Exposure to Organophosphate and Neonicotinoid Insecticides and Its Association with Steroid Hormones among Male Reproductive-Age Farmworkers in Northern Thailand
Abstract
1. Introduction
2. Materials and Methods
2.1. Study Area and Study Participants
2.2. Collection of Urine Samples
2.3. Collection of Blood Samples
2.4. Collection of Data
2.5. Measurement of Urinary OP Metabolites
2.6. Measurement of Urinary NEO/m
2.7. Measurement of Serum Steroid and Reproductive Hormones
2.8. QC and Quality Assurance
2.8.1. Analyses of Urinary OP Metabolites
2.8.2. Analyses of Urinary NEO/m
2.8.3. Analyses of Serum Steroid Hormones
2.9. Statistical Analysis
3. Results
3.1. Characteristics of Study Participants
3.2. Urinary DAP and NEO/m Concentrations
3.3. Serum Steroid Hormone Concentrations
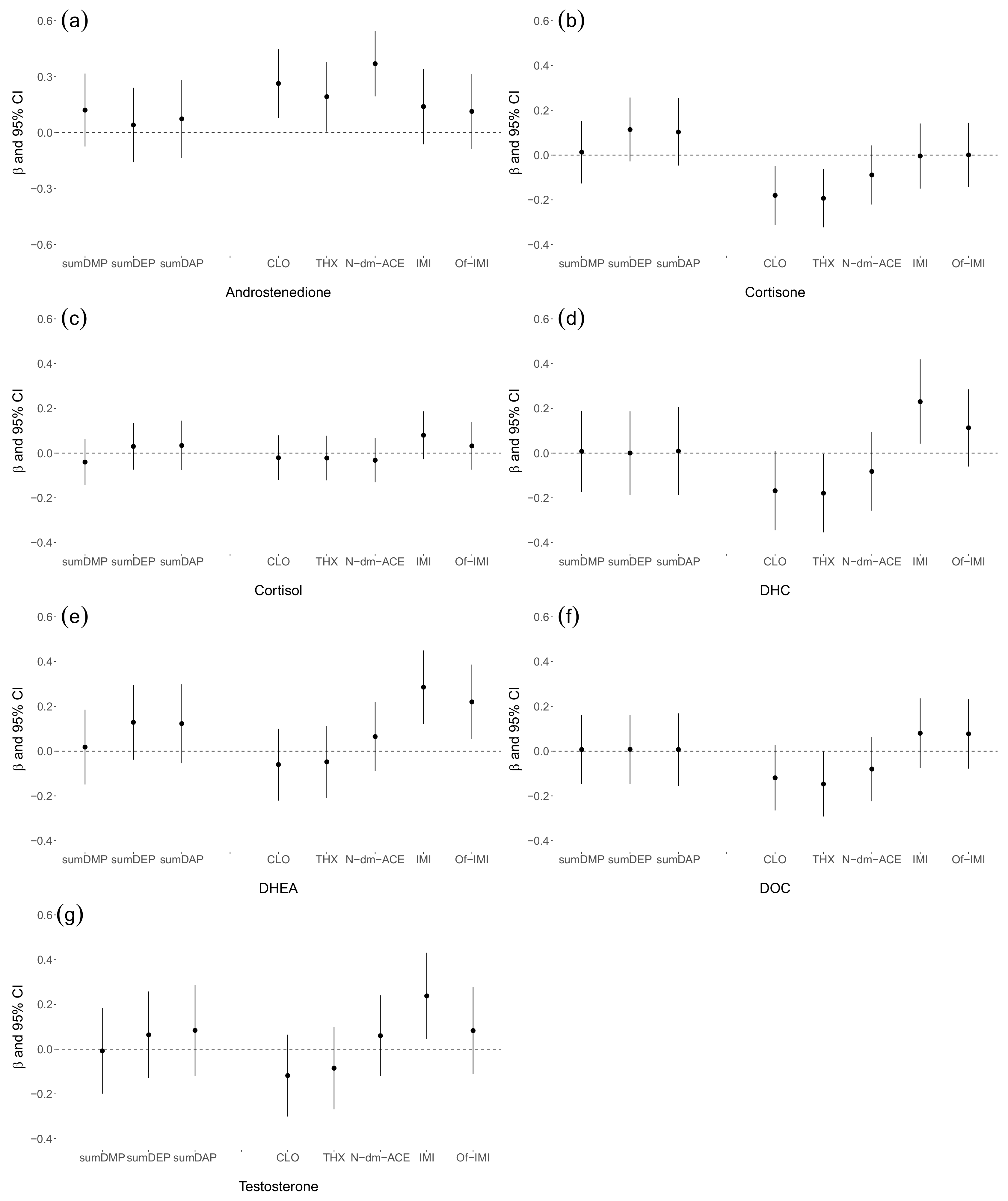
3.4. Associations between DAP and NEO/m Concentrations and Serum Steroid Hormones
4. Discussion
4.1. Serum Steroid Hormones
4.2. Associations between OP and NEO Exposure and Adrenal Androgen Hormones
4.3. Associations between OP and NEO Exposure and Glucocorticoids and Mineralocorticoids
4.4. Limitations
5. Conclusions
Supplementary Materials
Author Contributions
Funding
Institutional Review Board Statement
Informed Consent Statement
Acknowledgments
Conflicts of Interest
References
- Quandt, S.A.; Hernández-Valero, M.A.; Grzywacz, J.G.; Hovey, J.D.; Gonzales, M.; Arcury, T.A. Workplace, Household, and Personal Predictors of Pesticide Exposure for Farmworkers. Environ. Health Perspect. 2006, 114, 943–952. [Google Scholar] [CrossRef] [PubMed]
- Fiedler, N.; Rohitrattana, J.; Siriwong, W.; Suttiwan, P.; Strickland, P.O.; Ryan, P.B.; Rohlman, D.S.; Panuwet, P.; Barr, D.B.; Robson, M.G. Neurobehavioral effects of exposure to organophosphates and pyrethroid pesticides among Thai children. Neurotoxicology 2015, 48, 90–99. [Google Scholar] [CrossRef] [PubMed]
- Casadó, L.; Arrebola, J.P.; Fontalba-Navas, A.; Muñoz, A. Adverse effects of hexaclorobenzene exposure in children and adolescents. Environ. Res. 2019, 176, 108421. [Google Scholar] [CrossRef] [PubMed]
- Mostafalou, S.; Abdollahi, M. Pesticides: An update of human exposure and toxicity. Arch. Toxicol. 2017, 91, 549–599. [Google Scholar] [CrossRef]
- Sifakis, S.; Androutsopoulos, V.P.; Tsatsakis, A.M.; Spandidos, D.A. Human exposure to endocrine disrupting chemicals: Effects on the male and female reproductive systems. Environ. Toxicol. Pharmacol. 2017, 51, 56–70. [Google Scholar] [CrossRef]
- Orta, O.R.; Wesselink, A.K.; Bethea, T.N.; Henn, B.C.; Sjödin, A.; Wegienka, G.; Baird, D.D.; Wise, L.A. Correlates of organochlorine pesticide plasma concentrations among reproductive-aged black women. Environ. Res. 2020, 184, 109352. [Google Scholar] [CrossRef]
- Hauser, R.; Meeker, J.; Park, S.; Silva, M.J.; Calafat, A.M. Temporal Variability of Urinary Phthalate Metabolite Levels in Men of Reproductive Age. Environ. Health Perspect. 2004, 112, 1734–1740. [Google Scholar] [CrossRef]
