Analysis on the Temporal and Spatial Features of the Coupling and Coordination of Industrialization and Agricultural Green Development in China during 1990–2019
Abstract
1. Introduction
2. Literature Review
2.1. Research on the Relationship between Industrialization, Agricultural Development, and Ecological Environment
2.2. Research on the Sustainable Development of Agriculture
2.3. Research on Agricultural Green Development
2.4. Research Review
3. Materials and Methods
3.1. Data Sources
3.2. Index Construction
3.2.1. Industrialization Development Level Evaluation Index
3.2.2. Evaluation Index of Agricultural Green Development Level
3.3. Analytical Method
3.3.1. Entropy Weight Method
- Construct the original index matrix data: given years, provinces, indexes, the original index matrix is , and is the index value of the year, the province, and the index. In this paper , and are 30, 31 and 8.
- Dimensionless processing of the range standard method for each index in the index system:
- Determine the index weight:
- Calculate the entropy value of various indexes:
- Calculate the redundancy of the entropy values of various indexes:
- Calculate the weight of each index:
- Construct a multi-index weighted comprehensive evaluation model:
3.3.2. Coupling Coordination Degree Model
3.3.3. Spatial Autocorrelation Analysis
4. Results
4.1. Index Weight
4.2. China’s Industrialization and Agricultural Green Development
4.2.1. Industrialization Development Index
4.2.2. Agricultural Green Development Index
4.2.3. Overall Development Level
4.3. Coupling and Coordination Degree of Industrialization and Agricultural Green Development
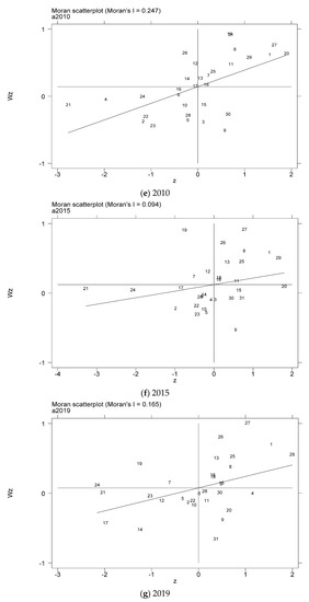
4.4. Spatial Autocorrelation Analysis of Coupling Degree of Industrialization and Agricultural Green Development in China
4.4.1. Global Autocorrelation Test
4.4.2. Local Correlation Test
5. Discussion
5.1. Characteristics of China’s Industrialization and Agricultural Green Development
5.2. Coordination Level and Spatial Characteristics of China’s Industrialization and Agricultural Green Development
6. Conclusions, Limitations and Further Research
Author Contributions
Funding
Institutional Review Board Statement
Informed Consent Statement
Data Availability Statement
Conflicts of Interest
References
- Aslam, B.; Hu, J.; Shahab, S.; Ahmad, A.; Saleem, M.; Shah, S.S.; Javed, M.S.; Aslam, M.K.; Hussain, S.; Hassan, M. The nexus of industrialization, GDP per capita and CO2 emission in China. Environ. Technol. Innov. 2021, 23, 101674. [Google Scholar] [CrossRef]
- Cherniwchan, J. Economic growth, industrialization, and the environment. Resour. Energy Econ. 2012, 34, 442–467. [Google Scholar] [CrossRef]
- Zhang, G.; Wang, X.K.; Sun, B.F.; Zhao, H.; Lu, F.; Zhang, L. Status of mineral nitrogen fertilization and net mitigation potential of the state fertilization recommendation in Chinese cropland. Agric. Syst. 2016, 146, 1–10. [Google Scholar] [CrossRef]
