Lifestyle Modification Program on a Metabolically Healthy Elderly Population with Overweight/Obesity, Young-Old vs. Old-Old. CONSEQUENCES of COVID-19 Lockdown in This Program
Abstract
:1. Introduction
2. Subjects and Methods
2.1. Study Design and Participants
2.2. Written Informed Consent
2.3. Initial Visit
2.4. Diet
2.5. Physical Activity (PA)
2.6. Follow-Up Medical Visit
2.7. Statistical Analysis
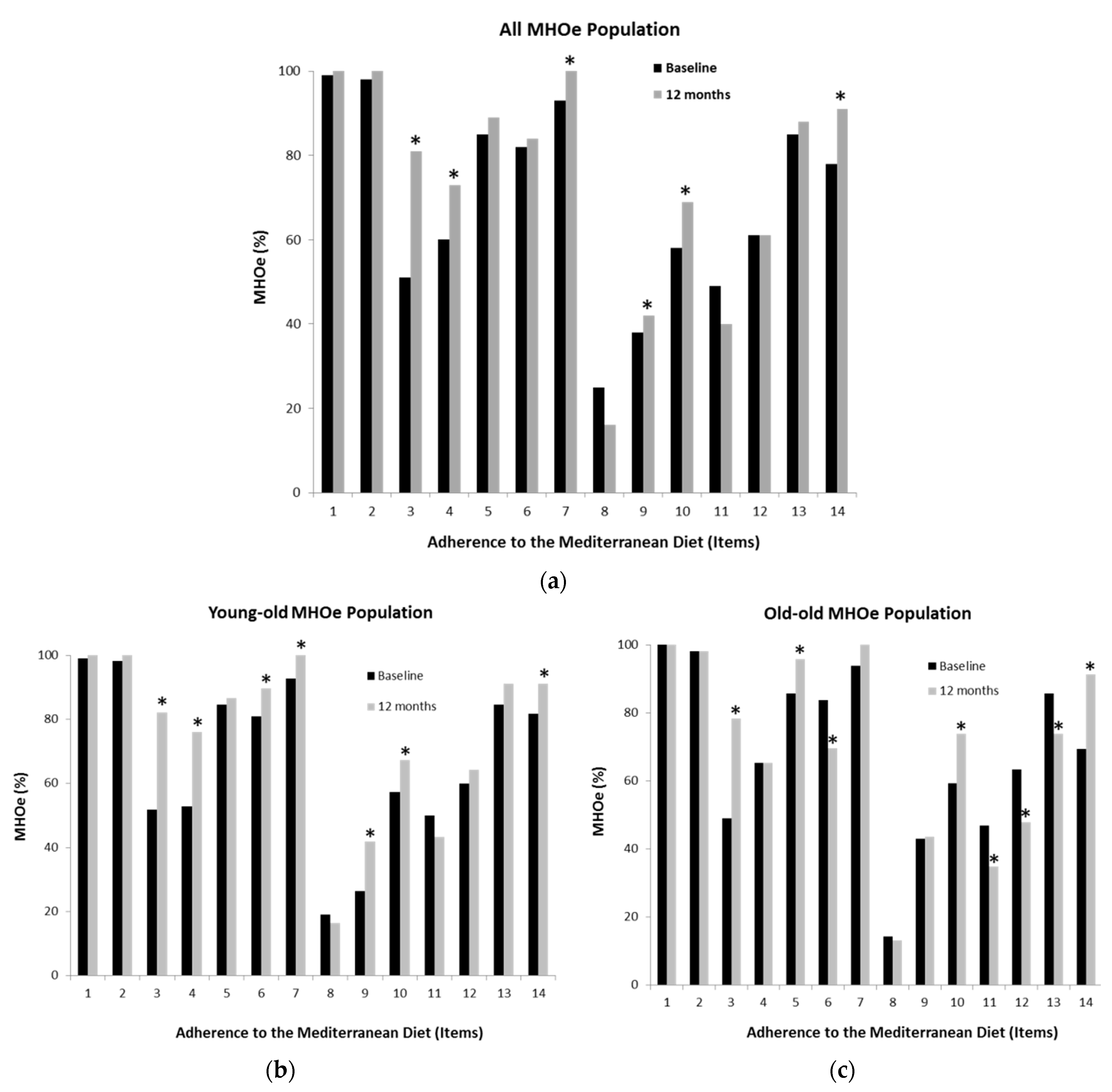
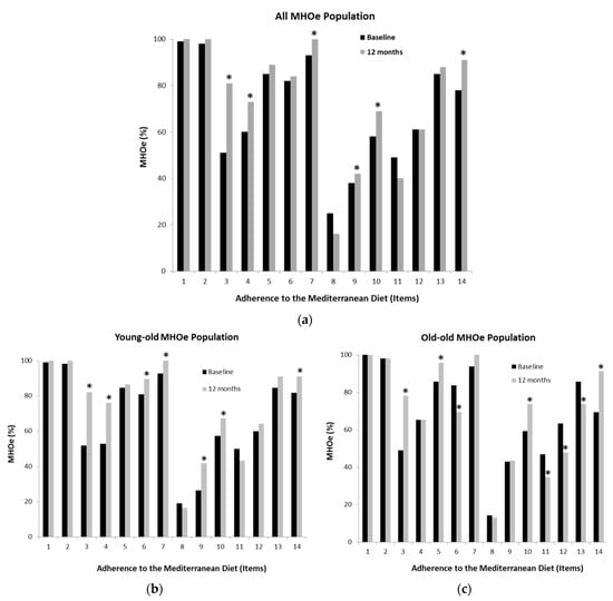
3. Results
4. Discussion
5. Conclusions
6. Limits
Author Contributions
Funding
Institutional Review Board Statement
Informed Consent Statement
Data Availability Statement
Acknowledgments
Conflicts of Interest
References
- Mathus-Vliegen, E.M.H.; Basdevant, A.; Finer, N.; Hainer, V.; Hauner, H.; Micic, D.; Maislos, M.; Roman, G.; Schutz, Y.; Tsigos, C.; et al. Prevalence, pathophysiology, health consequences and treatment options of obesity in the elderly: A guideline. Obes. Facts 2012, 5, 460–483. [Google Scholar] [CrossRef] [PubMed]
- Gutiérrez-Fisac, J.L.; León-Muñoz, L.M.; Regidor, E.; Banegas, J.; Rodríguez-Artalejo, F. Trends in obesity and abdominal obesity in the older adult population of spain (2000–2010). Obes. Facts 2013, 6, 1–8. [Google Scholar] [CrossRef] [PubMed] [Green Version]
- Mitchell, R.J.; Lord, S.R.; Harvey, L.A.; Close, J.C. Associations between obesity and overweight and fall risk, health status and quality of life in older people. Aust. N. Z. J. Public Health 2014, 38, 13–18. [Google Scholar] [CrossRef] [PubMed]
- Wu, C.-Y.; Chou, Y.-C.; Huang, N.; Chou, Y.-J.; Hu, H.-Y.; Li, C.-P. Association of body mass index with all-cause and cardiovascular disease mortality in the elderly. PLoS ONE 2014, 9, e102589. [Google Scholar] [CrossRef] [Green Version]
- Available online: https://www.statista.com/statistics/773779/share-of-overweight-population-in-spain-by-gender-and-age-group/ (accessed on 12 November 2021).
- Gomez-Cabello, A.; Pedrero-Chamizo, R.; Olivares, P.R.; Luzardo, L.; Juez-Bengoechea, A.; Mata, E.; Albers, U.; Aznar, S.; Villa, G.; Espino, L.; et al. Prevalence of overweight and obesity in non-institutionalized people aged 65 or over from Spain: The elderly EXERNET multi-centre study. Obes. Rev. 2011, 12, 583–592. [Google Scholar] [CrossRef] [PubMed]
