Suitability of SBR for Wastewater Treatment and Reuse: Pilot-Scale Reactor Operated in Different Anoxic Conditions
Abstract
1. Introduction
2. Materials and Methods
2.1. Characteristics of the Studied Wastewater
2.2. Pilot-Scale SBR System Description
2.3. Experimental Setup and Operation of the SBR System
3. Results and Discussion
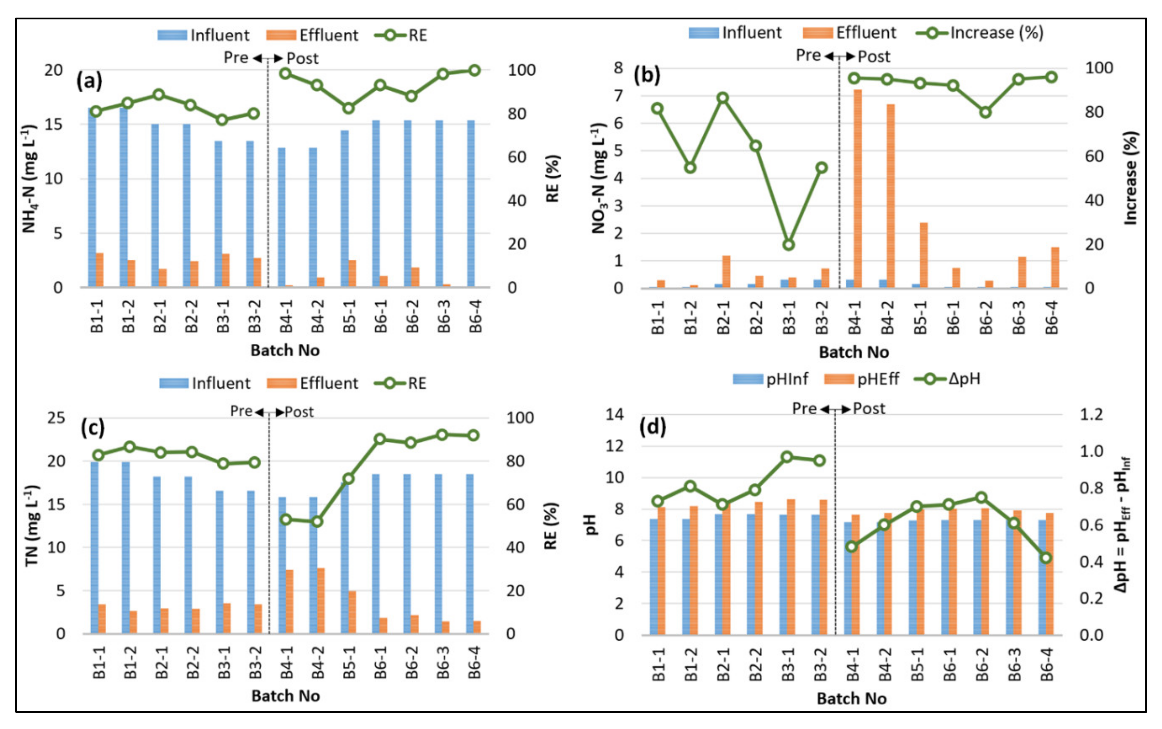
3.1. Nitrogen Removal
3.2. COD, BOD5, and PO43− Removal
3.3. Turbidity, TSS, and TS Removal
3.4. Effects of Parameters on the SBR System Performance
3.5. Comparison of the SBR System Performance with the Literature
4. Conclusions
Author Contributions
Funding
Conflicts of Interest
References
- Mu’azu, N.D.; Jarrah, N.; Zubair, M.; Alagha, O.; Health, P. Removal of phenolic compounds from water using sewage sludge-based activated carbon adsorption: A review. Int. J. Environ. Res. Public Health 2017, 14, 1094. [Google Scholar] [CrossRef] [PubMed]
- Blackburne, R.; Yuan, Z.; Keller, J. Demonstration of nitrogen removal via nitrite in a sequencing batch reactor treating domestic wastewater. Water Res. 2008, 42, 2166–2176. [Google Scholar] [CrossRef] [PubMed]
- Boon, A.G. Sequencing Batch Reactors: A Review. Water Environ. J. 2003, 17, 68–73. [Google Scholar] [CrossRef]
- Boaventura, K. State observers for a biological wastewater nitrogen removal process in a sequential batch reactor. Bioresour. Technol. 2001, 79. [Google Scholar] [CrossRef]
- Lochmatter, S.; Maillard, J.; Holliger, C. Nitrogen removal over nitrite by aeration control in aerobic granular sludge sequencing batch reactors. Int. J. Environ. Res. Public Health 2014, 11, 6955–6978. [Google Scholar] [CrossRef]
- Li, J.; Liu, J.; Wang, D.; Chen, T.; Ma, T.; Wang, Z.; Zhuo, W. Accelerating Aerobic Sludge Granulation by Adding Dry Sewage Sludge Micropowder in Sequencing Batch Reactors. Int. J. Environ. Res. Public Health 2015, 12, 10056–10065. [Google Scholar] [CrossRef] [PubMed]
- Aziz, H.A.; Puat, N.N.A.; Alazaiza, M.Y.D.; Hung, Y.T. Poultry Slaughterhouse Wastewater Treatment Using Submerged Fibers in an Attached Growth Sequential Batch Reactor. Int. J. Environ. Res. Public Health 2018, 15, 1734. [Google Scholar] [CrossRef]
- Dutta, A.; Sarkar, S. Sequencing Batch Reactor for Wastewater Treatment: Recent Advances. Curr. Pol. Rep. 2015, 1, 177–190. [Google Scholar] [CrossRef]
- Chang, H.N.; Moon, R.K.; Park, B.G.; Lim, S.-J.; Choi, D.W.; Lee, W.G.; Song, S.L.; Ahn, Y.H. Simulation of sequential batch reactor (SBR) operation for simultaneous removal of nitrogen and phosphorus. Bioprocess Eng. 2000, 23, 513–521. [Google Scholar] [CrossRef]
- Guerrero, L.; Montalvo, S.; Huiliñir, C.; Barahona, A.; Borja, R.; Cortés, A. Simultaneous nitrification–denitrification of wastewater: Effect of zeolite as a support in sequential batch reactor with step-feed strategy. Int. J. Environ. Sci. Technol. 2016, 13, 2325–2338. [Google Scholar] [CrossRef]