- Mekonnen, M.M.; Hoekstra, A.Y. Global Gray Water Footprint and Water Pollution Levels Related to Anthropogenic Nitrogen Loads to Fresh Water. Environ. Sci. Technol. 2015, 49, 12860–12868. [Google Scholar] [CrossRef] [PubMed]
- Jorgenson, D.W. Surplus Agricultural Labour and the Development of a Dual Economy. Oxf. Econ. Pap. 1967, 19, 288–312. [Google Scholar] [CrossRef]
- Huasheng, S.; François, T.J.; Xiwei, Z. Urbanization and/or rural industrialization in China. Reg. Sci. Urban Econ. 2011, 42, 126–134. [Google Scholar]
- Stoknes, P.E.; Rockstrom, J. Redefining green growth within planetary boundaries. Energy Res. Soc. Sci. 2018, 44, 41–49. [Google Scholar] [CrossRef]
- Kanter, D.R.; Musumba, M.; Wood, S.L.R.; Palm, C.; Antle, J.; Balvanera, P.; Dale, V.H.; Havlik, P.; Kline, K.L.; Scholes, R.J.; et al. Evaluating agricultural trade-offs in the age of sustainable development. Agric. Syst. 2018, 163, 73–88. [Google Scholar] [CrossRef]
- Englmaier, F.; Reisinger, M. Information, coordination and the industrialization of countries. CESifo Econ. Stud. 2008, 54, 534–550. [Google Scholar] [CrossRef][Green Version]
- Carnoy, M. The new information technology—International diffusion and its impact on employment and skills. Int. J. Manpow. 1997, 18, 119–159. [Google Scholar] [CrossRef]
- Eswaran, M.; Kotwal, A. The role of the service sector in the process of industrialization. J. Dev. Econ. 2002, 68, 401–420. [Google Scholar] [CrossRef]
- Perger, E. Local Responses to the Structural Changes of National Development Policyin Hungarian Rural Regions. East. Eur. Countrys. 2016, 22, 69–83. [Google Scholar] [CrossRef]
- Agnieszka, K.; Aldona, S.; Łukasz, S. Managing Rural Areas in the Context of the Growing Debt of Polish Local Government Units. Agriculture 2020, 10, 376. [Google Scholar]
- Lu, Q.; Liang, F.; Bi, X.; Duffy, R.; Zhao, Z. Effects of urbanization and industrialization on agricultural land use in Shandong Peninsula of China. Ecol. Indic. 2011, 11, 1710–1714. [Google Scholar] [CrossRef]
- Arowolo, A.O.; Deng, X.Z.; Olatunji, O.A.; Obayelu, A.E. Assessing changes in the value of ecosystem services in response to land-use/land-cover dynamics in Nigeria. Sci. Total Environ. 2018, 636, 597–609. [Google Scholar] [CrossRef] [PubMed]
- Venter, O.; Sanderson, E.W.; Magrach, A.; Allan, J.R.; Beher, J.; Jones, K.R.; Possingham, H.P.; Laurance, W.F.; Wood, P.; Fekete, B.M.; et al. Sixteen years of change in the global terrestrial human footprint and implications for biodiversity conservation. Nat. Commun. 2016, 7, 12558. [Google Scholar] [CrossRef] [PubMed]
- Kurucu, Y.; Chiristina, N.K. Monitoring the impacts of urbanization and industrialization on the agricultural land and environment of the Torbali, Izmir region, Turkey. Environ. Monit. Assess. 2008, 136, 289–297. [Google Scholar] [CrossRef]
- Mahmood, H.; Alkhateeb, T.T.Y.; Furqan, M. Industrialization, urbanization and CO2 emissions in Saudi Arabia: Asymmetry analysis. Energy Rep. 2020, 6, 1553–1560. [Google Scholar] [CrossRef]