- Available online: https://www.who.int/health-topics/obesity#tab=tab_1 (accessed on 12 November 2021).
- Ortega, F.B.; Lee, D.-C.; Katzmarzyk, P.; Ruiz, J.; Sui, X.; Church, T.S.; Blair, S.N. The intriguing metabolically healthy but obese phenotype: Cardiovascular prognosis and role of fitness. Eur. Heart J. 2013, 34, 389–397. [Google Scholar] [CrossRef]
- Trichopoulou, A.; Costacou, T.; Bamia, C.; Trichopoulos, D. Adherence to a Mediterranean diet and survival in a Greek population. N. Engl. J. Med. 2003, 348, 2599–2608. [Google Scholar] [CrossRef] [Green Version]
- InterAct Consortium; Romaguera, D.; Guevara, M.; Norat, T.; Langenberg, C.; Forouhi, N.G.; Sharp, S.; Slimani, N.; Schulze, M.B.; Buijsse, B.; et al. Mediterranean diet and type 2 diabetes risk in the European Prospective Investigation into Cancer and Nutrition (EPIC) study: The InterAct project. Diabetes Care 2011, 34, 1913–1918. [Google Scholar] [CrossRef] [Green Version]
- Sofi, F.; Cesari, F.; Abbate, R.; Gensini, G.F.; Casini, A. Adherence to Mediterranean diet and health status: Meta-analysis. BMJ 2008, 337, a1344. [Google Scholar] [CrossRef] [Green Version]
- Brooks, S.K.; Webster, R.; Smith, L.E.; Woodland, L.; Wessely, S.; Greenberg, N.; Rubin, G.J. The psychological impact of quarantine and how to reduce it: Rapid review of the evidence. Lancet 2020, 395, 912–920. [Google Scholar] [CrossRef] [Green Version]
- Gorenko, J.A.; Moran, C.; Flynn, M.; Dobson, K.; Konnert, C. Social Isolation and Psychological Distress Among Older Adults Related to COVID-19: A Narrative Review of Remotely-Delivered Interventions and Recommendations. J. Appl. Gerontol. 2021, 40, 3–13. [Google Scholar] [CrossRef]
- Rodríguez-González, R.; Facal, D.; Martínez-Santos, A.-E.; Gandoy-Crego, M. Psychological, Social and Health-Related Challenges in Spanish Older Adults During the Lockdown of the COVID-19 First Wave. Front. Psychiatry 2020, 11, 588949. [Google Scholar] [CrossRef]
- Remuzzi, A.; Remuzzi, G. COVID-19 and Italy: What next? Lancet 2020, 395, 1225–1228. [Google Scholar] [CrossRef]
- Pérez, L.; Castellano-Tejedor, C.; Cesari, M.; Soto-Bagaria, L.; Ars, J.; Zambom-Ferraresi, F.; Baró, S.; Díaz-Gallego, F.; Vilaró, J.; Enfedaque, M.; et al. Depressive Symptoms, Fatigue and Social Relationships Influenced Physical Activity in Frail Older Community-Dwellers during the Spanish Lockdown due to the COVID-19 Pandem. Int. J. Environ. Res. Public Health 2021, 18, 808. [Google Scholar] [CrossRef]
