Application of Multivariate Statistical Techniques and Water Quality Index for the Assessment of Water Quality and Apportionment of Pollution Sources in the Yeongsan River, South Korea
Abstract
:1. Introduction
2. Materials and Methods
2.1. Study Area
2.2. Data Sources and Analysis of Water Quality Parameters
2.3. Calculation of WQI
- Step 1: Calculate the unit weight factors for each parameter with the following formula:where and Sn = standard desirable value of the nth parameter. Upon summation of all selected parameters’ unit weight factors, Wn = 1 (unity).
- Step 2: Calculate the sub-index (Qn) value using the following formula:where Vn = mean concentration of the nth parameter, Sn = standard desirable value of the nth parameter, and Vo = actual value of the parameter in pure water (Vo = 0 for most parameters except for pH = 7 and DO = 14.6).
- Step 3: Combining steps 1 and 2, the WQI is calculated as follows:
2.4. Statistical Analyses
2.4.1. Co-Occurrence Network Analysis
2.4.2. Mann–Kendall Trend Analysis
2.4.3. Cluster Analysis (CA)
2.4.4. Discriminant Analysis (DA)
2.4.5. Principal Component Analysis and Factor Analysis (PCA/FA)
2.4.6. Positive Matrix Factorization (PMF) Model
3. Results and Discussion
3.1. Physicochemical Properties of the River
3.2. Monsoon Effects on Water Quality
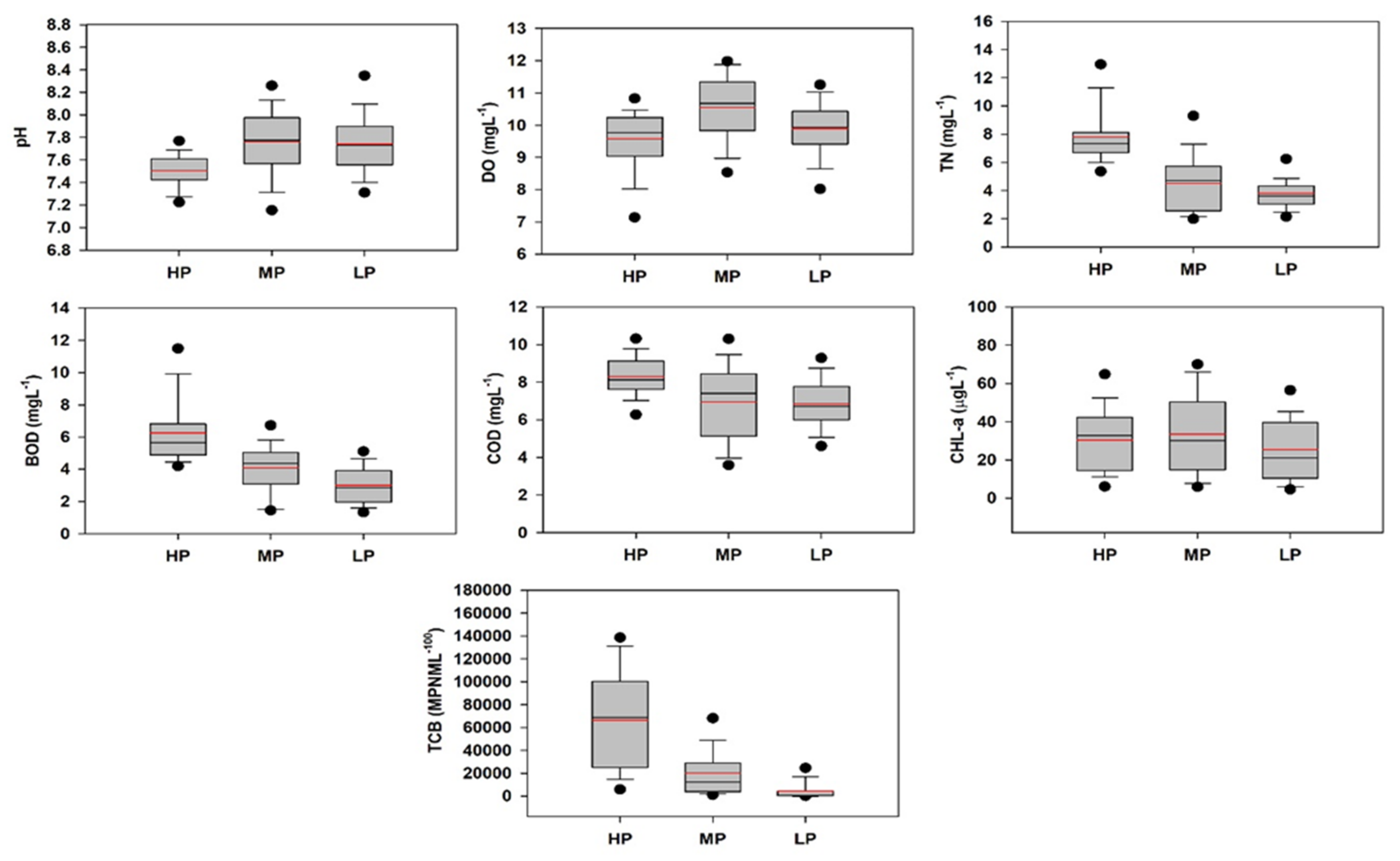
3.3. Effects of Weirs on Water Quality
3.4. Correlation Network of Water Quality Parameters
3.5. Water Quality Monitoring and Water Quality Index
3.6. Spatial Similarity and Site Grouping
3.7. Spatial and Temporal Variations in River Water Quality
3.8. Identification of Potential Pollution Sources
3.9. Source Apportionment Using the PMF Model
3.10. Management Implications and Recommendations
4. Conclusions
Supplementary Materials
Author Contributions
Funding
Institutional Review Board Statement
Informed Consent Statement
Data Availability Statement
Acknowledgments
Conflicts of Interest
References
- Varol, M.; Gokot, B.; Bekleyen, A.; Şen, B. Water quality assessment and apportionment of pollution sources of Tigris River (Turkey) using multivariate statistical techniques—A case study. River Res. Appl. 2012, 28, 1428–1438. [Google Scholar] [CrossRef]
- Macklin, M.G.; Lewin, J. The rivers of civilization. Quat. Sci. Rev. 2015, 114, 228–244. [Google Scholar] [CrossRef]
- Singh, K.P.; Malik, A.; Mohan, D.; Sinha, S. Multivariate statistical techniques for the evaluation of spatial and temporal variations in water quality of Gomti River (India)—A case study. Water Res. 2004, 38, 3980–3992. [Google Scholar] [CrossRef]
- Mamun, M.; Lee, S.J.; An, K.G. Temporal and spatial variation of nutrients, suspended solids, and chlorophyll in Yeongsan watershed. J. Asia Pac. Biodivers. 2018, 11, 206–216. [Google Scholar] [CrossRef]