- Omoike, O.E.; Lewis, R.C.; Meeker, J.D. Association between urinary biomarkers of exposure to organophosphate insecticides and serum reproductive hormones in men from NHANES 1999–2002. Reprod. Toxicol. 2015, 53, 99–104. [Google Scholar] [CrossRef]
- Aguilar-Garduño, C.; Lacasaña, M.; Blanco-Muñoz, J.; Rodríguez-Barranco, M.; Hernández, A.; Bassol, S.; González-Alzaga, B.; Cebrián, M. Changes in male hormone profile after occupational organophosphate exposure. A longitudinal study. Toxicology 2013, 307, 55–65. [Google Scholar] [CrossRef]
- Meeker, J.; Ryan, L.; Barr, D.B.; Hauser, R. Exposure to Nonpersistent Insecticides and Male Reproductive Hormones. Epidemiology 2006, 17, 61–68. [Google Scholar] [CrossRef]
- Lacasaña, M.; López-Flores, I.; Rodríguez-Barranco, M.; Aguilar-Garduño, C.; Blanco-Muñoz, J.; Pérez-Méndez, O.; Gamboa, R.; Bassol, S.; Cebrian, M.E. Association between organophosphate pesticides exposure and thyroid hormones in floriculture workers. Toxicol. Appl. Pharmacol. 2010, 243, 19–26. [Google Scholar] [CrossRef]
- Miranda-Contreras, L.; Gómez-Pérez, R.; Rojas, G.; Cruz, I.; Berrueta, L.; Salmen, S.; Colmenares, M.; Barreto, S.; Balza, A.; Zavala, L.; et al. Occupational Exposure to Organophosphate and Carbamate Pesticides Affects Sperm Chromatin Integrity and Reproductive Hormone Levels among Venezuelan Farm Workers. J. Occup. Health 2013, 55, 195–203. [Google Scholar] [CrossRef] [PubMed]
- Asawasinsopon, R.; Prapamontol, T.; Prakobvitayakit, O.; Vaneesorn, Y.; Mangklabruks, A.; Hock, B. Plasma levels of DDT and their association with reproductive hormones in adult men from northern Thailand. Sci. Total. Environ. 2006, 355, 98–105. [Google Scholar] [CrossRef]
- Blanco-Muñoz, J.; Morales, M.M.; Lacasaña, M.; Aguilar-Garduño, C.; Bassol, S.; Cebrián, M.E. Exposure to organophosphate pesticides and male hormone profile in floriculturist of the state of Morelos, Mexico. Hum. Reprod. 2010, 25, 1787–1795. [Google Scholar] [CrossRef] [PubMed]
- Melgarejo, M.; Mendiola, J.; Koch, H.M.; Moñino-García, M.; Noguera-Velasco, J.A.; Torres-Cantero, A.M. Associations between urinary organophosphate pesticide metabolite levels and reproductive parameters in men from an infertility clinic. Environ. Res. 2015, 137, 292–298. [Google Scholar] [CrossRef]
- Panuwet, P.; Ladva, C.; Barr, D.B.; Prapamontol, T.; Meeker, J.; D’Souza, P.E.; Maldonado, H.; Ryan, P.B.; Robson, M.G. Investigation of associations between exposures to pesticides and testosterone levels in Thai farmers. Arch. Environ. Occup. Health 2018, 73, 205–218. [Google Scholar] [CrossRef] [PubMed]
- Kapoor, U.; Srivastava, M.; Srivastava, L. Toxicological impact of technical imidacloprid on ovarian morphology, hormones and antioxidant enzymes in female rats. Food Chem. Toxicol. 2011, 49, 3086–3089. [Google Scholar] [CrossRef]