- Kimura, T.; Namkoong, H. Susceptibility of the obese population to COVID-19. Int. J. Infect. Dis. 2020, 101, 380–381. [Google Scholar] [CrossRef] [PubMed]
- Popkin, B.M.; Du, S.; Green, W.D.; Beck, M.A.; Algaith, T.; Herbst, C.H.; Alsukait, R.F.; Alluhidan, M.; Alazemi, N.; Shekar, M. Individuals with obesity and COVID-19: A global perspective on the epidemiology and biological relationships. Obes. Rev. 2020, 21, e13128. [Google Scholar] [CrossRef] [PubMed]
- Vaduganathan, M.; Vardeny, O.; Michel, T.; McMurray, J.J.; Pfeffer, M.A.; Solomon, S.D. Renin-Angiotensin-Aldosterone System Inhibitors in Patients with COVID-19. N. Engl. J. Med. 2020, 382, 1653–1659. [Google Scholar] [CrossRef]
- Favre, G.; Legueult, K.; Pradier, C.; Raffaelli, C.; Ichai, C.; Iannelli, A.; Redheuil, A.; Lucidarme, O.; Esnault, V. Visceral fat is associated to the severity of COVID-19. Metabolism 2021, 115, 154440. [Google Scholar] [CrossRef]
- Sidor, A.; Rzymski, P. Dietary Choices and Habits during COVID-19 Lockdown: Experience from Poland. Nutrients 2020, 12, 1657. [Google Scholar] [CrossRef]
- Visser, M.; Schaap, L.A.; Wijnhoven, H.A.H. Wijnhoven HAH. Self-Reported Impact of the COVID-19 Pandemic on Nutrition and Physical Activity Behaviour in Dutch Older Adults Living Independently. Nutrients 2020, 12, 3708. [Google Scholar] [CrossRef]
- Pellegrini, M.; Ponzo, V.; Rosato, R.; Scumaci, E.; Goitre, I.; Benso, A.; Belcastro, S.; Crespi, C.; De Michieli, F.; Ghigo, E.; et al. Changes in Weight and Nutritional Habits in Adults with Obesity during the “Lockdown” Period Caused by the COVID-19 Virus Emergency. Nutrients 2020, 12, 2016. [Google Scholar] [CrossRef]
- Gomez-Huelgas, R.; Narankiewicz, D.; Villalobos, A.; Warnberg, J.; Mancera-Romero, J.; Cuesta, A.L.; Tinahones, F.J.; Bernal-Lopez, M.R. Prevalence of metabolically discordant phenotypes in a mediterranean population-The IMAP study. Endocr. Pract. 2013, 19, 758–768. [Google Scholar] [CrossRef]
- Available online: https://apps.who.int/iris/bitstream/handle/10665/70889/WHO_IER_HSI_12.1_eng.pdf (accessed on 12 November 2021).
