Diagnostic Accuracy of Magnetic Resonance Imaging for Sagittal Cervical Spine Alignment: A Retrospective Cohort Study
Abstract
1. Introduction
2. Materials and Methods
2.1. Study Design and Population
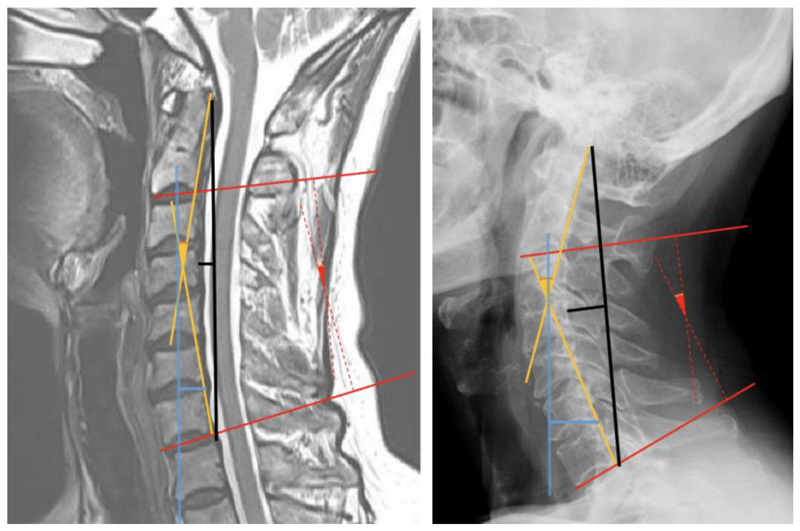
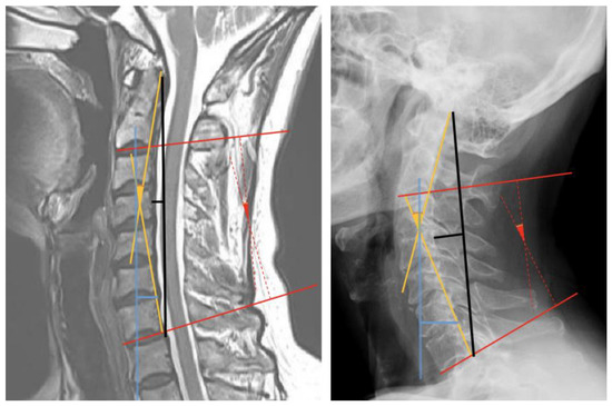
2.2. Measurements
2.3. Statistical Analysis
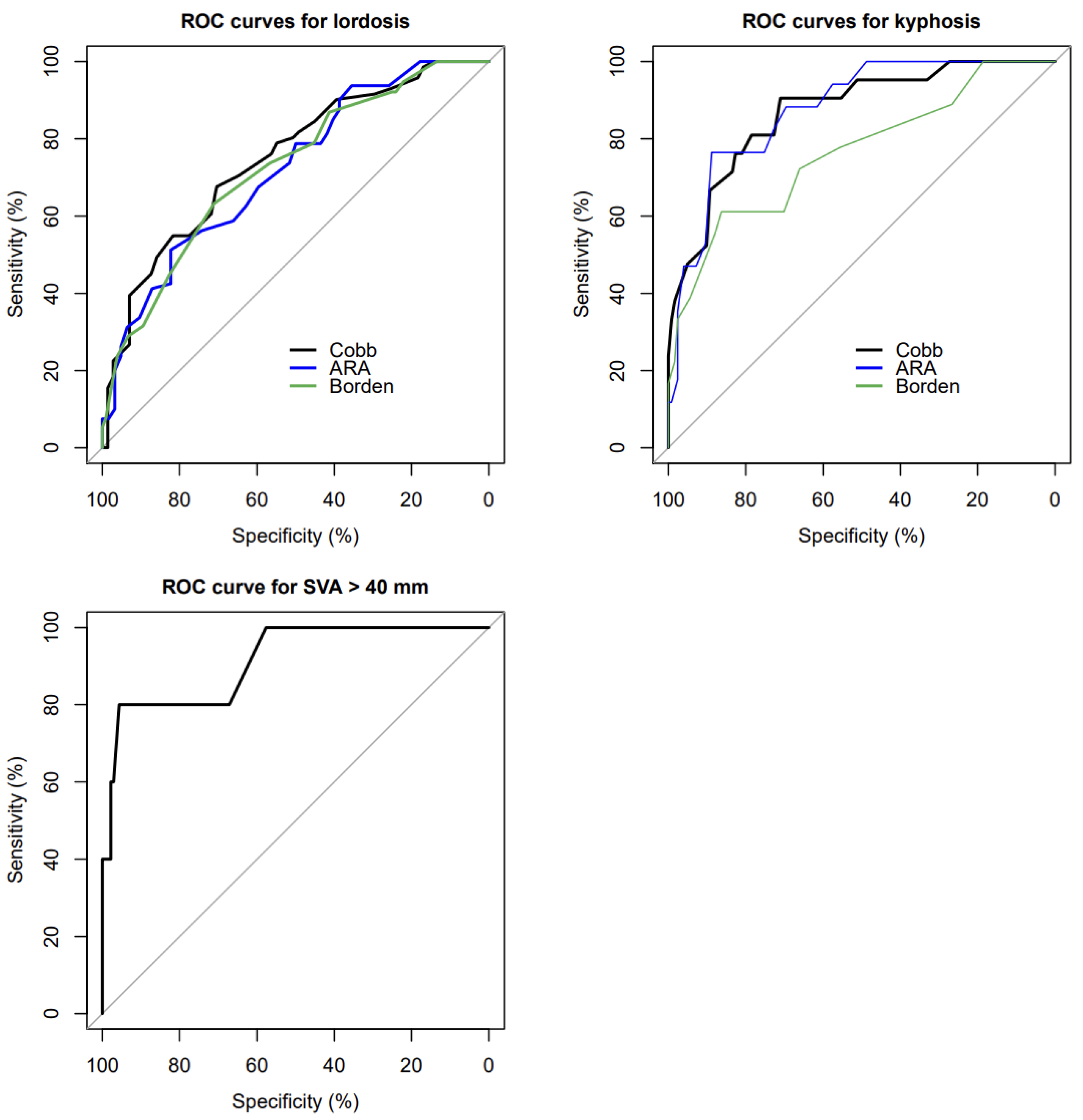
3. Results
4. Discussion
5. Conclusions
Supplementary Materials
Author Contributions
Funding
Institutional Review Board Statement
Informed Consent Statement
Data Availability Statement
Conflicts of Interest
References
- Gao, K.; Zhang, J.; Lai, J.; Liu, W.; Lyu, H.; Wu, Y.; Lin, Z.; Cao, Y. Correlation between cervical lordosis and cervical disc herniation in young patients with neck pain. Medicine 2019, 98, e16545. [Google Scholar] [CrossRef]
- Maruyama, K.; Matsuyama, Y.; Yanase, M.; Sakai, Y.; Katayama, Y.; Imagama, S.; Ito, Z.; Wakao, N.; Yukawa, Y.; Ito, K.; et al. The relationship between the type of destructive spondyloarthropathy and its 10 years ago cervical spine alignment. Eur. Spine J. 2009, 18, 900–904. [Google Scholar] [CrossRef][Green Version]
- Ao, S.; Liu, Y.; Wang, Y.; Zhang, H.; Leng, H. Cervical kyphosis in asymptomatic populations: Incidence, risk factors, and its relationship with health-related quality of life. J. Orthop. Surg. Res. 2019, 14, 322. [Google Scholar] [CrossRef] [PubMed]
- Shin, Y.; Han, K.; Lee, Y.H. Temporal Trends in Cervical Spine Curvature of South Korean Adults Assessed by Deep Learning System Segmentation, 2006–2018. JAMA Netw. Open 2020, 3, e2020961. [Google Scholar] [CrossRef]
- Ames, C.P.; Blondel, B.; Scheer, J.K.; Schwab, F.J.; Le Huec, J.-C.; Massicotte, E.M.; Patel, A.A.; Traynelis, V.C.; Kim, H.J.; Shaffrey, C.I.; et al. Cervical Radiographical Alignment: Comprehensive Assessment Techniques and Potential Importance in Cervical Myelopathy. Spine (Phila Pa 1976) 2013, 38, S149–S160. [Google Scholar] [CrossRef] [PubMed]
