness and Academic Performance: A Cross-Sectional Study" International Journal of Environmental Research and Public Health 18, no. 3: 1042. https://doi.org/10.3390/ijerph18031042
APA StyleBravo-Sánchez, A., Morán-García, J., Abián, P., & Abián-Vicén, J. (2021). Association of the Use of the Mobile Phone with Physical Fitness and Academic Performance: A Cross-Sectional Study. International Journal of Environmental Research and Public Health, 18(3), 1042. https://doi.org/10.3390/ijerph18031042