- Hernán Jiménez, O.; Ramírez-Vélez, R. Strength training improves insulin sensitivity and plasma lipid levels without altering body composition in overweight and obese subjects. Endocrinol. Nutr. 2011, 58, 169–174. [Google Scholar] [CrossRef]
- de la Iglesia, J.M.; Vilches, M.O.; Herrero, R.D.; Taberné, C.A.; Colomer, C.A.; Blanco, M.A. Approach to ultra-short versions of the Yesavage questionnaire for the diagnosis of depression. Aten Primaria. 2005, 35, 14–21. [Google Scholar] [CrossRef] [Green Version]
- Yesavage, J.A.; Brink, T.L.; Rose, T.L.; Lum, O.; Huang, V.; Adey, M.; Leirer, V.O. Development and validation of a geriatric depression screening scale: A preliminary report. J. Psychiatr. Res. 1982, 17, 37–49. [Google Scholar] [CrossRef]
- Papadaki, A.; Johnson, L.; Toumpakari, Z.; England, C.; Rai, M.; Toms, S.; Penfold, C.; Zazpe, I.; Martínez-González, M.A.; Feder, G. Validation of the English Version of the 14-Item Mediterranean Diet Adherence Screener of the PREDIMED Study, in People at High Cardiovascular Risk in the UK. Nutrients 2018, 10, 138. [Google Scholar] [CrossRef] [Green Version]
- Rodríguez, I.T.; Ballart, J.F.; Pastor, G.C.; Jordà, E.B.; Val, V.A. Validation of a short questionnaire on frequency of dietary intake: Reproducibility and validity. Nutr. Hosp. 2008, 23, 242–252. [Google Scholar] [PubMed]
- Davis, C.R.; Bryan, J.; Hodgson, J.M.; Murphy, K.J. Definition of the Mediterranean Diet; a Literature Review. Nutrients 2015, 7, 9139–9153. [Google Scholar] [CrossRef]
- Available online: https://healthengine.com.au/info/mediterranean-diet (accessed on 12 November 2021).
- Available online: https://health.gov/our-work/food-nutrition/dietary-reference-intakes-dris (accessed on 12 November 2021).
- Vargas-Molina, S.; Petro, J.L.; Romance, R.; Kreider, R.B.; Schoenfeld, B.J.; Bonilla, D.A.; Benítez-Porres, J. Effects of a ketogenic diet on body composition and strength in trained women. J. Int. Soc. Sports Nutr. 2020, 17, 19. [Google Scholar] [CrossRef] [PubMed] [Green Version]
- Lopez-Garcia, E.; Hagan, K.A.; Fung, T.T.; Hu, F.B.; Rodríguez-Artalejo, F. Mediterranean diet and risk of frailty syndrome among women with type 2 diabetes. Am. J. Clin. Nutr. 2018, 107, 763–771. [Google Scholar] [CrossRef]
- Bauer, J.M. Nutrition in old age-key to maintaining functionality and quality of life. Der Gastroenterol. 2021, 16, 324–331. [Google Scholar] [CrossRef]
- Sepúlveda-Loyola, W.; Rodríguez-Sánchez, I.; Pérez-Rodríguez, P.; Ganz, F.; Torralba, R.; Oliveira, D.V.; Rodríguez-Mañas, L. Impact of Social Isolation Due to COVID-19 on Health in Older People: Mental and Physical Effects and Recommendations. J. Nutr. Health Aging 2020, 24, 938–947. [Google Scholar] [CrossRef]
- Tomaz, S.; Coffee, P.; Ryde, G.; Swales, B.; Neely, K.; Connelly, J.; Kirkland, A.; McCabe, L.; Watchman, K.; Andreis, F.; et al. Loneliness, Wellbeing, and Social Activity in Scottish Older Adults Resulting from Social Distancing during the COVID-19 Pandemic. Int. J. Environ. Res. Public Health 2021, 18, 4517. [Google Scholar] [CrossRef] [PubMed]
- Centres for Disease Control and Prevention (CDC). Coronavirus (COVID-19). Available online: https://www.cdc.gov/coronavirus (accessed on 12 November 2021).