- Ravindra, K.; Meenakshi, A.; Rani, M.; Kaushik, A. Seasonal variations in physico-chemical characteristics of River Yamuna in Haryana and its ecological best-designated use. J. Environ. Monit. 2003, 5, 419–426. [Google Scholar] [CrossRef] [Green Version]
- Shrestha, S.; Kazama, F. Assessment of surface water quality using multivariate statistical techniques: A case study of the Fuji river basin, Japan. Environ. Model. Softw. 2007, 22, 464–475. [Google Scholar] [CrossRef]
- Singh, K.P.; Malik, A.; Sinha, S. Water quality assessment and apportionment of pollution sources of Gomti river (India) using multivariate statistical techniques—A case study. Anal. Chim. Acta 2005, 538, 355–374. [Google Scholar] [CrossRef]
- Gholizadeh, M.H.; Melesse, A.M.; Reddi, L. Water quality assessment and apportionment of pollution sources using APCS-MLR and PMF receptor modeling techniques in three major rivers of South Florida. Sci. Total Environ. 2016, 566–567, 1552–1567. [Google Scholar] [CrossRef]
- Varol, M. Use of water quality index and multivariate statistical methods for the evaluation of water quality of a stream affected by multiple stressors: A case study. Environ. Pollut. 2020, 266, 115417. [Google Scholar] [CrossRef]
- Carpenter, S.R.; Caraco, N.F.; Correll, D.L.; Howarth, R.W.; Sharpley, A.N.; Smith, V.H. Nonpoint pollution of surface waters with phosphorus and nitrogen. Ecol. Appl. 1998, 8, 559–568. [Google Scholar] [CrossRef]
- Vega, M.; Pardo, R.; Barrado, E.; Debán, L. Assessment of seasonal and polluting effects on the quality of river water by exploratory data analysis. Water Res. 1998, 32, 3581–3592. [Google Scholar] [CrossRef]
- Mamun, M.; Kim, J.Y.; An, K.-G. Multivariate Statistical Analysis of Water Quality and Trophic State in an Artificial Dam Reservoir. Water 2021, 13. [Google Scholar] [CrossRef]
- Islam, A.; Hasanuzzaman, M.; Touhidul Islam, H.M.; Mia, M.U.; Khan, R.; Habib, M.A.; Rahman, M.M.; Siddique, M.A.B.; Moniruzzaman, M.; Rashid, M.B. Quantifying Source Apportionment, Co-occurrence, and Ecotoxicological Risk of Metals from Upstream, Lower Midstream, and Downstream River Segments, Bangladesh. Environ. Toxicol. Chem. 2020, 39, 2041–2054. [Google Scholar] [CrossRef]
- Chen, P.; Li, L.; Zhang, H. Spatio-temporal variations and source apportionment of water pollution in Danjiangkou Reservoir Basin, Central China. Water 2015, 7, 2591–2611. [Google Scholar] [CrossRef] [Green Version]
- Varol, M. Spatio-temporal changes in surface water quality and sediment phosphorus content of a large reservoir in Turkey. Environ. Pollut. 2020, 259, 113860. [Google Scholar] [CrossRef]
- Debels, P.; Figueroa, R.; Urrutia, R.; Barra, R.; Niell, X. Evaluation of water quality in the Chillán River (Central Chile) using physicochemical parameters and a modified Water Quality Index. Environ. Monit. Assess. 2005, 110, 301–322. [Google Scholar] [CrossRef] [PubMed]