- Barbier, E. The policy challenges for green economy and sustainable economic development. In Natural Resources Forum; Blackwell Publishing Ltd.: Oxford, UK, 2011; Volume 35, pp. 233–245. [Google Scholar]
- Hardeman, E.; Jochemsen, H. Are There Ideological Aspects to the Modernization of Agriculture? J. Agric. Environ. Ethic 2012, 25, 657–674. [Google Scholar] [CrossRef]
- Carof, M.; Colomb, B.; Aveline, A. A guide for choosing the most appropriate method for multi-criteria assessment of agricultural systems according to decision-makers’ expectations. Agric. Syst. 2013, 115, 51–62. [Google Scholar] [CrossRef]
- Wang, Z.G.; Wang, J.B.; Zhang, G.P.; Wang, Z.X. Evaluation of Agricultural Extension Service for Sustainable Agricultural Development Using a Hybrid Entropy and TOPSIS Method. Sustainability 2021, 13, 347. [Google Scholar] [CrossRef]
- Lichtfouse, E.; Navarrete, M.; Debaeke, P.; Souchere, V.; Alberola, C.; Menassieu, J. Agronomy for sustainable agriculture. A review. Agron. Sustain. Dev. 2009, 29, 1–7. [Google Scholar] [CrossRef]
- Lal, R. Soils and sustainable agriculture. A review. Agron Sustain Dev. 2008, 28, 57–64. [Google Scholar] [CrossRef]
- Quintero-Angel, M.; Gonzalez-Acevedo, A. Tendencies and challenges for the assessment of agricultural sustainability. Agric. Ecosyst. Environ. 2018, 254, 273–281. [Google Scholar] [CrossRef]
- Rodrigues, G.S.; Martins, C.R.; de Barros, I. Sustainability assessment of ecological intensification practices in coconut production. Agric. Syst. 2018, 165, 71–84. [Google Scholar] [CrossRef]
- Buseth, J.T. The green economy in Tanzania: From global discourses to institutionalization. Geoforum 2017, 86, 42–52. [Google Scholar] [CrossRef]
- Belmonte-Urena, L.J.; Plaza-Ubeda, J.A.; Vazquez-Brust, D.; Yakovleva, N. Circular economy, degrowth and green growth as pathways for research on sustainable development goals: A global analysis and future agenda. Ecol. Econ. 2021, 185, 107050. [Google Scholar] [CrossRef]
- Nadaraja, D.; Lu, C.G.; Islam, M.M. The Sustainability Assessment of Plantation Agriculture—A Systematic Review of Sustainability Indicators. Sustain. Prod. Consum. 2021, 26, 892–910. [Google Scholar] [CrossRef]
- Wang, M.X.; Zhao, H.H.; Cui, J.X.; Fan, D.; Lv, B.; Wang, G.; Li, Z.H.; Zhou, G.J. Evaluating green development level of nine cities within the Pearl River Delta, China. J. Clean. Prod. 2018, 174, 315–323. [Google Scholar] [CrossRef]
- Shang, Y.; Liu, S. Spatial-Temporal Coupling Coordination Relationship between Urbanization and Green Development in the Coastal Cities of China. Sustainability 2021, 13, 5339. [Google Scholar] [CrossRef]
- Wang, Y.; Hu, H.; Dai, W.; Burns, K. Evaluation of industrial green development and industrial green competitiveness: Evidence from Chinese urban agglomerations. Ecol. Indic. 2021, 124, 107371. [Google Scholar] [CrossRef]
- Shen, J.B.; Zhu, Q.C.; Jiao, X.Q.; Ying, H.; Wang, H.L.; Wen, X.; Xu, W.; Li, T.Y.; Cong, W.F.; Liu, X.J.; et al. Agriculture Green Development: A model for China and the world. Front. Agric. Sci. Eng. 2020, 7, 5–13. [Google Scholar] [CrossRef]