- Simonnet, A.; Chetboun, M.; Poissy, J.; Raverdy, V.; Noulette, J.; Duhamel, A.; Labreuche, J.; Mathieu, D.; Pattou, F.; Jourdain, M.; et al. LICORN and the Lille COVID-19 and Obesity study group. High Prevalence of Obesity in Severe Acute Respiratory Syndrome Coronavirus-2 (SARS-CoV-2) Requiring Invasive Mechanical Ventilation. Obesity 2020, 28, 1195–1199. [Google Scholar] [CrossRef] [PubMed]
- Zhang, Y.; Somers, K.R.; Becari, C.; Polonis, K.; Pfeifer, M.A.; Allen, A.M.; Kellogg, T.A.; Covassin, N.; Singh, P. Comparative Expression of Renin-Angiotensin Pathway Proteins in Visceral Versus Subcutaneous Fat. Front. Physiol. 2018, 9, 1370. [Google Scholar] [CrossRef] [PubMed] [Green Version]
- Wysokiński, A.; Sobów, T.; Kłoszewska, I.; Kostka, T. Mechanisms of the anorexia of aging—A review. AGE 2015, 37, 9821. [Google Scholar] [CrossRef]
- Di Renzo, L.; Gualtieri, P.; Pivari, F.; Soldati, L.; Attinà, A.; Cinelli, G.; Leggeri, C.; Caparello, G.; Barrea, L.; Scerbo, F.; et al. Eating habits and lifestyle changes during COVID-19 lockdown: An Italian survey. J. Transl. Med. 2020, 18, 229. [Google Scholar] [CrossRef]
- Feghaly, J.; Johnson, P.; Kalhan, A. Vitamin D and obesity in adults: A pathophysiological and clinical updat. Br. J. Hosp. Med. 2020, 81, 1–5. [Google Scholar] [CrossRef] [PubMed]
- Grant, W.B.; Lahore, H.; McDonnell, S.L.; Baggerly, C.A.; French, C.B.; Aliano, J.L.; Bhattoa, H.P. Evidence that Vitamin D supplementation could reduce risk of influenza and COVID-19 infections and deaths. Nutrients 2020, 12, 988. [Google Scholar] [CrossRef] [Green Version]
- Carter, S.J.; Baranauskas, M.N.; Fly, A.D. Considerations for obesity, vitamin D, and physical activity amid the COVID-19 pandemic. Obesity 2020, 28, 1176–1177. [Google Scholar] [CrossRef]
- Paz-Graniel, I.; Díaz-López, A.; Alonso-Sanz, R.; Baldero, C.M.; Gil, C.M.; Val, V.A. Vitamin D deficiency in primary health care users at risk in Spain. Nutr. Hosp. 2021, 38, 1058–1067. [Google Scholar] [CrossRef]
- Smith, L.M.; Gallagher, J.C. Dietary Vitamin D Intake for the Elderly Population: Update on the Recommended Dietary Allowance for Vitamin D. Endocrinol. Metab. Clin. N. Am. 2017, 46, 871–884. [Google Scholar] [CrossRef]
- Cashman, K.D.; Kiely, M.E.; Andersen, R.; Grønborg, I.M.; Madsen, K.H.; Nissen, J.; Tetens, I.; Tripkovic, L.; Lanham-New, S.A.; Toxqui, L.; et al. Individual participant data (IPD)-level meta-analysis of randomised controlled trials with vitamin D-fortified foods to estimate Dietary Reference Values for vitamin D. Eur. J. Nutr. 2021, 60, 939–959. [Google Scholar] [CrossRef] [PubMed]
- Aranceta, J.; Serra-Majem, L.; Pérez-Rodrigo, C.; Llopis, J.; Mataix, J.; Ribas, L.; Tojo, R.; Tur, J.A. Vitamins in Spanish food patterns: The eVe Study. Public Health Nutr. 2001, 4, 1317–1323. [Google Scholar] [CrossRef] [PubMed] [Green Version]
- Catucci, A.; Scognamiglio, U.; Rossi, L. Lifestyle Changes Related to Eating Habits, Physical Activity, and Weight Status During COVID-19 Quarantine in Italy and Some European Countries. Front. Nutr. 2021, 8, 718877. [Google Scholar] [CrossRef] [PubMed]
- Barazzoni, R.; Bischoff, S.C.; Breda, J.; Wickramasinghe, K.; Krznaric, Z.; Nitzan, D.; Pirlich, M.; Singer, P.; Endorsed by the ESPEN Council. ESPEN expert statements and practical guidance for nutritional management of individuals with SARS-CoV-2 infection. Clin. Nutr. 2020, 39, 1631–1638. [Google Scholar] [CrossRef]