- Bora, M.; Goswami, D.C. Water quality assessment in terms of water quality index (WQI): Case study of the Kolong River, Assam, India. Appl. Water Sci. 2017, 7, 3125–3135. [Google Scholar] [CrossRef] [Green Version]
- Xiao, Y.; Yin, S.; Hao, Q.; Gu, X.; Pei, Q.; Zhang, Y. Hydrogeochemical appraisal of groundwater quality and health risk in a near-suburb area of North China. J. Water Supply Res. Technol. AQUA 2020, 69, 55–69. [Google Scholar] [CrossRef]
- Yu, S.; Xu, Z.; Wu, W.; Zuo, D. Effect of land use on the seasonal variation of streamwater quality in the Wei River basin, China. Proc. Int. Assoc. Hydrol. 2015, 368, 454–459. [Google Scholar] [CrossRef] [Green Version]
- Hao, Q.; Xiao, Y.; Chen, K.; Zhu, Y.; Li, J. Comprehensive understanding of groundwater geochemistry and suitability for sustainable drinking purposes in confined aquifers of the wuyi region, central north china plain. Water 2020, 12, 3052. [Google Scholar] [CrossRef]
- Luo, Y.; Xiao, Y.; Hao, Q.; Zhang, Y.; Zhao, Z.; Wang, S.; Dong, G. Groundwater geochemical signatures and implication for sustainable development in a typical endorheic watershed on Tibetan plateau. Environ. Sci. Pollut. Res. 2021. [Google Scholar] [CrossRef]
- Kwaraham, A.I.; Salih, N.M.; Ahmed, Z.H.G.; Hamasalih, N.Y. Application of water quality index (WQI) as a possible indicator for agriculture purpose and assessing the ability of self purification process by Qalyasan stream in Sulamani City/Iraqi Kurdistan Region (IKR). Int. J. Plant Anim. Environ. Sci. 2015, 5, 162–173. [Google Scholar]
- Brown, R.M.; McClelland, N.I.; Deininger, R.A.; O’Connor, M.F. A Water Quality Index—Crashing the Psychological Barrier. Indic. Environ. Qual. 1972, 173–182. [Google Scholar] [CrossRef]
- Chen, J.; Li, F.; Fan, Z.; Wang, Y. Integrated application of multivariate statistical methods to source apportionment ofwatercourses in the liao river basin, northeast China. Int. J. Environ. Res. Public Health 2016, 13. [Google Scholar] [CrossRef] [Green Version]
- Chen, J.; Lu, J. Effects of land use, topography and socio-economic factors on river water quality in a mountainous watershed with intensive agricultural production in East China. PLoS ONE 2014, 9, e102714. [Google Scholar] [CrossRef] [PubMed]
- De Andrade Costa, D.; Soares de Azevedo, J.P.; dos Santos, M.A.; dos Santos Facchetti Vinhaes Assumpção, R. Water quality assessment based on multivariate statistics and water quality index of a strategic river in the Brazilian Atlantic Forest. Sci. Rep. 2020, 10, 1–13. [Google Scholar] [CrossRef] [PubMed]
- Goonetilleke, A.; Thomas, E.; Ginn, S.; Gilbert, D. Understanding the role of land use in urban stormwater quality management. J. Environ. Manag. 2005, 74, 31–42. [Google Scholar] [CrossRef] [Green Version]