- Khursheed, A.; Gaur, R.Z.; Sharma, M.K.; Tyagi, V.K.; Khan, A.A.; Kazmi, A.A. Dependence of enhanced biological nitrogen removal on carbon to nitrogen and rbCOD to sbCOD ratios during sewage treatment in sequencing batch reactor. J. Clean Prod. 2018, 171, 1244–1254. [Google Scholar] [CrossRef]
- Mees, J.B.; Gomes, S.D.; Hasan, S.D.; Gomes, B.M.; Boas, M.A. Nitrogen removal in a SBR operated with and without pre-denitrification: Effect of the carbon:nitrogen ratio and the cycle time. Environ. Technol. 2014, 35, 115–123. [Google Scholar] [CrossRef] [PubMed]
- Mees, J.B.R.; Gomes, S.D.; Vilas Boas, M.A.; Gomes, B.M.; Passig, F.H. Kinetic behavior of nitrification in the post-treatment of poultry wastewater in a sequential batch reactor. Eng. Agric. 2011, 31, 954–964. [Google Scholar] [CrossRef]
- Mace, S.; Mata-Alvarez, J. Utilization of SBR Technology for Wastewater Treatment: An Overview. Ind. Eng. Chem. Res. 2002, 41, 5539–5553. [Google Scholar] [CrossRef]
- Nancharaiah, Y.V.; Sarvajith, M. Aerobic granular sludge process: A fast growing biological treatment for sustainable wastewater treatment. Curr. Opin. Environ. Sci. Health 2019, 12, 57–65. [Google Scholar] [CrossRef]
- Surampalli, R. Nitrification, denitrification and phosphorus removal in sequential batch reactors. Bioresour. Technol. 1997, 61, 151–157. [Google Scholar] [CrossRef]
- Thakur, C.; Srivastava, V.C.; Mall, I.D. Aerobic degradation of petroleum refinery wastewater in sequential batch reactor. J. Environ. Sci. Health A 2014, 49, 1436–1444. [Google Scholar] [CrossRef]
- Wang, L.; Xu, J.-M.; Ma, S.-S.; Zhao, B.; Zhang, Z.-H.; Zhou, X.-M.; Zhang, H.-W. Biological nitrogen removal in a modified anoxic/oxic process for piggery wastewater treatment. Desalin. Water Treat. 2015, 57, 11266–11274. [Google Scholar] [CrossRef]
- Yan, D.; He, J.; Zuo, X.; Li, Z. Simultaneous effect of organic carbon and ammonium on two-step nitrification within sequential batch reactor (SBR). Int. J. Environ. Sci. Technol. 2018, 16, 2239–2248. [Google Scholar] [CrossRef]
- Chan, Y.J.; Chong, M.F.; Law, C.L.; Hassell, D.G. A review on anaerobic–aerobic treatment of industrial and municipal wastewater. Chem. Eng. J. 2009, 155. [Google Scholar] [CrossRef]
- Winkler, M.; Coats, E.R.; Brinkman, C.K. Advancing post-anoxic denitrification for biological nutrient removal. Water Res. 2011, 45, 6119–6130. [Google Scholar] [CrossRef] [PubMed]
- Pelaz, L.; Gomez, A.; Letona, A.; Garralon, G.; Fdz-Polanco, M. Sequencing batch reactor process for the removal of nitrogen from anaerobically treated domestic wastewater. Water Sci. Technol. 2018, 77, 1581–1590. [Google Scholar] [CrossRef] [PubMed]