- Chen, C.-J.; Lyu, R.-K.; Lee, S.-T.; Wong, Y.-C.; Wang, L.-J. Intramedullary high signal intensity on T2-weighted MR images in cervical spondylotic myelopathy: Prediction of prognosis with type of intensity. Radiology 2001, 221, 789–794. [Google Scholar] [CrossRef] [PubMed]
- Linsenmaier, U.; Deak, Z.; Krtakovska, A.; Ruschi, F.; Kammer, N.; Wirth, S.; Reiser, M.; Geyer, L. Emergency radiology: Straightening of the cervical spine in MDCT after trauma—A sign of injury or normal variant? Br. J. Radiol. 2016, 89, 20150996. [Google Scholar] [CrossRef]
- Park, J.H.; Cho, C.B.; Song, J.H.; Kim, S.W.; Ha, Y.; Oh, J.K. T1 slope and cervical sagittal alignment on cervical CT radiographs of asymptomatic persons. J. Korean Neurosurg. Soc. 2013, 53, 356. [Google Scholar] [CrossRef] [PubMed]
- Borden, A.G.; Rechtman, A.M.; Gershon-Cohen, J. The normal cervical lordosis. Radiology 1960, 74, 806–809. [Google Scholar] [CrossRef] [PubMed]
- Bossuyt, P.M.; Reitsma, J.B.; Bruns, D.E.; Gatsonis, C.A.; Glasziou, P.P.; Irwig, L.; Lijmer, J.G.; Moher, D.; Rennie, D.; de Vet, H.C.; et al. STARD 2015: An Updated List of Essential Items for Reporting Diagnostic Accuracy Studies. Radiology 2015, 277, 826–832. [Google Scholar] [CrossRef] [PubMed]
- Gore, D.R.; Sepic, S.B.; Gardner, G.M.; Murray, M.P. Neck pain: A long-term follow-up of 205 patients. Spine (Phila Pa 1976) 1987, 12, 1–5. [Google Scholar] [CrossRef] [PubMed]
- Lee, J.S.; Son, D.W.; Lee, S.H.; Kim, D.H.; Lee, S.W.; Song, G.S. The predictable factors of the postoperative kyphotic change of sagittal alignment of the cervical spine after the laminoplasty. J. Korean Neurosurg. Soc. 2017, 60, 577. [Google Scholar] [CrossRef] [PubMed]
- Tang, J.A.; Scheer, J.K.; Smith, J.S.; Deviren, V.; Bess, S.; Hart, R.A.; Lafage, V.; Shaffrey, C.I.; Schwab, F.; Ames, C.P. The impact of standing regional cervical sagittal alignment on outcomes in posterior cervical fusion surgery. Neurosurgery 2012, 71, 662–669, discussion 669. [Google Scholar] [CrossRef]