- Liu, J.; Zhang, D.; Tang, Q.; Xu, H.; Huang, S.; Shang, D.; Liu, R. Water quality assessment and source identification of the Shuangji River (China) using multivariate statistical methods. PLoS ONE 2021, 16, e0245525. [Google Scholar] [CrossRef]
- Lee, K.H.; Kang, T.W.; Ryu, H.S.; Hwang, S.H.; Kim, K. Analysis of spatiotemporal variation in river water quality using clustering techniques: A case study in the Yeongsan River, Republic of Korea. Environ. Sci. Pollut. Res. 2020, 27, 29327–29340. [Google Scholar] [CrossRef]
- Muangthong, S.; Shrestha, S. Assessment of surface water quality using multivariate statistical techniques: Case study of the Nampong River and Songkhram River, Thailand. Environ. Monit. Assess. 2015, 187. [Google Scholar] [CrossRef]
- USEPA. EPA Positive Matrix Factorization (PMF) 5.0 Fundamentals and User Guide; Environmental Protection Agency Office of Research and Development: Washington, DC, USA, 2014; p. 136.
- Hemann, J.G.; Brinkman, G.L.; Dutton, S.J.; Hannigan, M.P.; Milford, J.B.; Miller, S.L. Assessing positive matrix factorization model fit: A new method to estimate uncertainty and bias in factor contributions at the measurement time scale. Atmos. Chem. Phys. 2009, 9, 497–513. [Google Scholar] [CrossRef] [Green Version]
- Jin, Y.H.; Kawamura, A.; Park, S.C.; Nakagawa, N.; Amaguchi, H.; Olsson, J. Spatiotemporal classification of environmental monitoring data in the Yeongsan River basin, Korea, using self-organizing maps. J. Environ. Monit. 2011, 13, 2886–2894. [Google Scholar] [CrossRef] [PubMed]
- Jones, J.; McEachern, P.; Seo, D. Empirical evidence of monsoon Influences on Asian Lakes. Aquat. Ecosyst. Health Manag. 2009, 12, 129–137. [Google Scholar] [CrossRef]
- Shin, J.; Kang, B.; Hwang, S. Limnological study on springbloom of a green algae, Eudorina elegans and weirwater pulsed flows in the midstream (Seungchon Weir Pool) of the Yeongsan River, Korea. Korean J. Ecol. Environ. 2016, 49, 320–333. [Google Scholar] [CrossRef]
- MOE. Standard Methods for the Examination of Water Quality Contamination, 7th ed.; Ministry of Environment (MOE): Gwacheon, Korea, 2000; p. 435. (In Korean)
- Mann, H. Nonparametric tests against trend. Econometrica 1945, 13, 245–249. [Google Scholar] [CrossRef]
- Kendall, M. Rank Correlation Methods; Charles Griffin: London, UK, 1975. [Google Scholar]
- Mamun, M.; Kim, J.Y.; An, K.G. Trophic responses of the Asian reservoir to long-term seasonal and interannual dynamic monsoon. Water 2020, 12. [Google Scholar] [CrossRef]
- Chen, Y.Y.; Zhang, C.; Gao, X.P.; Wang, L.Y. Long-term variations of water quality in a reservoir in China. Water Sci. Technol. 2012, 65, 1454–1460. [Google Scholar] [CrossRef] [PubMed]
- Singh, A.; Maichle, R. ProUCL V. 5.1.Statistical Software for Environmental Applications for Data Sets with and without Nondetect Observations; USEPA: Washington, DC, USA, 2016.