- Bal, R.; Naziroğlu, M.; Türk, G.; Yilmaz, Ö.; Kuloğlu, T.; Etem, E.; Baydas, G. Insecticide imidacloprid induces morphological and DNA damage through oxidative toxicity on the reproductive organs of developing male rats. Cell Biochem. Funct. 2012, 30, 492–499. [Google Scholar] [CrossRef]
- Bal, R.; Türk, G.; Yılmaz, Ö.; Etem, E.; Kuloğlu, T.; Baydaş, G.; Naziroğlu, M. Effects of clothianidin exposure on sperm quality, testicular apoptosis and fatty acid composition in developing male rats. Cell Biol. Toxicol. 2012, 28, 187–200. [Google Scholar] [CrossRef]
- Bal, R.; Türk, G.; Tuzcu, M.; Yılmaz, Ö.; Kuloğlu, T.; Baydaş, G.; Naziroğlu, M.; Yener, Z.; Etem, E.; Tuzcu, Z. Effects of the neonicotinoid insecticide, clothianidin, on the reproductive organ system in adult male rats. Drug Chem. Toxicol. 2013, 36, 421–429. [Google Scholar] [CrossRef]
- Gu, Y.-H.; Li, Y.; Huang, X.-F.; Zheng, J.-F.; Yang, J.; Diao, H.; Yuan, Y.; Xu, Y.; Liu, M.; Shi, H.-J.; et al. Reproductive Effects of Two Neonicotinoid Insecticides on Mouse Sperm Function and Early Embryonic Development In Vitro. PLoS ONE 2013, 8, e70112. [Google Scholar] [CrossRef] [PubMed]
- Sano, K.; Isobe, T.; Yang, J.; Win-Shwe, T.T.; Yoshikane, M.; Nakayama, S.F.; Kawashima, T.; Suzuki, G.; Hashimoto, S.; Nohara, K.; et al. In utero and Lactational Exposure to Acetamiprid Induces Abnormalities in Socio-Sexual and Anxiety-Related Behaviors of Male Mice. Front. Neurosci. 2016, 10, 228. [Google Scholar] [CrossRef] [PubMed]
- Cimino, A.M.; Boyles, A.; Thayer, K.A.; Perry, M.J. Effects of Neonicotinoid Pesticide Exposure on Human Health: A Systematic Review. Environ. Health Perspect. 2017, 125, 155–162. [Google Scholar] [CrossRef] [PubMed]
- Yang, W.; Carmichael, S.L.; Roberts, E.M.; Kegley, S.E.; Padula, A.M.; English, P.B.; Shaw, G.M. Residential Agricultural Pesticide Exposures and Risk of Neural Tube Defects and Orofacial Clefts Among Offspring in the San Joaquin Valley of California. Am. J. Epidemiol. 2014, 179, 740–748. [Google Scholar] [CrossRef] [PubMed]
- Carmichael, S.L.; Yang, W.; Roberts, E.; Kegley, S.E.; Padula, A.M.; English, P.B.; Lammer, E.J.; Shaw, G.M. Residential agricultural pesticide exposures and risk of selected congenital heart defects among offspring in the San Joaquin Valley of California. Environ. Res. 2014, 135, 133–138. [Google Scholar] [CrossRef] [PubMed]
- Ichikawa, G.; Kuribayashi, R.; Ikenaka, Y.; Ichise, T.; Nakayama, S.M.M.; Ishizuka, M.; Taira, K.; Fujioka, K.; Sairenchi, T.; Kobashi, G.; et al. LC-ESI/MS/MS analysis of neonicotinoids in urine of very low birth weight infants at birth. PLoS ONE 2019, 14, e0219208. [Google Scholar] [CrossRef] [PubMed]
- Koureas, M.; Tsezou, A.; Tsakalof, A.; Orfanidou, T.; Hadjichristodoulou, C. Increased levels of oxidative DNA damage in pesticide sprayers in Thessaly Region (Greece). Implications of pesticide exposure. Sci. Total. Environ. 2014, 496, 358–364. [Google Scholar] [CrossRef]