- Beaufrère, B.; Morio, B. Fat and protein redistribution with aging: Metabolic considerations. Eur. J. Clin. Nutr. 2000, 54, S48–S53. [Google Scholar] [CrossRef] [Green Version]
- Jensen, G.L. Obesity and functional decline: Epidemiology and geriatric consequences. Clin. Geriatr. Med. 2005, 21, 677–687. [Google Scholar] [CrossRef]
- Lang, I.A.; Llewellyn, D.J.; Alexander, K.; Melzer, D. Obesity, physical function, and mortality in older adults. J. Am. Geriatr. Soc. 2008, 56, 1474–1478. [Google Scholar] [CrossRef]
- Jensen, G.L.; Hsiao, P.Y. Obesity in older adults: Relationship to functional limitation. Curr. Opin. Clin. Nutr. Metab. Care 2010, 13, 46–51. [Google Scholar] [CrossRef]
- Aubertin-Leheudre, M.; Rolland, Y. The Importance of Physical Activity to Care for Frail Older Adults During the COVID-19 Pandemic. J. Am. Med. Dir. Assoc. 2020, 21, 973–976. [Google Scholar] [CrossRef]
- Tomiyama, A.J. Stress and Obesity. Annu. Rev. Psychol. 2019, 70, 703–718. [Google Scholar] [CrossRef] [Green Version]
- Zhang, J.; Lu, H.; Zeng, H.; Zhang, S.; Du, Q.; Jiang, T.; Du, B. The differential psychological distress of populations affected by the COVID-19 pandemic. Brain Behav. Immun. 2020, 87, 49–50. [Google Scholar] [CrossRef] [PubMed]
- van der Werf, E.T.; Busch, M.; Jong, M.C.; Hoenders, H.J.R. Lifestyle changes during the first wave of the COVID-19 pandemic: A cross-sectional survey in the Netherlands. BMC Public Health 2021, 21, 1226. [Google Scholar] [CrossRef] [PubMed]
- Sockalingam, S.; Leung, S.E.; Cassin, S.E. The Impact of Coronavirus Disease 2019 on Bariatric Surgery: Redefining Psychosocial Care. Obesity 2020, 28, 1010–1012. [Google Scholar] [CrossRef] [PubMed] [Green Version]


| Population | Baseline (B) | 12 Months (12M) | p (B vs. 12M) | |
|---|---|---|---|---|
| Body weight (Kg) | Young-Old | 80.6 ±11.9 | 80.1 ± 12.2 | 0.27 |
| Old-Old | 74.0 ± 9.6 | 71.6 ± 8.3 | 0.84 | |
| All | 78.5 ± 11.6 | 78.1 ± 11.9 | 0.29 | |
| BMI (Kg/m2) | Young-Old | 31.9 ± 4.0 | 31.8 ± 4.4 | 0.36 |
| Old-Old | 30.6 ± 3.7 | 30.4 ± 3.7 | 0.80 | |
| All | 31.5 ± 3.9 | 31.5 ± 4.3 | 0.35 | |
| WC (cm) | Young-Old | 103.8 ± 8.9 | 100.3 ± 9.7 | <0.0001 |
| Old-Old | 99.9 ± 9.7 | 96.3 ± 9.9 | <0.0001 | |
| All | 102.8 ± 9.2 | 99.3 ± 9.7 | <0.0001 | |
| WHR | Young-Old | 0.93 ± 0.08 | 0.92 ± 0.08 | 0.01 |
| Old-Old | 0.92 ± 0.08 | 0.91 ± 0.09 | 0.03 | |
| All | 0.93 ± 0.08 | 0.91 ± 0.09 | 0.01 | |
| SBP (mmHg) | Young-Old | 136.9 ± 19.4 | 135.0 ± 17.1 | 0.56 |
| Old-Old | 137.6 ± 17.8 | 143.0 ± 20.2 | 0.52 | |
| All | 137.1 ± 18.9 | 137.2 ± 18.2 | 0.85 | |
| DBP (mmHg) | Young-Old | 85.5 ± 11.1 | 84.3 ± 8.9 | 0.25 |
| Old-Old | 82.8 ± 12.1 | 85.6 ± 8.7 | 0.86 | |
| All | 84.7 ± 11.4 | 84.6 ± 8.8 | 0.27 | |
| HR (ppm) | Young-Old | 70.8 ± 10.8 | 69.4 ± 10.0 | 0.41 |
| Old-Old | 69.3 ± 10.5 | 69.5 ± 13.2 | 0.56 | |
| All | 70.3 ± 10.7 | 69.5 ± 10.8 | 0.82 |
| Population | Baseline (B) | 12 Months (12M) | p (B vs. 12M) | |
|---|---|---|---|---|
| Energy (Kcal/d) | Young-Old | 1698.0 ± 397.3 | 1622.3 ± 53.6 | 0.24 |
| Old-Old | 1688.2 ± 367.7 | 1831.6 ± 951.6 | 0.32 | |
| All | 1695.4 ± 388.1 | 1676.8 ± 574.0 | 0.92 | |
| Carbohydrates (g/d) | Young-Old | 166.0 ± 71.1 | 150.6 ± 35.1 | 0.19 |
| Old-Old | 162.4 ± 44.2 | 196.4 ± 62.2 | 0.29 | |
| All | 165.0 ± 64.9 | 162.5 ± 89.2 | 0.92 | |
| Total Proteins (g/d) | Young-Old | 75.6 ± 15.7 | 71.7 ± 16.8 | 0.04 |
| Old-Old | 74.1 ± 18.5 | 76.2 ± 28.3 | 0.39 | |