- Guo, H.; Xu, S.; Pan, C. Measurement of the Spatial Complexity and Its Influencing Factors of Agricultural Green Development in China. Sustainability 2020, 12, 9259. [Google Scholar] [CrossRef]
- Chen, W.H.; Chen, J.C.; Xu, D.Y.; Liu, J.C.; Niu, N.N. Assessment of the practices and contributions of China’s green industry to the socio-economic development. J. Clean. Prod. 2017, 153, 648–656. [Google Scholar] [CrossRef]
- Wang, L.; Qi, Z.R.; Pang, Q.H.; Xiang, Y.B.; Sun, Y.L. Analysis on the Agricultural Green Production Efficiency and Driving Factors of Urban Agglomerations in the Middle Reaches of the Yangtze River. Sustainability 2021, 13, 97. [Google Scholar] [CrossRef]
- Meng, G.; Guo, Z.; Li, J. The dynamic linkage among urbanisation, industrialisation and carbon emissions in China: Insights from spatiotemporal effect. Sci. Total Environ. 2020, 760, 144042. [Google Scholar] [CrossRef] [PubMed]
- Dong, H.M.; Xue, M.G.; Xiao, Y.J.; Liu, Y.S. Do carbon emissions impact the health of residents? Considering China’s industrialization and urbanization. Sci. Total Environ. 2021, 758, 143688. [Google Scholar] [CrossRef] [PubMed]
- Tian, Y.; Jiang, G.; Zhou, D.; Li, G. Systematically addressing the heterogeneity in the response of ecosystem services to agricultural modernization, industrialization and urbanization in the Qinghai-Tibetan Plateau from 2000 to 2018. J. Clean. Prod. 2021, 285, 125323. [Google Scholar] [CrossRef]
- Liu, Y.F.; Sun, D.S.; Wang, H.J.; Wang, X.J.; Yu, G.Q.; Zhao, X.J. An evaluation of China’s agricultural green production: 1978–2017. J. Clean. Prod. 2020, 243, 118483. [Google Scholar] [CrossRef]
- Sun, L.Y.; Liu, T.; Zhang, L. The Pollution of Scale Livestock and Poultry Breeding and Its Influence on Eco-Environment. J. South China Agric. Univ. 2016, 15, 23–30. (In Chinese) [Google Scholar]
- Liao, W. Characteristics and Influencing Factors of Farmers’ Straw Treatment Behavior. Areal Res. Dev. 2020, 39, 134–138, 145. (In Chinese) [Google Scholar]
- Zhang, T. Strengthening Soil and Environment Management of Agricultural Producing Area, Promoting Sustainable Development of Agriculture in China. Bull. Chin. Acad. Sci. 2015, 30, 435–444. (In Chinese) [Google Scholar]
- Wang, Y.; Zhou, Q. Evaluation of Development of Agricultural Modernization in Central China. IERI Procedia 2013, 4, 417–424. [Google Scholar] [CrossRef][Green Version]
- Nambiar, K.K.M.; Gupta, A.P.; Fu, Q.L.; Li, S. Biophysical, chemical and socio-economic indicators for assessing agricultural sustainability in the Chinese coastal zone. Agric. Ecosyst. Environ. 2001, 87, 209–214. [Google Scholar] [CrossRef]
- Tian, Y.; Zhang, J.-B. Study on Regional Differences and Genesis in Development Level of Green Agriculture in China. Res. Agric. Mod. 2013, 34, 85–89. (In Chinese) [Google Scholar]
- Wu, Y.N.; Tao, Y.; Deng, Z.Q.; Zhou, J.L.; Xu, C.B.; Zhang, B.Y. A fuzzy analysis framework for waste incineration power plant comprehensive benefit evaluation from refuse classification perspective. J. Clean. Prod. 2020, 258, 120734. [Google Scholar] [CrossRef]