- Kushnir, M.M.; Blamires, T.; Rockwood, A.L.; Roberts, W.L.; Yue, B.; Erdogan, E.; Bunker, A.M.; Meikle, A.W. Liquid Chromatography–Tandem Mass Spectrometry Assay for Androstenedione, Dehydroepiandrosterone, and Testosterone with Pediatric and Adult Reference Intervals. Clin. Chem. 2010, 56, 1138–1147. [Google Scholar] [CrossRef]
- Araki, A.; Miyashita, C.; Mitsui, T.; Goudarzi, H.; Mizutani, F.; Chisaki, Y.; Itoh, S.; Sasaki, S.; Cho, K.; Moriya, K.; et al. Prenatal organochlorine pesticide exposure and the disruption of steroids and reproductive hormones in cord blood: The Hokkaido study. Environ. Int. 2018, 110, 1–13. [Google Scholar] [CrossRef]
- Kulle, A.E.; Welzel, M.; Holterhus, P.-M.; Riepe, F.G. Implementation of a Liquid Chromatography Tandem Mass Spectrometry Assay for Eight Adrenal C-21 Steroids and Pediatric Reference Data. Horm. Res. Paediatr. 2013, 79, 22–31. [Google Scholar] [CrossRef]
- Suwannarin, N.; Prapamontol, T.; Isobe, T.; Nishihama, Y.; Nakayama, S.F. Characteristics of Exposure of Reproductive-Age Farmworkers in Chiang Mai Province, Thailand, to Organophosphate and Neonicotinoid Insecticides: A Pilot Study. Int. J. Environ. Res. Public Health 2020, 17, 7871. [Google Scholar] [CrossRef] [PubMed]
- Kongtip, P.; Nankongnab, N.; Pundee, R.; Kallayanatham, N.; Pengpumkiat, S.; Chungcharoen, J.; Phommalachai, C.; Konthonbut, P.; Choochouy, N.; Sowanthip, P.; et al. Acute Changes in Thyroid Hormone Levels among Thai Pesticide Sprayers. Toxics 2021, 9, 16. [Google Scholar] [CrossRef] [PubMed]
- Meeker, J.D.; Ravi, S.R.; Barr, D.B.; Hauser, R. Circulating estradiol in men is inversely related to urinary metabolites of nonpersistent insecticides. Reprod. Toxicol. 2008, 25, 184–191. [Google Scholar] [CrossRef] [PubMed]
- Prapamontol, T.; Sutan, K.; Laoyang, S.; Hongsibsong, S.; Lee, G.; Yano, Y.; Hunter, R.E.; Ryan, P.B.; Barr, D.B.; Panuwet, P. Cross validation of gas chromatography-flame photometric detection and gas chromatography–mass spectrometry methods for measuring dialkylphosphate metabolites of organophosphate pesticides in human urine. Int. J. Hyg. Environ. Health 2014, 217, 554–566. [Google Scholar] [CrossRef]
- Zhou, H.; Wang, Y.; Gatcombe, M.; Farris, J.; Botelho, J.C.; Caudill, S.P.; Vesper, H.W. Simultaneous measurement of total estradiol and testosterone in human serum by isotope dilution liquid chromatography tandem mass spectrometry. Anal. Bioanal. Chem. 2017, 409, 5943–5954. [Google Scholar] [CrossRef]
- Gaudl, A.; Kratzsch, J.; Ceglarek, U. Advancement in steroid hormone analysis by LC–MS/MS in clinical routine diagnostics—A three year recap from serum cortisol to dried blood 17α-hydroxyprogesterone. J. Steroid Biochem. Mol. Biol. 2019, 192, 105389. [Google Scholar] [CrossRef]
- Just, A.C.; Adibi, J.J.; Rundle, A.G.; Calafat, A.M.; Camann, D.E.; Hauser, R.; Silva, M.J.; Whyatt, R.M. Urinary and air phthalate concentrations and self-reported use of personal care products among minority pregnant women in New York city. J. Expo. Sci. Environ. Epidemiol. 2010, 20, 625–633. [Google Scholar] [CrossRef]