- DeLong, E.R.; DeLong, D.M.; Clarke-Pearson, D.L. Comparing the areas under two or more correlated receiver operating characteristic curves: A nonparametric approach. Biometrics 1988, 837–845. [Google Scholar] [CrossRef]
- Karabag, H.; Iplikcioglu, A.C. The Assessment of Upright Cervical Spinal Alignment Using Supine MRI Studies. Clin. Spine Surg. 2017, 30, E892–E895. [Google Scholar] [CrossRef]
- Oe, S.; Togawa, D.; Nakai, K.; Yamada, T.; Arima, H.; Banno, T.; Yasuda, T.; Kobayasi, S.; Yamato, Y.; Hasegawa, T. The influence of age and sex on cervical spinal alignment among volunteers aged over 50. Spine 2015, 40, 1487–1494. [Google Scholar] [CrossRef]
- Alfaitouri, S.; Altaboli, A. The Effect of Posture and Duration of Smartphone Usage on Neck Flexion Angle. Proc. Hum. Factors Erg. Soc. Annu. Meet. 2019, 63, 962–966. [Google Scholar] [CrossRef]
- Guan, X.; Fan, G.; Wu, X.; Zeng, Y.; Su, H.; Gu, G.; Zhou, Q.; Gu, X.; Zhang, H.; He, S. Photographic measurement of head and cervical posture when viewing mobile phone: A pilot study. Eur. Spine J. 2015, 24, 2892–2898. [Google Scholar] [CrossRef]
- Koh, M.J.; Park, S.Y.; Woo, Y.S.; Kang, S.H.; Park, S.H.; Chun, H.J.; Park, E.J. Assessing the prevalence of recurrent neck and shoulder pain in Korean high school male students: A cross-sectional observational study. Korean J. Pain 2012, 25, 161. [Google Scholar] [CrossRef]
- Lee, S.; Kang, H.; Shin, G. Head flexion angle while using a smartphone. Ergonomics 2015, 58, 220–226. [Google Scholar] [CrossRef] [PubMed]
- Barrett, J.M.; McKinnon, C.; Callaghan, J.P. Cervical spine joint loading with neck flexion. Ergonomics 2020, 63, 101–108. [Google Scholar] [CrossRef] [PubMed]
- Przybyla, A.S.; Skrzypiec, D.; Pollintine, P.; Dolan, P.; Adams, M.A. Strength of the Cervical Spine in Compression and Bending. Spine 2007, 32, 1612–1620. [Google Scholar] [CrossRef] [PubMed]
- Tang, R.; Ye, I.B.; Cheung, Z.B.; Kim, J.S.; Cho, S.K. Age-related Changes in Cervical Sagittal Alignment: A Radiographic Analysis. Spine (Phila Pa 1976) 2019, 44, E1144–E1150. [Google Scholar] [CrossRef] [PubMed]