- Wu, Y.N.; Liao, M.J.; Hu, M.Y.; Xu, C.B.; Tao, Y.; Zhou, J.L. Effectiveness assessment of air pollution prevention and control under collaborative supervision in the Beijing-Tianjin-Hebei region based on combination weights and grey fuzzy synthetic evaluation analysis. Sustain. Cities Soc. 2021, 64, 102543. [Google Scholar] [CrossRef]
- Li, Y.F.; Li, Y.; Zhou, Y.; Shi, Y.L.; Zhu, X.D. Investigation of a coupling model of coordination between urbanization and the environment. J. Environ. Manag. 2012, 98, 127–133. [Google Scholar] [CrossRef]
- Liu, W.J.; Jiao, F.C.; Ren, L.J.; Xu, X.G.; Wang, J.C.; Wang, X. Coupling coordination relationship between urbanization and atmospheric environment security in Jinan City. J. Clean. Prod. 2018, 204, 1–11. [Google Scholar] [CrossRef]
- Li, S.; Du, S. An Empirical Study on the Coupling Coordination Relationship between Cultural Tourism Industry Competitiveness and Tourism Flow. Sustainability 2021, 13, 5525. [Google Scholar] [CrossRef]
- Li, Q.; Zhao, Y.; Li, S.; Zhang, L. Spatial-temporal characteristics of the coupling coordination of social security and economic development in China during 2002–2018. Reg. Sustain. 2021, 2, 1766. [Google Scholar]
- Moran, P.A.P. The Interpretation of Statistical Maps. J. R. Stat. Soc. Ser. B 1948, 10, 243–251. [Google Scholar] [CrossRef]














| Primary Indexes | Secondary Indexes | Index Description | Units | Direction | Reference |
|---|---|---|---|---|---|
| Industrialization | The level of economic development | Per capita GDP | Yuan/person | + | [1] |
| The proportion of secondary industry output | GDP of the secondary industry/Gross regional product | % | + | [38] | |
| The proportion of employment in the secondary industry | Number of employees in the secondary industry/total number of employees | % | + | [39] | |
| Secondary industry labor productivity | GDP of the secondary industry/number of employees in the secondary industry | Ten thousand yuan/person | + | [32,39] | |
| Agricultural green development | The per capita disposable income of rural residents | The per capita disposable income of rural residents | Ten thousand yuan/person | + | [34,40] |
| The level of agricultural mechanization | Total power of agricultural machinery/crop sown area | W/ha | + | [39,40,44] | |
| The rate of land output | Total agricultural output value/sown area of crops | Yuan/ha | + | [29,45] | |
| The level of farmland being irrigated | Effective irrigation area/arable land area | % | + | [39,44] | |
| The intensity of fertilizer used | Total fertilizer input/total sown area | Kg/ha | − | [29,44] | |
| The intensity of pesticides used | Total pesticide input/total sown area | Kg/ha | − | [29] | |
| The intensity of the used agricultural film | Total agricultural film input/total sown area | Kg/ha | − | [46] | |
| The proportion of disaster area | Infested area of disaster-stricken area | % | − | [34] |
| Primary Indexes | Secondary Indexes | Index Weight |