- Anuurad, E.; Shiwaku, K.; Nogi, A.; Kitajima, K.; Enkhmaa, B.; Shimono, K.; Yamane, Y. The New BMI Criteria for Asians by the Regional Office for the Western Pacific Region of WHO are Suitable for Screening of Overweight to Prevent Metabolic Syndrome in Elder Japanese Workers. J. Occup. Health 2003, 45, 335–343. [Google Scholar] [CrossRef]
- Jeschke, P.; Nauen, R.; Schindler, M.; Elbert, A. Overview of the Status and Global Strategy for Neonicotinoids. J. Agric. Food Chem. 2011, 59, 2897–2908. [Google Scholar] [CrossRef]
- Pruktanakul, T.; Taemkaew, K.; Liabsuetrakul, T.; Leelawattana, R.; Kietsiriroje, N. Normal Reference Ranges of Serum Testosterone and Gonadotropins in Thai Fertile Men: A Cross-sectional Study in a Single Tertiary Center. J. Health Sci. Med. Res. 2020, 39, 123–133. [Google Scholar] [CrossRef]
- Shamim, M.O.; Khan, F.M.A.; Arshad, R. Association between serum total testosterone and Body Mass Index in middle aged healthy men. Pak. J. Med. Sci. 2015, 31, 355–359. [Google Scholar] [CrossRef] [PubMed]
- Panuwet, P.; Prapamontol, T.; Chantara, S.; Thavornyuthikarn, P.; Montesano, M.; Whitehead, R.; Barr, D. Concentrations of urinary pesticide metabolites in small-scale farmers in Chiang Mai Province, Thailand. Sci. Total. Environ. 2008, 407, 655–668. [Google Scholar] [CrossRef] [PubMed]
- Dahl, S.R.; Nermoen, I.; Brønstad, I.; Husebye, E.S.; Løvås, K.; Thorsby, P.M. Assay of steroids by liquid chromatography–tandem mass spectrometry in monitoring 21-hydroxylase deficiency. Endocr. Connect. 2018, 7, 1542–1550. [Google Scholar] [CrossRef] [PubMed]
- Thompson, D.A.; Lehmler, H.-J.; Kolpin, D.W.; Hladik, M.L.; Vargo, J.D.; Schilling, K.E.; LeFevre, G.H.; Peeples, T.L.; Poch, M.C.; LaDuca, L.E.; et al. A critical review on the potential impacts of neonicotinoid insecticide use: Current knowledge of environmental fate, toxicity, and implications for human health. Environ. Sci. Process. Impacts 2020, 22, 1315–1346. [Google Scholar] [CrossRef] [PubMed]
- Lonare, M.; Kumar, M.; Raut, S.; More, A.; Doltade, S.; Badgujar, P.; Telang, A. Evaluation of ameliorative effect of curcumin on imidacloprid-induced male reproductive toxicity in wistar rats. Environ. Toxicol. 2016, 31, 1250–1263. [Google Scholar] [CrossRef]
- Rainey, W.E.; Nakamura, Y. Regulation of the adrenal androgen biosynthesis. J. Steroid Biochem. Mol. Biol. 2008, 108, 281–286. [Google Scholar] [CrossRef]
- Labrie, F.; Luu-The, V.; Lin, S.-X.; Labrie, C.; Simard, J.; Breton, R.; Bélanger, A. The key role of 17β-hydroxysteroid dehydrogenases in sex steroid biology. Steroids 1997, 62, 148–158. [Google Scholar] [CrossRef]
- Zhang, C.; Schilirò, T.; Gea, M.; Bianchi, S.; Spinello, A.; Magistrato, A.; Gilardi, G.; Di Nardo, G. Molecular Basis for Endocrine Disruption by Pesticides Targeting Aromatase and Estrogen Receptor. Int. J. Environ. Res. Public Health 2020, 17, 5664. [Google Scholar] [CrossRef] [PubMed]