| Characteristics | Total | Female | Male | p |
|---|---|---|---|---|
| (n = 142) | (n = 70) | (n = 72) | ||
| Age (y) | 52.5 (5.0, 62.0) | 54.5 (47.0, 63.0) | 51.5 (43.5, 61.0) | 0.18 |
| Height (cm) | 162.9 ± 9.0 | 156.3 ± 6.0 | 169.5 ± 6.4 | <0.001 |
| Weight (kg) | 63.8 (55.4, 71.0) | 58.9 ± 10.3 | 70.6 ± 12.5 | <0.001 |
| BMI (kg/m2) | 24.3 ± 3.7 | 24.1 ± 3.7 | 24.5 ± 3.8 | 0.636 |
| Interval (day) * | 4.0 (0.0, 10.0) | 3.0 (0.0, 9.0) | 6.0 (0.0, 11.0) | 0.180 |
| Radiography | ||||
| C2-7 Cobb angle (°) | −10.8 ± 10.3 | −11.6 ± 10.3 | −10.0 ± 10.2 | 0.364 |
| C2-7 ARA (°) | −12.6 ± 10.8 | −13.8 ± 10.7 | −11.5 ± 10.8 | 0.204 |
| Borden’s method (mm) | 5.0 (2.0, 8.0) | 5.0 (2.0, 8.0) | 4.0 (2.5, 7.5) | 0.502 |
| C2-7 SVA (mm) | 19.4 ± 10.1 | 16.0 ± 8.1 | 22.7 ± 10.8 | <0.001 |
| MRI | ||||
| C2-7 Cobb angle (°) | −7.4 ± 10.8 | −6.1 ± 11.3 | −8.6 ± 10.2 | 0.173 |
| C2-7 ARA (°) | −10.0 (−17.0, −2.0) | −8.9 ± 11.2 | −9.8 ± 11.5 | 0.666 |
| Borden’s method (mm) | 3.0 (0.0, 4.0) | 2.5 (0.0, 4.0) | 3.0 (0.0, 5.0) | 0.286 |
| C2-7 SVA (mm) | 10.0 (7.0, 13.0) | 10.0 (7.0, 13.0) | 10.0 (6.0, 12.5) | 0.486 |
| Alignment | Measurements | AUC | SE | 95% CI | p |
|---|---|---|---|---|---|
| Lordosis | C2-7 Cobb angle | 0.749 | 0.041 | 0.669 to 0.828 | <0.001 |
| C2-7 ARA | 0.720 | 0.043 | 0.637 to 0.804 | <0.001 | |
| Borden’s method | 0.723 | 0.048 | 0.629 to 0.816 | <0.001 | |
| Kyphosis | C2-7 Cobb angle | 0.871 | 0.042 | 0.789 to 0.954 | <0.001 |
| C2-7 ARA | 0.877 | 0.040 | 0.799 to 0.955 | <0.001 | |
| Borden’s method | 0.765 | 0.068 | 0.632 to 0.897 | <0.001 | |
| SVA > 40 mm | C2-7 SVA | 0.913 | 0.044 | 0.769 to 1.000 | 0.001 |
| Alignment | Measurements | Cut-Off | Sensitivity | Specificity | PPV | NPV | Accuracy |
|---|---|---|---|---|---|---|---|
| C2-7 Cobb angle (°) | −8.5 | 0.676 | 0.704 | 0.696 | 0.685 | 0.690 | |
| Lordosis | C2-7 ARA (°) | −12.5 | 0.512 | 0.823 | 0.788 | 0.567 | 0.648 |
| Borden’s method (mm) | 3.5 | 0.632 | 0.712 | 0.444 | 0.841 | 0.690 | |