|---|---|---|
| Industrialization | The level of economic development | 0.2456 |
| The proportion of secondary industry output | 0.2542 | |
| The proportion of employment in the secondary industry | 0.2522 | |
| Secondary industry labor productivity | 0.2481 | |
| Agricultural green development | The per capita disposable income of rural residents | 0.1232 |
| The level of agricultural mechanization | 0.1226 | |
| The rate of land output | 0.1236 | |
| The level of farmland being irrigated | 0.1247 | |
| The intensity of fertilizer used | 0.1260 | |
| The intensity of pesticides used | 0.1269 | |
| the intensity of the used agricultural film | 0.1272 | |
| the proportion of disaster area | 0.1258 |
| Province | Years | Level | Sort | ||||||
|---|---|---|---|---|---|---|---|---|---|
| 1990 | 1995 | 2000 | 2005 | 2010 | 2015 | 2019 | |||
| Shanghai | 0.8232 | 0.9440 | 0.9332 | 0.9200 | 0.6931 | 0.4710 | 0.4520 | 0.748 | 1 |
| Tianjin | 0.5903 | 0.6725 | 0.6926 | 0.8389 | 0.7618 | 0.7400 | 0.4009 | 0.6710 | 2 |
| Jiangsu | 0.3765 | 0.6579 | 0.5460 | 0.6748 | 0.6015 | 0.6925 | 0.7094 | 0.6084 | 3 |
| Zhejiang | 0.3490 | 0.7095 | 0.5572 | 0.6647 | 0.5993 | 0.6296 | 0.6061 | 0.5879 | 4 |
| Guangdong | 0.3314 | 0.6401 | 0.5500 | 0.6047 | 0.5669 | 0.5782 | 0.5178 | 0.5413 | 5 |
| Fujian | 0.2479 | 0.5189 | 0.4555 | 0.5076 | 0.5777 | 0.6499 | 0.6931 | 0.5215 | 6 |
| Shandong | 0.3320 | 0.5269 | 0.4583 | 0.5922 | 0.5959 | 0.6073 | 0.5017 | 0.5163 | 7 |
| Liaoning | 0.4668 | 0.5178 | 0.5415 | 0.4992 | 0.6075 | 0.5632 | 0.3775 | 0.5105 | 8 |
| Beijing | 0.6187 | 0.5994 | 0.5769 | 0.5455 | 0.3737 | 0.3026 | 0.2772 | 0.4705 | 9 |
| Inner Mongolia | 0.2606 | 0.2704 | 0.2902 | 0.4298 | 0.7215 | 0.7264 | 0.5121 | 0.4587 | 10 |
| Xinjiang | 0.3368 | 0.3215 | 0.4431 | 0.3903 | 0.5511 | 0.5541 | 0.5223 | 0.4456 | 11 |
| Hebei | 0.3389 | 0.4517 | 0.4182 | 0.4771 | 0.4534 | 0.5129 | 0.4150 | 0.4382 | 12 |
| Shanxi | 0.4133 | 0.4132 | 0.3689 | 0.4820 | 0.5394 | 0.3778 | 0.4011 | 0.4280 | 13 |
| Hubei | 0.2880 | 0.3663 | 0.4387 | 0.3317 | 0.4688 | 0.5169 | 0.4915 | 0.4146 | 14 |
| Heilongjiang | 0.4418 | 0.4848 | 0.5560 | 0.4992 | 0.4739 | 0.2797 | 0.1496 | 0.4121 | 15 |
| Qinghai | 0.4037 | 0.2770 | 0.2983 | 0.2956 | 0.4859 | 0.5737 | 0.4718 | 0.4009 | 16 |
| Jilin | 0.3114 | 0.3270 | 0.3693 | 0.3802 | 0.5341 | 0.5726 | 0.3076 | 0.4003 | 17 |
| Henan | 0.2150 | 0.3818 | 0.3040 | 0.3802 | 0.4847 | 0.5045 | 0.4768 | 0.3924 | 18 |
| Chongqing | 0.3122 | 0.4160 | 0.2557 | 0.2931 | 0.4909 | 0.4266 | 0.4978 | 0.3846 | 19 |
| Shaanxi | 0.2567 | 0.2707 | 0.2696 | 0.3016 | 0.4758 | 0.5249 | 0.5058 | 0.3721 | 20 |
| Hunan | 0.2981 | 0.2736 | 0.2553 | 0.3754 | 0.4050 | 0.4924 | 0.4448 | 0.3635 | 21 |
| Anhui | 0.2618 | 0.3914 | 0.2573 | 0.2692 | 0.4079 | 0.4774 | 0.4673 | 0.3617 | 22 |
| Yunnan | 0.3504 | 0.3520 | 0.2851 | 0.2780 | 0.3516 | 0.3815 | 0.5118 | 0.3586 | 23 |
| Ningxia | 0.3209 | 0.2730 | 0.2889 | 0.3122 | 0.4302 | 0.4239 | 0.4439 | 0.3562 | 24 |
| Jiangxi | 0.2084 | 0.2460 | 0.1992 | 0.3421 | 0.4355 | 0.5167 | 0.4680 | 0.3451 | 25 |