- Purves-Tyson, T.D.; Arshi, M.S.; Handelsman, D.J.; Cheng, Y.; Keast, J.R. Androgen and estrogen receptor mediated mechanisms of testosterone action in male rat pelvic autonomic ganglia. Bone 2012, 23, 1–7. [Google Scholar] [CrossRef] [PubMed][Green Version]
- Hamid, N.; Junaid, M.; Pei, D.-S. Combined toxicity of endocrine-disrupting chemicals: A review. Ecotoxicol. Environ. Saf. 2021, 215, 112136. [Google Scholar] [CrossRef]
- Yuan, X.; Shen, J.; Zhang, X.; Tu, W.; Fu, Z.; Jin, Y. Imidacloprid disrupts the endocrine system by interacting with androgen receptor in male mice. Sci. Total. Environ. 2020, 708, 135163. [Google Scholar] [CrossRef] [PubMed]
- Westlund, P.; Yargeau, V. Investigation of the presence and endocrine activities of pesticides found in wastewater effluent using yeast-based bioassays. Sci. Total. Environ. 2017, 607–608, 744–751. [Google Scholar] [CrossRef] [PubMed]
- Recio, R.; Ocampo-Gómez, G.; Morán-Martínez, J.; Borja-Aburto, V.; López-Cervantes, M.; Uribe, M.; Torres-Sánchez, L.; Cebrián, M.E. Pesticide Exposure Alters Follicle-Stimulating Hormone Levels in Mexican Agricultural Workers. Environ. Health Perspect. 2005, 113, 1160–1163. [Google Scholar] [CrossRef] [PubMed]
- Khalil, S.R.; Awad, A.; Mohammed, H.H.; Nassan, M.A. Imidacloprid insecticide exposure induces stress and disrupts glucose homeostasis in male rats. Environ. Toxicol. Pharmacol. 2017, 55, 165–174. [Google Scholar] [CrossRef] [PubMed]
- Barr, D.B.; Angerer, J. Potential Uses of Biomonitoring Data: A Case Study Using the Organophosphorus Pesticides Chlorpyrifos and Malathion. Environ. Health Perspect. 2006, 114, 1763–1769. [Google Scholar] [CrossRef] [PubMed]
- Harada, K.H.; Tanaka, K.; Sakamoto, H.; Imanaka, M.; Niisoe, T.; Hitomi, T.; Kobayashi, H.; Okuda, H.; Inoue, S.; Kusakawa, K.; et al. Biological Monitoring of Human Exposure to Neonicotinoids Using Urine Samples, and Neonicotinoid Excretion Kinetics. PLoS ONE 2016, 11, e0146335. [Google Scholar] [CrossRef]
- Li, A.J.; Martinez-Moral, M.-P.; Kannan, K. Variability in urinary neonicotinoid concentrations in single-spot and first-morning void and its association with oxidative stress markers. Environ. Int. 2020, 135, 105415. [Google Scholar] [CrossRef]
- Spaan, S.; Pronk, A.; Koch, H.M.; Jusko, T.A.; Jaddoe, V.W.; Shaw, P.A.; Tiemeier, H.M.; Hofman, A.; Pierik, F.H.; Longnecker, M.P. Reliability of concentrations of organophosphate pesticide metabolites in serial urine specimens from pregnancy in the Generation R Study. J. Expo. Sci. Environ. Epidemiol. 2015, 25, 286–294. [Google Scholar] [CrossRef]

| General Characteristics | n (%) |
|---|---|
| Age (18–40 years) (n = 143) | |
| Mean (SD) | 30.1 (5.8) |
| Body mass index (kg/m2) (n = 142) | |
| Mean (SD) | 23.5 (4.3) |
| <18.5 (underweight) | 5 (3.5) |