- Han, Y.; Qiu, S.; Zeng, H.; Ma, F.; Wang, J.; Qiu, Y.; An, X. Short-Term Effects of Tourmaline on Nitrogen Removals and Microbial Communities in a Sequencing Batch Reactor at Low Temperatures. Int. J. Environ. Res. Public Health 2018, 15, 2819. [Google Scholar] [CrossRef] [PubMed]
- Sharma, B.; Ahlert, R.C. Nitrification and nitrogen removal. Water Res. 1977, 11, 897–925. [Google Scholar] [CrossRef]
- Hanaki, K.; Hong, Z.; Matsuo, T. Production of Nitrous Oxide Gas during Denitrification of Wastewater. Water Sci. Technol. 1992, 26, 1027–1036. [Google Scholar] [CrossRef]
- Sun, S.-P.; Nàcher, C.P.I.; Merkey, B.; Zhou, Q.; Xia, S.-Q.; Yang, D.-H.; Sun, J.-H.; Smets, B.F. Effective Biological Nitrogen Removal Treatment Processes for Domestic Wastewaters with Low C/N Ratios: A Review. Environ. Eng. Sci. 2010, 27, 111–126. [Google Scholar] [CrossRef]
- Beccari, M.; Passino, R.; Ramadori, R.; Tandoi, V. Kinetics of dissimilatory nitrate and nitrite reduction in suspended growth cultures. Water Pollut. Control Fed. 1983, 55, 58–64. [Google Scholar]
- Fontenot, Q.; Bonvillain, C.; Kilgen, M.; Boopathy, R. Effects of temperature, salinity, and carbon: Nitrogen ratio on sequencing batch reactor treating shrimp aquaculture wastewater. Bioresour. Technol. 2007, 98, 1700–1703. [Google Scholar] [CrossRef]
- Jin, Y.X.; Li, X.L. Nitrogen and Phosphorus Removal in Synthetic Domestic Wastewater using SBBR Technology. Appl. Mech. Mater. 2012, 209, 1906–1909. [Google Scholar] [CrossRef]
- Guo, Y.; Peng, Y.; Wang, B.; Li, B.; Zhao, M. Achieving simultaneous nitrogen removal of low C/N wastewater and external sludge reutilization in a sequencing batch reactor. Chem. Eng. J. 2016, 306, 925–932. [Google Scholar] [CrossRef]
- Rice, E.W.; Baird, R.B.; Eaton, A.D. Standard Methods for the Examination of Water and Wastewater, 23th ed.; American Water Works Association (AWWA, WEF and APHA): Washington, DC, USA, 2017; p. 1796. [Google Scholar]
- Han, Y.; Sun, Y.; Chen, H.; Guo, X.; Yu, C.; Li, Y.; Liu, J.; Xiao, B. Effects of wastewater treatment processes on the sludge reduction system with 2,4-dichlorophenol: Sequencing batch reactor and anaerobic-anoxic-oxic process. J. Biotechnol. 2017, 251, 99–105. [Google Scholar] [CrossRef] [PubMed]
- Zhang, Y.; Wang, X.C.; Cheng, Z.; Li, Y.; Tang, J. Effects of additional fermented food wastes on nitrogen removal enhancement and sludge characteristics in a sequential batch reactor for wastewater treatment. Environ. Sci. Pollut. Res. Int. 2016, 23, 12890–12899. [Google Scholar] [CrossRef] [PubMed]
- Callado, N.H.; Foresti, E. Removal of organic carbon, nitrogen and phosphorus in sequential batch reactors integrating the aerobic/anaerobic processes. Water Sci. Technol. 2001, 44, 263–270. [Google Scholar] [CrossRef] [PubMed]
- Sun, F.; Lu, Y.; Wu, J. Comparison of operational strategies for nitrogen removal in aerobic granule sludge sequential batch reactor (AGS-SBR): A model-based evaluation. J. Environ. Chem. Eng. 2019, 7. [Google Scholar] [CrossRef]