| Sichuan | 0.1381 | 0.2020 | 0.2557 | 0.2587 | 0.4353 | 0.4036 | 0.3345 | 0.2897 | 26 |
| Guangxi | 0.2103 | 0.3210 | 0.1947 | 0.2053 | 0.3410 | 0.4539 | 0.2951 | 0.2888 | 27 |
| Gansu | 0.2755 | 0.2704 | 0.2614 | 0.2501 | 0.3770 | 0.2932 | 0.2261 | 0.2791 | 28 |
| Guizhou | 0.2666 | 0.1886 | 0.1539 | 0.1461 | 0.2933 | 0.3702 | 0.3944 | 0.2590 | 29 |
| Hainan | 0.3902 | 0.2477 | 0.1109 | 0.1483 | 0.2177 | 0.1920 | 0.2704 | 0.2253 | 30 |
| Tibet | 0.0657 | 0.0371 | 0.1163 | 0.0611 | 0.1085 | 0.2725 | 0.4028 | 0.1520 | 31 |
| the east | 0.4423 | 0.5897 | 0.5309 | 0.5885 | 0.5499 | 0.5399 | 0.4746 | ||
| the middle | 0.3047 | 0.3605 | 0.3436 | 0.3825 | 0.4687 | 0.4673 | 0.4008 | ||
| the west | 0.2665 | 0.2666 | 0.2594 | 0.2685 | 0.4218 | 0.4504 | 0.4265 | ||
| Province | Years | Level | Sort | ||||||
|---|---|---|---|---|---|---|---|---|---|
| 1990 | 1995 | 2000 | 2005 | 2010 | 2015 | 2019 | |||
| Tianjin | 0.7594 | 0.6894 | 0.6596 | 0.6249 | 0.6095 | 0.6375 | 0.6366 | 0.6596 | 1 |
| Tibet | 0.5309 | 0.6001 | 0.6323 | 0.6554 | 0.6192 | 0.6189 | 0.7097 | 0.6238 | 2 |
| Zhejiang | 0.5973 | 0.5611 | 0.5877 | 0.5480 | 0.6305 | 0.5624 | 0.5544 | 0.5773 | 3 |
| Beijing | 0.6847 | 0.5402 | 0.6998 | 0.5980 | 0.5829 | 0.4147 | 0.4870 | 0.5725 | 4 |
| Shanghai | 0.5969 | 0.4979 | 0.4131 | 0.4462 | 0.6377 | 0.5675 | 0.6539 | 0.5447 | 5 |
| Jiangsu | 0.5703 | 0.4752 | 0.4928 | 0.4864 | 0.5572 | 0.5673 | 0.5854 | 0.5335 | 6 |
| Hebei | 0.5682 | 0.5080 | 0.5180 | 0.5569 | 0.5424 | 0.5164 | 0.4841 | 0.5277 | 7 |
| Hunan | 0.5440 | 0.5178 | 0.5412 | 0.4500 | 0.5025 | 0.5152 | 0.4928 | 0.5091 | 8 |
| Qinghai | 0.5533 | 0.5271 | 0.4371 | 0.5261 | 0.5086 | 0.4381 | 0.4886 | 0.4970 | 9 |
| Guangdong | 0.5671 | 0.5049 | 0.5311 | 0.4184 | 0.5236 | 0.4472 | 0.4741 | 0.4952 | 10 |
| Shandong | 0.5479 | 0.4243 | 0.4432 | 0.4593 | 0.5032 | 0.4900 | 0.4612 | 0.4756 | 11 |
| Xinjiang | 0.5956 | 0.5061 | 0.4934 | 0.4465 | 0.4281 | 0.4067 | 0.4468 | 0.4747 | 12 |
| Henan | 0.5400 | 0.4087 | 0.4904 | 0.4616 | 0.4842 | 0.4801 | 0.4559 | 0.4744 | 13 |
| Sichuan | 0.5583 | 0.4571 | 0.4670 | 0.4256 | 0.4623 | 0.4811 | 0.4632 | 0.4735 | 14 |
| Jiangxi | 0.5608 | 0.5147 | 0.4285 | 0.4467 | 0.4764 | 0.4383 | 0.4325 | 0.4711 | 15 |
| Anhui | 0.5385 | 0.4050 | 0.4115 | 0.4109 | 0.4847 | 0.4676 | 0.4457 | 0.452 | 16 |
| Chongqing | 0.5131 | 0.5017 | 0.4508 | 0.3917 | 0.4448 | 0.4201 | 0.4413 | 0.4519 | 17 |
| Ningxia | 0.5388 | 0.4568 | 0.4252 | 0.4135 | 0.4536 | 0.4076 | 0.4616 | 0.4510 | 18 |
| Inner Mongolia | 0.5397 | 0.4667 | 0.4588 | 0.4447 | 0.4136 | 0.4063 | 0.4175 | 0.4496 | 19 |
| Heilongjiang | 0.5199 | 0.4442 | 0.4278 | 0.4423 | 0.4097 | 0.4407 | 0.4610 | 0.4494 | 20 |
| Shanxi | 0.5295 | 0.4704 | 0.4282 | 0.4086 | 0.4212 | 0.4456 | 0.3908 | 0.4420 | 21 |
| Guizhou | 0.4220 | 0.4623 | 0.4698 | 0.4144 | 0.3887 | 0.4516 | 0.4698 | 0.4398 | 22 |
| Fujian | 0.5066 | 0.4407 | 0.4163 | 0.4016 | 0.4410 | 0.4539 | 0.4053 | 0.4379 | 23 |
| Guangxi | 0.5323 | 0.4233 | 0.4500 | 0.3880 | 0.4006 | 0.4189 | 0.4093 | 0.4318 | 24 |