- HaRa, J.; Mamun, M.; An, K.G. Ecological river health assessments using chemical parameter model and the index of biological integrity model. Water 2019, 11. [Google Scholar] [CrossRef] [Green Version]
- Hammer, Ø.; Harper, D.; Ryan, P. PAST: Paleontological statistics software package for education and data analysis. Palaeontol. Electron. 2001, 4, 9. [Google Scholar]
- Hopke, P.K. Recent developments in receptor modeling. J. Chemom. 2003, 17, 255–265. [Google Scholar] [CrossRef]
- Paatero, P. Least squares formulation of robust non-negative factor analysis. Chemom. Intell. Lab. Syst. 1997, 37, 23–35. [Google Scholar] [CrossRef]
- Larsen, R.K.; Baker, J.E. Source apportionment of polycyclic aromatic hydrocarbons in the urban atmosphere: A comparison of three methods. Environ. Sci. Technol. 2003, 37, 1873–1881. [Google Scholar] [CrossRef]
- Polissar, A.V.; Hopke, P.K.; Paatero, P.; Malm, W.C.; Sisler, J.F. Atmospheric aerosol over Alaska 2. Elemental composition and sources. J. Geophys. Res. Atmos. 1998, 103, 19045–19057. [Google Scholar] [CrossRef]
- Kannel, P.R.; Lee, S.; Kanel, S.R.; Khan, S.P.; Lee, Y.S. Spatial-temporal variation and comparative assessment of water qualities of urban river system: A case study of the river Bagmati (Nepal). Environ. Monit. Assess. 2007, 129, 433–459. [Google Scholar] [CrossRef]
- Dodds, W.K.; Jones, J.R.; Welch, E.B. Suggested classification of stream trophic state: Distributions of temperate stream types by chlorophyll, total nitrogen, and phosphorus. Water Res. 1998, 32, 1455–1462. [Google Scholar] [CrossRef]
- Mallin, M.A.; Cahoon, L.B. The Hidden Impacts of Phosphorus Pollution to Streams and Rivers. Bioscience 2020, 70, 315–329. [Google Scholar] [CrossRef]
- MOE. (ECOREA) Environmental Review 2015; Ministry of Environment (MOE): Gwacheon, Korea, 2015; Volume 1.
- Davie, T. Fundamentals of Hydrology, 3rd ed.; Routledge: Oxfordshire, UK, 2019; ISBN 9780415858694. [Google Scholar]
- Shah, K.A.; Joshi, G.S. Evaluation of water quality index for River Sabarmati, Gujarat, India. Appl. Water Sci. 2017, 7, 1349–1358. [Google Scholar] [CrossRef] [Green Version]
- Mamun, M.; Kim, J.J.; Alam, M.A.; An, K.G. Prediction of algal chlorophyll-a and water clarity in monsoon-region reservoir using machine learning approaches. Water 2020, 12. [Google Scholar] [CrossRef] [Green Version]
- US EPA. Nutrient Criteria Technical Guidance Manual: Rivers and Streams; EPA-822-B00-001: Washington, DC, USA, 2000.