- Jakubaszek, A.; Stadnik, A. Efficiency of Sewage Treatment Plants in the Sequential Batch Reactor. Civil Environ. Eng. Rep. 2018, 28, 121–131. [Google Scholar] [CrossRef]
- Chen, H.B.; Wang, D.B.; Li, X.M.; Yang, Q.; Zeng, G.M. Enhancement of post-anoxic denitrification for biological nutrient removal: Effect of different carbon sources. Environ. Sci. Pollut. Res. Int. 2015, 22, 5887–5894. [Google Scholar] [CrossRef]
- Cho, B.C.; Chang, C.N.; Liaw, S.L.; Huang, P.T. The feasible sequential control strategy of treating high strength organic nitrogen wastewater with sequencing batch biofilm reactor. Water Sci. Technol. 2001, 43, 115–122. [Google Scholar] [CrossRef]
- Kundu, P.; Debsarkar, A.; Mukherjee, S. Anoxic-oxic treatment of abattoir wastewater for simultaneous removal of carbon, nitrogen and phosphorous in a sequential batch reactor (SBR). Mater. Today Proc. 2016, 3, 3296–3309. [Google Scholar] [CrossRef]
- Lan, C.J.; Kumar, M.; Wang, C.C.; Lin, J.G. Development of simultaneous partial nitrification, anammox and denitrification (SNAD) process in a sequential batch reactor. Bioresour. Technol. 2011, 102, 5514–5519. [Google Scholar] [CrossRef]
- Chattaraj, S.; Purohit, H.J.; Sharma, A.; Jadeja, N.B.; Madamwar, D. Treatment of Common Effluent Treatment Plant Wastewater in a Sequential Anoxic-Oxic Batch Reactor by Developed Bacterial Consortium VN11. Appl. Biochem. Biotechnol. 2016, 179, 514–529. [Google Scholar] [CrossRef]
- Showkat, U.; Najar, I.A. Study on the efficiency of sequential batch reactor (SBR)-based sewage treatment plant. Appl. Water Sci. 2018, 9. [Google Scholar] [CrossRef]
- Kim, D.; Kim, T.-S.; Ryu, H.-D.; Lee, S.-I. Treatment of low carbon-to-nitrogen wastewater using two-stage sequencing batch reactor with independent nitrification. Process. Biochem. 2008, 43, 406–413. [Google Scholar] [CrossRef]
- Hamada, K.; Kuba, T.; Torrico, V.; Okazaki, M.; Kusuda, T. Comparison of nutrient removal efficiency between pre- and post-denitrification wastewater treatments. Water Sci. Technol. 2006, 53, 169–175. [Google Scholar] [CrossRef] [PubMed]
- Jaramillo, F.; Orchard, M.; Munoz, C.; Zamorano, M.; Antileo, C. Advanced strategies to improve nitrification process in sequencing batch reactors—A review. J. Environ. Manag. 2018, 218, 154–164. [Google Scholar] [CrossRef] [PubMed]
- Zhu, G.; Peng, Y.; Li, B.; Guo, J.; Yang, Q.; Wang, S. Biological removal of nitrogen from wastewater. Rev. Environ. Contam. Toxicol. 2008, 192, 159–195. [Google Scholar] [CrossRef] [PubMed]
- Akin, B.S.; Ugurlu, A. The effect of an anoxic zone on biological phosphorus removal by a sequential batch reactor. Bioresour. Technol. 2004, 94. [Google Scholar] [CrossRef]
- MEWA. Water Pollutuion Control Regulation; Ministry of Environment, Water and Agriculture (MEWA): Riyadh, Saudi Arabia, 2020.