| 18.5–23.0 (normal weight) | 71 (50.0) |
| 23.0–25.0 (overweight) | 26 (18.2) |
| 25.0–30.0 (obese class I) | 27 (18.9) |
| ≥30.0 (obese class II) | 12 (8.4) |
| NA | 2 (1.4) |
| Ethnicity (n = 143) | |
| Thai | 11 (7.7) |
| Other (Hmong, Tai Yai, Burmese, Palong, Lahu) | 132 (92.3) |
| Educational level (n = 143) | |
| Illiterate/no formal education | 81 (56.6) |
| Primary school | 40 (28.0) |
| High school | 12 (8.4) |
| Technical/professional | 5 (3.5) |
| University or higher degree | 5 (3.5) |
| Individual income (n = 139) | |
| Mean (SD) (THB/month) | 9200 (12,000) |
| Smoking status (n = 143) | |
| Never smoked/nonsmoker | 48 (33.6) |
| Former smoker | 18 (12.6) |
| Current smoker | 77 (53.8) |
| Alcohol consumption (n = 143) | |
| No | 22 (15.4) |
| Yes | 121 (84.6) |
| Sampling characteristics | |
| Month of sampling (n = 143) | |
| June | 27 (16.8) |
| July | 84 (58.7) |
| August | 29 (20.3) |
| September | 6 (4.2) |
| Time of urine collection (n = 143) | |
| 05:00–12:00 | 137 (95.8) |
| 12:01–18:00 | 6 (4.2) |
| Time of blood collection (n = 143) | |
| 05:00–12:00 | 139 (97.2) |
| 12:01–18:00 | 4 (2.8) |
| Total number of years spent as a farmworker | |
| Mean (SD) | 8.9 (6.4) |
| Total number of days per week worked in the field | |
| Mean (SD) | 8.1 (1.8) |
| Total number of hours per day worked in the field | |
| Mean (SD) | 5.5 (1.7) |
| Status of farmworker | |
| Working on own farm or family farm; owner | 64 (45.0) |
| Working on another person’s farm; permanent laborer | 63 (44.4) |
| Working on a rented farm | 15 (10.6) |
| NA | 1 (0.7) |
| Last pesticide use | |
| Three days prior to urine collection and the day of urine collection | 66 (46.2) |
| Two weeks ago | 24 (16.8) |
| One month ago | 5 (3.5) |
| >One month ago | 14 (9.8) |
| Do not know | 34 (23.8) |
| Compound (ng/mL) | MDL | >MDL (%) | GM | GSD | Quartiles | ||||
|---|---|---|---|---|---|---|---|---|---|
| P25 | P50 | P75 | P95 | Max. | |||||
| DAP: | |||||||||
| DMP | 5.0 | 28.7 | - | - | - | - | - | 12.6 | 73.4 |
| DMTP | 1.0 | 44.8 | - | - | - | - | 2.8 | 37.0 | 134 |
| DMDTP | 0.5 | 25.2 | - | - | - | - | - | 5.2 | 398 |
| DEP | 1.0 | 100.0 | 20.7 | 4.5 | 3.8 | 9.5 | 24.7 | 150 | 5678 |
| DETP | 0.125 | 99.3 | 23.9 | 4.2 | 3.1 | 7.4 | 25.3 | 123 | 445 |
| DEDTP | 0.25 | 79.0 | 9.3 | 6.1 | 0.7 | 2.2 | 11.9 | 67.3 | 386 |
| NEO/m: | |||||||||
| ACE | 0.0011 | 46.9 | - | - | - | - | 0.006 | 0.1 | 1.5 |
| CLO | 0.007 | 96.5 | 7.4 | 3.6 | 0.04 | 0.1 | 0.2 | 1.0 | 14.6 |
| DIN | 0.003 | 16.1 | - | - | - | - | - | 0.3 | 1.0 |
| FLN | 0.01 | 16.8 | - | - | - | - | - | - | 0.02 |
| IMI | 0.009 | 99.3 | 17.4 | 5.5 | 0.06 | 0.2 | 0.9 | 4.7 | 24.6 |
| NIT | 0.007 | 3.5 | - | - | - | - | - | - | 0.3 |
| THI | 0.0009 | 4.9 | - | - | - | - | - | - | 0.009 |
| THX | 0.003 | 97.2 | 9.1 | 4.9 | 0.03 | 0.07 | 0.3 | 1.9 | 75.8 |
| SUF | 0.002 | 35.7 | - | - | - | - | - | 0.04 | 0.3 |
