Biodegradation of Di (2-Ethylhexyl) Phthalate by a novel Enterobacter spp. Strain YC-IL1 Isolated from Polluted Soil, Mila, Algeria
Abstract
1. Introduction
2. Materials and Methods
2.1. Chemicals and Media
2.2. Instrumental Analysis
2.3. Enrichment and Isolation of DEHP-Degrading Strain
2.4. Molecular Identification of DEHP-Degrading Strain
2.5. Inoculum Preparation
2.6. Effects of Environmental Factors on DEHP Degradation
2.7. Degradation Efficiency of DEHP at Maximum and Minimum Concentrations
2.8. Substrate Utilization Tests
2.9. Analysis of Intermediates
2.10. Decontamination of Artificially DEHP-Polluted Soil
2.11. Statistical Analysis
3. Results
3.1. Microbial Isolation and Identification of DEHP-Degrading Bacterium
3.2. Utilization of DEHP as Sole Source of Carbon for Growth by YC-IL1
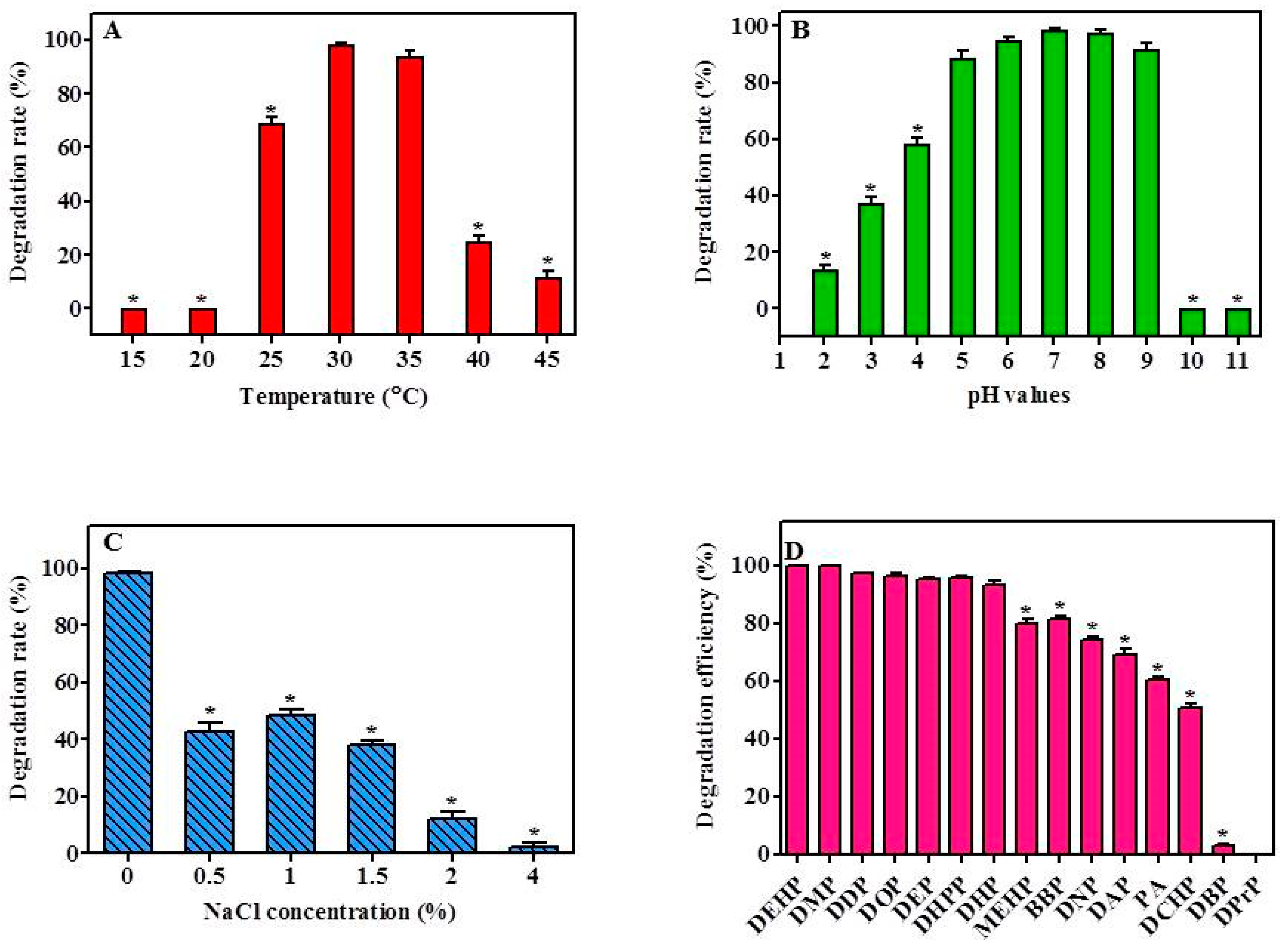
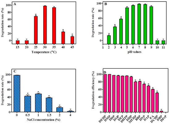
3.3. Effects of Environmental Factors on DEHP Degradation
3.3.1. Effect of Temperature on DEHP Degradation by YC-IL1
3.3.2. Effect of pH on DEHP Degradation by YC-IL1
3.3.3. Effect of NaCl Concentration on DEHP Degradation by YC-IL1
3.4. Substrate Spectrum of YC-IL1
3.5. Degradation Efficiency of DEHP at Maximum and Minimum Concentrations
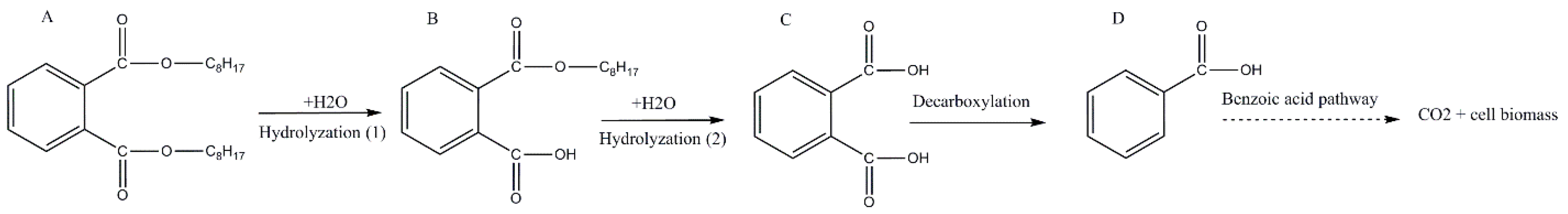
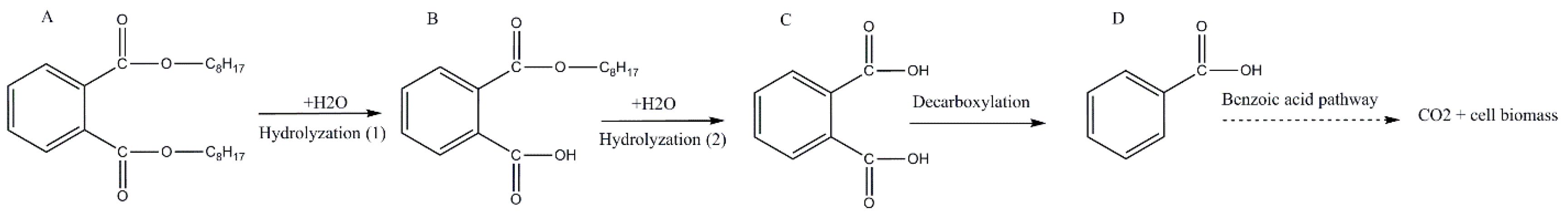
3.6. Deduction of DEHP Degradation Pathway
3.7. Bioremediation of DEHP-Contaminated Soil
4. Discussion
5. Conclusions
Author Contributions