| All | 75.2 ± 16.4 | 72.9 ± 20.4 | 0.44 | |
| Total Fat (g/d) | Young-Old | 79.6 ± 21.1 | 79.5 ± 20.5 | 0.90 |
| Old-Old | 78.1 ± 18.9 | 82.0 ± 32.8 | 0.32 | |
| All | 79.2 ± 20.5 | 80.1 ± 24.2 | 0.47 | |
| SFA (g/d) | Young-Old | 21.7 ± 7.3 | 22.7 ± 14.4 | 0.69 |
| Old-Old | 21.0 ± 6.5 | 21.1 ± 6.3 | 0.88 | |
| All | 21.5 ± 7.1 | 22.3 ± 12.8 | 0.67 | |
| MUFA (g/d) | Young-Old | 38.7 ± 9.7 | 39.9 ± 10.6 | 0.21 |
| Old-Old | 37.8 ± 8.4 | 40.5 ± 16.0 | 0.20 | |
| All | 38.5 ± 9.3 | 40.1 ± 12.2 | 0.07 | |
| PUFA (g/d) | Young-Old | 12.0 ± 5.7 | 11.3 ± 5.0 | 0.63 |
| Old-Old | 12.1 ± 5.4 | 13.6 ± 10.0 | 0.08 | |
| All | 12.0 ± 5.6 | 11.9 ± 6.7 | 0.48 | |
| Cholesterol (mg/d) | Young-Old | 324.7 ± 132.8 | 309.8 ± 114.4 | 0.02 |
| Old-Old | 312.7 ± 96.8 | 311.3 ± 118.1 | 0.62 | |
| All | 321.5 ± 124.0 | 310.2 ± 114.7 | 0.06 | |
| Fiber (g/d) | Young-Old | 18.8 ± 6.4 | 16.8 ± 6.1 | 0.03 |
| Old-Old | 18.9 ± 7.6 | 25.4 ± 9.3 | 0.23 | |
| All | 18.9 ± 6.7 | 19.0 ± 6.1 | 0.77 | |
| Vitamin D (µg/d) | Young-Old | 3.5 ± 3.0 | 3.5 ± 3.9 | 0.81 |
| Old-Old | 3.2 ± 3.1 | 2.3 ± 1.8 | 0.17 | |
| All | 3.4 ± 3.0 | 3.2 ± 3.5 | 0.75 |
| Population | Baseline (B) | 12 Months (12 M) | p (B vs. 12 M) | |
|---|---|---|---|---|
| Sedentarism (min/day) | Young-Old | 702.7 ± 134.1 | 731.5 ± 133.5 | 0.21 |
| Old-Old | 762.1 ± 166.6 | 774.7 ± 156.8 | 0.20 | |
| All | 718.7 ± 145.3 | 742.8 ± 140.5 | 0.07 | |
| Physical Activity | ||||
| Light PA (min/day) | Young-Old | 706.4 ± 157.4 | 268.6 ± 68.2 | <0.0001 |
| Old-Old | 772.1 ± 152.6 | 234.5 ± 101.0 | <0.0001 | |
| All | 726.6 ± 158.4 | 259.7 ± 79.0 | <0.0001 | |
| Moderate PA (min/day) | Young-Old | 282.6 ± 85.3 | 54.3 ± 38.2 | <0.0001 |
| Old-Old | 251.4 ± 95.2 | 24.7 ± 29.9 | <0.0001 | |
| All | 273.0 ± 89.3 | 46.6 ± 38.4 | <0.0001 | |
| Vigorous PA (min/day) | Young-Old | 67.8 ± 50.8 | 4.5 ± 7.0 | <0.0001 |
| Old-Old | 33.5 ± 34.1 | 1.5 ± 3.8 | <0.0001 | |
| All | 57.2 ± 48.8 | 3.7 ± 6.5 | <0.0001 | |
| Moderate-Vigorous PA (min/day) | Young-Old | 357.6 ± 120.6 | 327.4 ± 97.3 | <0.0001 |
| Old-Old | 287.5 ± 117.9 | 260.8 ± 116.3 | 0.06 | |
| All | 336.0 ± 123.7 | 310.0 ± 106.2 | <0.0001 | |
| Population | Baseline (B) | 12 Months (12 M) | p (B vs. 12 M) | |
|---|---|---|---|---|
| Fat Mass (Kg) | Young-Old | 33.2 ± 8.0 | 31.8 ± 8.9 | 0.04 |
| Old-Old | 30.7 ± 5.5 | 30.5 ± 5.7 | 0.63 | |
| All | 32.6 ± 7.5 | 31.5 ± 8.2 | 0.03 | |
| Lean Mass (Kg) | Young-Old | 48.0 ± 9.4 | 47.3 ± 11.7 | 0.47 |
| Old-Old | 42.0 ± 5.7 | 42.5 ± 6.6 | 0.29 | |
| All | 46.6 ± 9.0 | 46.2 ± 10.9 | 0.59 | |
| Total Mass (Kg) | Young-Old | 81.2 ± 12.2 | 79.2 ± 16.8 | 0.17 |
| Old-Old | 72.7 ± 8.7 | 73.0 ± 9.7 | 0.61 | |
| All | 79.1 ± 11.9 | 77.7 ± 15.6 | 0.20 | |
| Total Fat (%) | Young-Old | 40.8 ± 7.6 | 39.5 ± 9.0 | 0.07 |
| Old-Old | 42.1 ± 4.9 | 41.7 ± 4.9 | 0.34 | |
| All | 41.1 ± 7.0 | 40.0 ± 8.3 | 0.05 |
| Population | Baseline (B) | 12 Months (12M) | p (B vs. 12M) | |
|---|---|---|---|---|
| Glucose (mg/dL) | Young-Old | 87.1 ± 19.7 | 87.5 ± 10.4 | 0.04 |
| Old-Old | 87.2 ± 13.4 | 89.1 ± 13.2 | 0.05 | |
| All | 87.1 ± 17.9 | 88.0 ± 11.2 | 0.01 | |
| Glycosylated Hemoglobin (%) | Young-Old | 5.7 ± 0.6 | 5.7 ± 0.3 | 0.01 |
| Old-Old | 5.7 ± 0.3 | 5.6 ± 0.3 | 0.81 | |
| All | 5.7 ± 0.5 | 5.7 ± 0.3 | 0.01 | |
| Insulin (mU/L) | Young-Old | 12.4 ± 7.4 | 12.7 ± 8.2 | 0.26 |
| Old-Old | 9.6 ± 5.1 | 8.9 ± 3.8 | 0.84 | |