| Hubei | 0.5252 | 0.4347 | 0.3569 | 0.3421 | 0.4249 | 0.4532 | 0.4629 | 0.4286 | 25 |
| Yunnan | 0.5195 | 0.4544 | 0.4613 | 0.3728 | 0.3466 | 0.3725 | 0.3966 | 0.4177 | 26 |
| Shaanxi | 0.5121 | 0.4153 | 0.3992 | 0.3888 | 0.4029 | 0.3806 | 0.4240 | 0.4176 | 27 |
| Jilin | 0.5047 | 0.4292 | 0.3562 | 0.3873 | 0.3747 | 0.3898 | 0.3829 | 0.4035 | 28 |
| Hainan | 0.5588 | 0.5146 | 0.4840 | 0.2773 | 0.3246 | 0.2643 | 0.3441 | 0.3954 | 29 |
| Liaoning | 0.4444 | 0.3857 | 0.3898 | 0.3903 | 0.3489 | 0.3771 | 0.4205 | 0.3938 | 30 |
| Gansu | 0.4881 | 0.4330 | 0.4218 | 0.3523 | 0.3585 | 0.3062 | 0.3112 | 0.3816 | 31 |
| the east | 0.5820 | 0.5038 | 0.5123 | 0.4734 | 0.5183 | 0.4817 | 0.5006 | ||
| the middle | 0.5322 | 0.4543 | 0.4390 | 0.4312 | 0.4454 | 0.4523 | 0.4403 | ||
| the west | 0.5194 | 0.4694 | 0.4525 | 0.4263 | 0.4354 | 0.4296 | 0.4546 | ||
| Year | I | E (I) | Sd (I) | Z | p-Value |
|---|---|---|---|---|---|
| 1990 | 0.169 | −0.033 | 0.072 | 2.815 | 0.002 |
| 1995 | 0.224 | −0.033 | 0.072 | 3.588 | 0.000 |
| 2000 | 0.296 | −0.033 | 0.074 | 4.452 | 0.000 |
| 2005 | 0.378 | −0.033 | 0.074 | 5.522 | 0.000 |
| 2010 | 0.245 | −0.033 | 0.074 | 3.765 | 0.000 |
| 2015 | 0.079 | −0.033 | 0.072 | 1.562 | 0.059 |
| 2019 | 0.143 | −0.033 | 0.074 | 2.390 | 0.008 |
Publisher’s Note: MDPI stays neutral with regard to jurisdictional claims in published maps and institutional affiliations. |
© 2021 by the authors. Licensee MDPI, Basel, Switzerland. This article is an open access article distributed under the terms and conditions of the Creative Commons Attribution (CC BY) license (https://creativecommons.org/licenses/by/4.0/).
Share and Cite
Guo, H.; Yi, X.; Pan, C.; Yang, B.; Li, Y. Analysis on the Temporal and Spatial Features of the Coupling and Coordination of Industrialization and Agricultural Green Development in China during 1990–2019. Int. J. Environ. Res. Public Health 2021, 18, 8320. https://doi.org/10.3390/ijerph18168320
Guo H, Yi X, Pan C, Yang B, Li Y. Analysis on the Temporal and Spatial Features of the Coupling and Coordination of Industrialization and Agricultural Green Development in China during 1990–2019. International Journal of Environmental Research and Public Health. 2021; 18(16):8320. https://doi.org/10.3390/ijerph18168320
Chicago/Turabian StyleGuo, Hongpeng, Xin Yi, Chulin Pan, Baiming Yang, and Yin Li. 2021. "Analysis on the Temporal and Spatial Features of the Coupling and Coordination of Industrialization and Agricultural Green Development in China during 1990–2019" International Journal of Environmental Research and Public Health 18, no. 16: 8320. https://doi.org/10.3390/ijerph18168320
APA StyleGuo, H., Yi, X., Pan, C., Yang, B., & Li, Y. (2021). Analysis on the Temporal and Spatial Features of the Coupling and Coordination of Industrialization and Agricultural Green Development in China during 1990–2019. International Journal of Environmental Research and Public Health, 18(16), 8320. https://doi.org/10.3390/ijerph18168320