Funding
Conflicts of Interest
References
- Benson, R.W. Hazards of Food Contact Material: Phthalates; Elsevier Ltd.: Frisco, CO, USA, 2014; Volume 2, ISBN 9780123786128. [Google Scholar]
- Huang, P.C.; Tien, C.J.; Sun, Y.M.; Hsieh, C.Y.; Lee, C.C. Occurrence of phthalates in sediment and biota: Relationship to aquatic factors and the biota-sediment accumulation factor. Chemosphere 2008, 73, 539–544. [Google Scholar] [CrossRef] [PubMed]
- Stamatelatou, K.; Pakou, C.; Lyberatos, G. 6.37-Occurrence, Toxicity, and Biodegradation of Selected Emerging Priority Pollutants in Municipal Sewage Sludge. In Comprehensive Biotechnology, 2nd ed.; Moo-Young, M., Ed.; Academic Press, Burlington: London, UK, 2011; pp. 473–484. ISBN 978-0-08-088504-9. [Google Scholar]
- Haishima, Y.; Matsuda, R.; Hayashi, Y.; Hasegawa, C.; Yagami, T.; Tsuchiya, T. Risk assessment of di(2-ethylhexyl)phthalate released from PVC blood circuits during hemodialysis and pump-oxygenation therapy. Int. J. Pharm. 2004, 274, 119–129. [Google Scholar] [CrossRef] [PubMed]
- Rahman, M.; Brazel, C.S. The plasticizer market: An assessment of traditional plasticizers and research trends to meet new challenges. Prog. Polym. Sci. 2004, 29, 1223–1248. [Google Scholar] [CrossRef]
- Chao, W.L.; Cheng, C.Y. Effect of introduced phthalate-degrading bacteria on the diversity of indigenous bacterial communities during di-(2-ethylhexyl) phthalate (DEHP) degradation in a soil microcosm. Chemosphere 2007, 67, 482–488. [Google Scholar] [CrossRef]