| Parameter * | Unit | Influent | ||||
|---|---|---|---|---|---|---|
| Min | Max | Mean | SD | Median | ||
| pH | pH unit | 7.13 | 8.06 | 7.44 | 0.239 | 7.35 |
| Turbidity | NTU | 34.6 | 187 | 81.3 | 37.8 | 72.2 |
| TSS | mg L−1 | 283 | 1,737 | 887 | 375 | 792 |
| TS | mg L−1 | 3187 | 4482 | 3810 | 365 | 3684 |
| NO2–N | mg L−1 | 0.006 | 0.036 | 0.015 | 0.007 | 0.017 |
| NO3–N | mg L−1 | 0.032 | 0.454 | 0.165 | 0.135 | 0.155 |
| NH3–N | mg L−1 | 5.47 | 27.2 | 14.6 | 4.83 | 14.2 |
| TN | mg L−1 | 9.36 | 20.8 | 17.2 | 3.91 | 16.9 |
| PO43− | mg L−1 | 0.295 | 4.54 | 2.23 | 1.26 | 2.24 |
| COD | mg L−1 | 68.0 | 359 | 180 | 70.9 | 179 |
| BOD5 | mg L−1 | 48.0 | 144 | 79.9 | 25.8 | 72.0 |
| Scenarios * | Batch No * | Tf (h) | Ta (h) | Ts (h) | Td (h) | Ttotal (h) |
|---|---|---|---|---|---|---|
| Pre-denitrification (SCI) | B1-1 | 8.0 | 4.0 | 2.8 | 0.25 | 15.1 |
| B1-2 | 10.0 | 4.0 | 4.0 | 0.25 | 18.3 | |
| B2-1 | 8.0 | 6.0 | 4.5 | 0.33 | 18.8 | |
| B2-2 | 12.0 | 6.0 | 8.0 | 0.25 | 26.3 | |
| B3-1 | 12.0 | 4.0 | 5.0 | 0.30 | 21.3 | |
| B3-2 | 10.0 | 4.0 | 4.0 | 0.30 | 18.3 | |
| Post-denitrification (SCII) | B4-1 | 0.8 | 4.0 | 3.0 | 0.30 | 8.1 |
| B4-2 | 0.8 | 3.0 | 4.0 | 0.30 | 8.1 | |
| B5-1 | 1.0 | 4.0 | 8.0 | 0.25 | 13.3 | |
| B6-1 | 0.9 | 4.0 | 9.5 | 0.42 | 14.8 | |
| B6-2 | 0.5 | 4.0 | 11.0 | 0.25 | 15.8 | |
| B6-3 | 0.6 | 4.0 | 6.0 | 0.28 | 10.9 | |
| B6-4 | 0.6 | 6.0 | 6.0 | 0.20 | 12.8 |
| *Parameters | NH3-NRE | NO3-NAR | TNRE | CODRE | BODRE | PO43-RE | Turb.RE | TSSRE | TSRE |
|---|---|---|---|---|---|---|---|---|---|
| Tf/Ttotal | −0.76 | −0.77 | - | −0.76 | −0.56 | −0.75 | - | - | - |
| Ta/Ttotal | 0.86 | 0.74 | 0.61 | 0.86 | 0.51 | 0.91 | - | - | - |
| Ts/Ttotal | - | 0.58 | 0.51 | 0.50 | - | - | 0.84 | 0.80 | 0.83 |
| (Tf+Ts)/Ttotal | −0.87 | −0.74 | - | −0.86 | −0.51 | −0.92 | - | - | - |
| Wastewater Type | Reactor Volume (L) | * Removal Efficiency (%) | Reference | ||
|---|---|---|---|---|---|
| COD | TN | Phosphate | |||
| Domestic wastewater | 3.5 | 87 | 83 | 74 | [36] |
| Domestic wastewater | 5 | 90 | 78 | 56 | [32] |
| Domestic wastewater | 10 | 85 | 86 | 82 | [41] |
| Synthetic wastewater | 10 | 97 | 98 | 80 | [47] |
| Synthetic sanitary sewer | 14 | 94 | 96 | 90 | [34] |
| Domestic wastewater | 25 | 95 | 78 | 87 | [39] |