| dm-CLO | 0.03 | 29.4 | - | - | - | - | 0.07 | 0.6 | 4.1 |
| N-dm-ACE | 0.007 | 99.3 | 15.8 | 3.7 | 0.1 | 0.3 | 0.6 | 4.1 | 18.1 |
| Of-IMI | 0.2 | 64.3 | 5.1 | 5.3 | - | 0.7 | 3.5 | 17.9 | 253 |
| THI-AM | 0.002 | 0.7 | - | - | - | - | - | 0.02 | 0.04 |
| Steroid Hormone (ng/mL) | Mean (SD) | Min. | P25 | P50 | P75 | P95 | Max. |
|---|---|---|---|---|---|---|---|
| Androstenedione | 0.8 (0.3) | 0.3 | 0.6 | 0.7 | 1.0 | 1.4 | 2.4 |
| Cortisol | 140 (67.6) | 5.5 | 91.9 | 127 | 178 | 278 | 379 |
| Cortisone | 24.7 (9.1) | 1.0 | 18.5 | 23.0 | 29.8 | 42.6 | 55.1 |
| DHC | 1.0 (0.7) | 0.07 | 0.5 | 0.8 | 1.3 | 2.2 | 3.4 |
| DHEA | 3.3 (1.8) | 0.5 | 2.0 | 2.9 | 4.4 | 6.7 | 10.0 |
| DOC | 0.9 (0.5) | 0.1 | 0.5 | 0.8 | 1.1 | 1.7 | 3.6 |
| Testosterone | 6.5 (3.1) | 1.5 | 4.4 | 5.9 | 7.9 | 12.1 | 19.9 |
Publisher’s Note: MDPI stays neutral with regard to jurisdictional claims in published maps and institutional affiliations. |
© 2021 by the authors. Licensee MDPI, Basel, Switzerland. This article is an open access article distributed under the terms and conditions of the Creative Commons Attribution (CC BY) license (https://creativecommons.org/licenses/by/4.0/).
Share and Cite
Suwannarin, N.; Prapamontol, T.; Isobe, T.; Nishihama, Y.; Hashimoto, Y.; Mangklabruks, A.; Pantasri, T.; Chantara, S.; Naksen, W.; Nakayama, S.F. Exposure to Organophosphate and Neonicotinoid Insecticides and Its Association with Steroid Hormones among Male Reproductive-Age Farmworkers in Northern Thailand. Int. J. Environ. Res. Public Health 2021, 18, 5599. https://doi.org/10.3390/ijerph18115599
Suwannarin N, Prapamontol T, Isobe T, Nishihama Y, Hashimoto Y, Mangklabruks A, Pantasri T, Chantara S, Naksen W, Nakayama SF. Exposure to Organophosphate and Neonicotinoid Insecticides and Its Association with Steroid Hormones among Male Reproductive-Age Farmworkers in Northern Thailand. International Journal of Environmental Research and Public Health. 2021; 18(11):5599. https://doi.org/10.3390/ijerph18115599
Chicago/Turabian StyleSuwannarin, Neeranuch, Tippawan Prapamontol, Tomohiko Isobe, Yukiko Nishihama, Yuki Hashimoto, Ampica Mangklabruks, Tawiwan Pantasri, Somporn Chantara, Warangkana Naksen, and Shoji F. Nakayama. 2021. "Exposure to Organophosphate and Neonicotinoid Insecticides and Its Association with Steroid Hormones among Male Reproductive-Age Farmworkers in Northern Thailand" International Journal of Environmental Research and Public Health 18, no. 11: 5599. https://doi.org/10.3390/ijerph18115599
APA StyleSuwannarin, N., Prapamontol, T., Isobe, T., Nishihama, Y., Hashimoto, Y., Mangklabruks, A., Pantasri, T., Chantara, S., Naksen, W., & Nakayama, S. F. (2021). Exposure to Organophosphate and Neonicotinoid Insecticides and Its Association with Steroid Hormones among Male Reproductive-Age Farmworkers in Northern Thailand. International Journal of Environmental Research and Public Health, 18(11), 5599. https://doi.org/10.3390/ijerph18115599