| All | 11.5 ± 6.9 | 11.7 ± 7.4 | 0.39 | |
| HOMA-IR | Young-Old | 2.8 ± 2.1 | 2.8 ± 1.8 | 0.27 |
| Old-Old | 2.1 ± 1.3 | 1.9 ± 0.9 | 0.93 | |
| All | 2.6 ± 1.9 | 2.6 ± 1.7 | 0.36 | |
| Total Cholesterol (mg/dL) | Young-Old | 212.9 ± 33.5 | 207.6 ± 33.8 | 0.06 |
| Old-Old | 204.6 ± 31.0 | 210.5 ± 32.0 | 0.84 | |
| All | 210.2 ± 32.8 | 208.4 ± 33.2 | 0.09 | |
| HDL-c (mg/dL) | Young-Old | 59.5 ± 14.4 | 61.1 ± 16.7 | 0.23 |
| Old-Old | 60.5 ± 13.0 | 68.8 ± 25.1 | 0.21 | |
| All | 59.8 ± 13.9 | 63.2 ± 19.5 | 0.84 | |
| LDL-c (mg/dL) | Young-Old | 129.8 ± 29.7 | 124.5 ± 32.2 | 0.02 |
| Old-Old | 122.3 ± 27.0 | 126.4 ± 26.9 | 0.77 | |
| All | 127.4 ± 29.0 | 125.0 ± 30.7 | 0.04 | |
| Triglycerides (mg/dL) | Young-Old | 106.0 [87.0–135.0] | 103.0 [80.0–132.0] | 1.00 |
| Old-Old | 99.0 [72.5–129.0] | 101.0 [84.0–122.0] | 0.42 | |
| All | 103.0 [80.0–132.0] | 107.0 [83.0–137.0] | 0.65 |
Publisher’s Note: MDPI stays neutral with regard to jurisdictional claims in published maps and institutional affiliations. |
© 2021 by the authors. Licensee MDPI, Basel, Switzerland. This article is an open access article distributed under the terms and conditions of the Creative Commons Attribution (CC BY) license (https://creativecommons.org/licenses/by/4.0/).
Share and Cite
Cobos-Palacios, L.; Muñoz-Úbeda, M.; Ruiz-Moreno, M.I.; Vilches-Perez, A.; Vargas-Candela, A.; Benítez-Porres, J.; Navarro-Sanz, A.; Lopez-Carmona, M.D.; Pérez-Belmonte, L.M.; Sanz-Canovas, J.; et al. Lifestyle Modification Program on a Metabolically Healthy Elderly Population with Overweight/Obesity, Young-Old vs. Old-Old. CONSEQUENCES of COVID-19 Lockdown in This Program. Int. J. Environ. Res. Public Health 2021, 18, 11926. https://doi.org/10.3390/ijerph182211926
Cobos-Palacios L, Muñoz-Úbeda M, Ruiz-Moreno MI, Vilches-Perez A, Vargas-Candela A, Benítez-Porres J, Navarro-Sanz A, Lopez-Carmona MD, Pérez-Belmonte LM, Sanz-Canovas J, et al. Lifestyle Modification Program on a Metabolically Healthy Elderly Population with Overweight/Obesity, Young-Old vs. Old-Old. CONSEQUENCES of COVID-19 Lockdown in This Program. International Journal of Environmental Research and Public Health. 2021; 18(22):11926. https://doi.org/10.3390/ijerph182211926
Chicago/Turabian StyleCobos-Palacios, Lidia, Mónica Muñoz-Úbeda, Maria Isabel Ruiz-Moreno, Alberto Vilches-Perez, Antonio Vargas-Candela, Javier Benítez-Porres, Ana Navarro-Sanz, Maria Dolores Lopez-Carmona, Luis Miguel Pérez-Belmonte, Jaime Sanz-Canovas, and et al. 2021. "Lifestyle Modification Program on a Metabolically Healthy Elderly Population with Overweight/Obesity, Young-Old vs. Old-Old. CONSEQUENCES of COVID-19 Lockdown in This Program" International Journal of Environmental Research and Public Health 18, no. 22: 11926. https://doi.org/10.3390/ijerph182211926
APA StyleCobos-Palacios, L., Muñoz-Úbeda, M., Ruiz-Moreno, M. I., Vilches-Perez, A., Vargas-Candela, A., Benítez-Porres, J., Navarro-Sanz, A., Lopez-Carmona, M. D., Pérez-Belmonte, L. M., Sanz-Canovas, J., Gomez-Huelgas, R., & Bernal-Lopez, M. R. (2021). Lifestyle Modification Program on a Metabolically Healthy Elderly Population with Overweight/Obesity, Young-Old vs. Old-Old. CONSEQUENCES of COVID-19 Lockdown in This Program. International Journal of Environmental Research and Public Health, 18(22), 11926. https://doi.org/10.3390/ijerph182211926