| C2-7 Cobb angle (°) | −4.5 | 0.905 | 0.711 | 0.352 | 0.977 | 0.739 | |
| Kyphosis | C2-7 ARA (°) | 0.5 | 0.765 | 0.888 | 0.481 | 0.965 | 0.873 |
| Borden’s method (mm) | −1.5 | 0.611 | 0.863 | 0.393 | 0.939 | 0.831 | |
| SVA > 40 mm | C2-7 SVA (mm) | 19.5 | 0.800 | 0.956 | 0.400 | 0.992 | 0.951 |
Publisher’s Note: MDPI stays neutral with regard to jurisdictional claims in published maps and institutional affiliations. |
© 2021 by the authors. Licensee MDPI, Basel, Switzerland. This article is an open access article distributed under the terms and conditions of the Creative Commons Attribution (CC BY) license (https://creativecommons.org/licenses/by/4.0/).
Share and Cite
Oh, C.; Noh, C.; Lee, J.; Lee, S.; Hong, B.; Ko, Y.; Lim, C.; Lee, S.Y.; Kim, Y.-H. Diagnostic Accuracy of Magnetic Resonance Imaging for Sagittal Cervical Spine Alignment: A Retrospective Cohort Study. Int. J. Environ. Res. Public Health 2021, 18, 13033. https://doi.org/10.3390/ijerph182413033
Oh C, Noh C, Lee J, Lee S, Hong B, Ko Y, Lim C, Lee SY, Kim Y-H. Diagnostic Accuracy of Magnetic Resonance Imaging for Sagittal Cervical Spine Alignment: A Retrospective Cohort Study. International Journal of Environmental Research and Public Health. 2021; 18(24):13033. https://doi.org/10.3390/ijerph182413033
Chicago/Turabian StyleOh, Chahyun, Chan Noh, Jieun Lee, Sangmin Lee, Boohwi Hong, Youngkwon Ko, Chaeseong Lim, Sun Yeul Lee, and Yoon-Hee Kim. 2021. "Diagnostic Accuracy of Magnetic Resonance Imaging for Sagittal Cervical Spine Alignment: A Retrospective Cohort Study" International Journal of Environmental Research and Public Health 18, no. 24: 13033. https://doi.org/10.3390/ijerph182413033
APA StyleOh, C., Noh, C., Lee, J., Lee, S., Hong, B., Ko, Y., Lim, C., Lee, S. Y., & Kim, Y.-H. (2021). Diagnostic Accuracy of Magnetic Resonance Imaging for Sagittal Cervical Spine Alignment: A Retrospective Cohort Study. International Journal of Environmental Research and Public Health, 18(24), 13033. https://doi.org/10.3390/ijerph182413033