| Domestic wastewater | 240 | 91 | 83 | 83 | This work |
| * Parameter | Effluent | Discharge Limit (KSA) | Removal Efficiency (%) | |||
|---|---|---|---|---|---|---|
| Unit | NSTP | SBR | NSTP | SBR | ||
| pH | pH unit | 7.61 ± 0.25 | 7.87 ± 0.15 | [6.0–8.4] | - | - |
| Turbidity | NTU | 2.63 ± 1.31 | 2.10 ± 0.55 | 5 | 97 | 97 |
| TSS | mg L−1 | 25.2 ± 8.44 | 13.7 ± 3.51 | 40 | 97 | 98 |
| TS | mg L−1 | 98.8 ± 10.0 | 78.8 ± 24.9 | - | 97 | 98 |
| NO3–N | mg L−1 | 3.29 ± 1.20 | 2.85 ± 2.67 | 10 | - | - |
| NH3–N | mg L−1 | 1.78 ± 2.27 | 0.98 ± 0.86 | 5 | 91 | 93 |
| TN | mg L−1 | 5.90 ± 1.06 | 3.13 ± 0.33 | - | 66 | 83 |
| PO43− | mg L−1 | 1.29 ± 1.13 | 0.45 ± 0.26 | 10 | 42 | 83 |
| COD | mg L−1 | 44.8 ± 21.6 | 27.7 ± 16.2 | 50 | 75 | 91 |
| BOD5 | mg L−1 | 15.0 ± 9.02 | 11.7 ± 1.97 | 40 | 81 | 87 |
© 2020 by the authors. Licensee MDPI, Basel, Switzerland. This article is an open access article distributed under the terms and conditions of the Creative Commons Attribution (CC BY) license (http://creativecommons.org/licenses/by/4.0/).
Share and Cite
Alagha, O.; Allazem, A.; Bukhari, A.A.; Anil, I.; Mu'azu, N.D. Suitability of SBR for Wastewater Treatment and Reuse: Pilot-Scale Reactor Operated in Different Anoxic Conditions. Int. J. Environ. Res. Public Health 2020, 17, 1617. https://doi.org/10.3390/ijerph17051617
Alagha O, Allazem A, Bukhari AA, Anil I, Mu'azu ND. Suitability of SBR for Wastewater Treatment and Reuse: Pilot-Scale Reactor Operated in Different Anoxic Conditions. International Journal of Environmental Research and Public Health. 2020; 17(5):1617. https://doi.org/10.3390/ijerph17051617
Chicago/Turabian StyleAlagha, Omar, Ahmed Allazem, Alaadin A. Bukhari, Ismail Anil, and Nuhu Dalhat Mu'azu. 2020. "Suitability of SBR for Wastewater Treatment and Reuse: Pilot-Scale Reactor Operated in Different Anoxic Conditions" International Journal of Environmental Research and Public Health 17, no. 5: 1617. https://doi.org/10.3390/ijerph17051617
APA StyleAlagha, O., Allazem, A., Bukhari, A. A., Anil, I., & Mu'azu, N. D. (2020). Suitability of SBR for Wastewater Treatment and Reuse: Pilot-Scale Reactor Operated in Different Anoxic Conditions. International Journal of Environmental Research and Public Health, 17(5), 1617. https://doi.org/10.3390/ijerph17051617