- Čučak, D.I.; Marković, N.V.; Radnović, D.V. Microbiological water quality of the Nišava River. Water Sci. Technol. Water Supply 2016, 16, 1668–1673. [Google Scholar] [CrossRef]
- Kavka, G.; Kasimir, G.; Farnleitner, A. Microbiological water quality of the River Danube (km 2581–km 15): Longitudinal variation of pollution as determined by standard parameters. In Proceedings of the 36th International Conference of IAD. Austrian Committee Danube Research/IAD, Vienna, Austria; 2006; pp. 415–421. [Google Scholar]
- Kang, S.-A.; An, K. Spatio-temporal Variation Analysis of Physico-chemical Water Quality in the Yeongsan-River Watershed. Korean J. Limnol. 2006, 39, 73–84. [Google Scholar]
- Mamun, M.; An, K.G. The application of chemical and biological multi-metric models to a small urban stream for ecological health assessments. Ecol. Inform. 2019, 50, 1–12. [Google Scholar] [CrossRef]
- Chang, H. Spatial and temporal variations of water quality in the han river and its tributaries, Seoul, Korea, 1993–2002. Water Air Soil Pollut. 2005, 161, 267–284. [Google Scholar] [CrossRef]
- Mamun, M.; Kwon, S.; Kim, J.E.; An, K.G. Evaluation of algal chlorophyll and nutrient relations and the N:P ratios along with trophic status and light regime in 60 Korea reservoirs. Sci. Total Environ. 2020, 741, 140451. [Google Scholar] [CrossRef]
- Sin, Y.; Lee, H. Changes in hydrology, water quality, and algal blooms in a freshwater system impounded with engineered structures in a temperate monsoon river estuary. J. Hydrol. Reg. Stud. 2020, 32, 100744. [Google Scholar] [CrossRef]
- Mamun, M.; An, K.G. Spatio-Temporal Variations of Fish Guilds, Compositions, Water Chemistry and the Ecological Health Assessments in the Artificial Weir. Asian J. Water Environ. Pollut. 2020, 17, 1–17. [Google Scholar] [CrossRef]
- Lee, S.J.; An, K.G. Influence of weir construction on chemical water quality, physical habitat, and biological integrity of fish in the geum river, south korea. Polish J. Environ. Stud. 2019, 28, 2175–2186. [Google Scholar] [CrossRef]
- Kwak, S.D.; Choi, J.W.; An, K.G. Chemical water quality and fish component analyses in the periods of before- and after-the weir constructions in Yeongsan River. J. Ecol. Environ. 2016, 39, 99–110. [Google Scholar] [CrossRef] [Green Version]
- Li, J.; Dong, S.; Liu, S.; Yang, Z.; Peng, M.; Zhao, C. Effects of cascading hydropower dams on the composition, biomass and biological integrity of phytoplankton assemblages in the middle Lancang-Mekong River. Ecol. Eng. 2013, 60, 316–324. [Google Scholar] [CrossRef]
- Yi, H.S.; Lee, B.; Park, S.; Kwak, K.C.; An, K.G. Prediction of short-term algal bloom using the M5P model-tree and extreme learning machine. Environ. Eng. Res. 2019, 24, 404–411. [Google Scholar] [CrossRef]
- Maavara, T.; Lauerwald, R.; Regnier, P.; Van Cappellen, P. Global perturbation of organic carbon cycling by river damming. Nat. Commun. 2017, 8, 1–10. [Google Scholar] [CrossRef]
- Zou, W.; Zhu, G.; Cai, Y.; Vilmi, A.; Xu, H.; Zhu, M.; Gong, Z.; Zhang, Y.; Qin, B. Relationships between nutrient, chlorophyll a and Secchi depth in lakes of the Chinese Eastern Plains ecoregion: Implications for eutrophication management. J. Environ. Manag. 2020, 260, 109923. [Google Scholar] [CrossRef] [PubMed]
- Saha, A.; Ramya, V.L.; Jesna, P.K.; Mol, S.S.; Panikkar, P.; Vijaykumar, M.E.; Sarkar, U.K.; Das, B.K. Evaluation of Spatio-temporal Changes in Surface Water Quality and Their Suitability for Designated Uses, Mettur Reservoir, India. Nat. Resour. Res. 2021. [Google Scholar] [CrossRef]
- Jung, S.; Lee, D.; Hwang, K.; Lee, K.; Choi, K.; Im, S.; Lee, Y.; Lee, J.; Lim, B. Evaluation of Pollutant Characteristics in Yeongsan River Using Multivariate Analysis. Korean J. Ecol. Environ. 2012, 45, 368–377. (In Korean) [Google Scholar] [CrossRef]
- Song, E.; Jeon, S.; Lee, E.; Park, D.; Shin, Y. Long-term Trend Analysis of Chlorophyll a and Water Quality in the Yeongsan River. Korean J. Limnol. 2012, 45, 302–313. (In Korean) [Google Scholar]
- WHO. Guidelines for Drinking Water Quality: Management of Cyanobacteria in Drinking Water Suppliers Information for Regulators and Water Suppliers, 4th ed.; World Health Organization: Geneva, Switzerland, 2015. [Google Scholar]
- NRC. Clean Coastal Waters: Understanding and Reducing the Effects of Nutrient Pollution; National Academies Press: Washington, DC, USA, 2000. [Google Scholar]
- Lee, J.; Lee, S.; Yu, S.; Rhew, D. Relationships between water quality parameters in rivers and lakes: BOD5, COD, NBOPs, and TOC. Environ. Monit. Assess. 2016, 188, 1–8. [Google Scholar] [CrossRef]
- Leenheer, J.; Croue, J. Characterizing aquatic dissolved organic matter. Environ. Sci. Technol. 2003, 37, 18A–26A. [Google Scholar] [CrossRef] [Green Version]
- Kim, M.; Lee, S.; Mun, H.; Cho, H.-S.; Lee, J.; KIm, K. A Nonparametric Trend Tests Using TMDL Data in the Nakdong River. J. Korean Soc. Water Environ. 2017, 33, 40–50. [Google Scholar] [CrossRef]
- GMC. White-Paper for the Policy of Gwangju Metropolitan City. 2017, pp. 773–778. Available online: http://gwangju.go.kr/html/down/04/2017/1-1_2017.pdf (accessed on 15 November 2019).
- Kalavathy, S.; Rakesh Sharma, T.; Sureshkumar, P. Water Quality Index of River Cauvery in Tiruchirappalli district, Tamilnadu. Arch. Environ. Sci. 2011, 5, 55–61. [Google Scholar]
- Dudgeon, D. Tropical Asian Streams: Zoobethos, Ecology and Conservation; Hong Kong University Press: Hong Kong, China, 1991. [Google Scholar]
- Hemamalini, J.; Mudgal, B.V.; Sophia, J.D. Effects of domestic and industrial effluent discharges into the lake and their impact on the drinking water in Pandravedu village, Tamil Nadu, India. Glob. Nest J. 2017, 19, 225–231. [Google Scholar] [CrossRef]
- Lim, W.Y.; Aris, A.Z.; Praveena, S.M. Application of the chemometric approach to evaluate the spatial variation of water chemistry and the identification of the sources of pollution in Langat River, Malaysia. Arab. J. Geosci. 2013, 6, 4891–4901. [Google Scholar] [CrossRef]
- Jha, D.K.; Vinithkumar, N.V.; Sahu, B.K.; Das, A.K.; Dheenan, P.S.; Venkateshwaran, P.; Begum, M.; Ganesh, T.; Prashanthi Devi, M.; Kirubagaran, R. Multivariate statistical approach to identify significant sources influencing the physico-chemical variables in Aerial Bay, North Andaman, India. Mar. Pollut. Bull. 2014, 85, 261–267. [Google Scholar] [CrossRef] [PubMed]








| Variables | Components | ||
|---|---|---|---|
| VF1 | VF2 | VF3 | |
| pH | 0.05 | −0.76 | 0.42 |
| WT | 0.85 | 0.27 | 0.06 |
| DO | −0.18 | −0.21 | 0.91 |
| EC | −0.39 | −0.17 | −0.77 |
| TSS | 0.73 | −0.48 | −0.11 |
| BOD | 0.83 | 0.50 | 0.16 |
| COD | 0.92 | 0.15 | −0.01 |
| TP | 0.67 | 0.71 | −0.02 |
| TN | 0.74 | 0.61 | −0.16 |
| CHL-a | 0.82 | −0.03 | 0.39 |
| TCB | 0.19 | 0.82 | 0.13 |
| Eigenvalues | 4.76 | 2.78 | 1.87 |
| % of Variance | 43.27 | 25.31 | 17.00 |
| Cumulative % | 43.27 | 68.58 | 85.58 |
| Variables | Profile Contribution (Conc.) | Profile Contribution (%) | R2 | ||||
|---|---|---|---|---|---|---|---|
| Factor 1 | Factor 2 | Factor 3 | Factor 1 | Factor 2 | Factor 3 | ||
| WT | 8.41 | 2.29 | 5.87 | 50.77 | 13.80 | 35.43 | 0.55 |
| DO | 5.13 | 1.16 | 3.59 | 51.93 | 11.75 | 36.32 | 0.12 |
| EC | 149.17 | 0.06 | 275.33 | 35.14 | 0.01 | 64.85 | 0.69 |
| TSS | 10.58 | 2.48 | 4.37 | 60.70 | 14.23 | 25.06 | 0.38 |
| BOD | 2.33 | 1.20 | 0.19 | 62.56 | 32.22 | 5.22 | 0.92 |
| COD | 4.10 | 1.29 | 1.68 | 58.04 | 18.23 | 23.73 | 0.87 |
| TP | 87.50 | 87.90 | 14.69 | 46.03 | 46.24 | 7.73 | 0.93 |
| TN | 2.13 | 1.50 | 0.71 | 49.12 | 34.50 | 16.38 | 0.91 |
| CHL | 21.58 | 7.23 | 0.12 | 74.58 | 25.00 | 0.41 | 0.93 |
| TCB | 2.83 | 13239.00 | 1415.80 | 0.02 | 90.32 | 9.66 | 0.83 |
Publisher’s Note: MDPI stays neutral with regard to jurisdictional claims in published maps and institutional affiliations. |
© 2021 by the authors. Licensee MDPI, Basel, Switzerland. This article is an open access article distributed under the terms and conditions of the Creative Commons Attribution (CC BY) license (https://creativecommons.org/licenses/by/4.0/).
Share and Cite
Mamun, M.; An, K.-G. Application of Multivariate Statistical Techniques and Water Quality Index for the Assessment of Water Quality and Apportionment of Pollution Sources in the Yeongsan River, South Korea. Int. J. Environ. Res. Public Health 2021, 18, 8268. https://doi.org/10.3390/ijerph18168268
Mamun M, An K-G. Application of Multivariate Statistical Techniques and Water Quality Index for the Assessment of Water Quality and Apportionment of Pollution Sources in the Yeongsan River, South Korea. International Journal of Environmental Research and Public Health. 2021; 18(16):8268. https://doi.org/10.3390/ijerph18168268
Chicago/Turabian StyleMamun, Md, and Kwang-Guk An. 2021. "Application of Multivariate Statistical Techniques and Water Quality Index for the Assessment of Water Quality and Apportionment of Pollution Sources in the Yeongsan River, South Korea" International Journal of Environmental Research and Public Health 18, no. 16: 8268. https://doi.org/10.3390/ijerph18168268
APA StyleMamun, M., & An, K.-G. (2021). Application of Multivariate Statistical Techniques and Water Quality Index for the Assessment of Water Quality and Apportionment of Pollution Sources in the Yeongsan River, South Korea. International Journal of Environmental Research and Public Health, 18(16), 8268. https://doi.org/10.3390/ijerph18168268