- Parte, O.; Conceptual, M. Clasificación de Ocupaciones Marco Conceptual. Indoor Air 2004, 188–195. [Google Scholar] [CrossRef]
- Heudorf, U.; Mersch-Sundermann, V.; Angerer, J. Phthalates: Toxicology and exposure. Int. J. Hygiene Environ. Health 2007, 210, 623–634. [Google Scholar] [CrossRef]
- Rakkestad, K.E.; Dye, C.J.; Yttri, K.E.; Holme, J.A.; Hongslo, J.K.; Schwarze, P.E.; Becher, R. Phthalate levels in Norwegian indoor air related to particle size fraction. J. Environ. Monit. 2007, 9, 1419–1425. [Google Scholar] [CrossRef] [PubMed]
- Hongjun, Y.; Wenjun, X.; Qing, L.; Jingtao, L.; Hongwen, Y.; Zhaohua, L. Distribution of phthalate esters in topsoil: A case study in the Yellow River Delta, China. Environ. Monit. Assess. 2013, 185, 8489–8500. [Google Scholar] [CrossRef]
- Ji, Y.; Wang, F.; Zhang, L.; Shan, C.; Bai, Z.; Sun, Z.; Liu, L.; Shen, B. A comprehensive assessment of human exposure to phthalates from environmental media and food in Tianjin, China. J. Hazard. Mater. 2014, 279, 133–140. [Google Scholar] [CrossRef]
- Niu, L.; Xu, Y.; Xu, C.; Yun, L.; Liu, W. Status of phthalate esters contamination in agricultural soils across China and associated health risks. Environ. Pollut. 2014, 195, 16–23. [Google Scholar] [CrossRef]
- Luo, W.; Lu, Y.; Wang, G.; Shi, Y.; Wang, T.; Giesy, J.P. Distribution and availability of arsenic in soils from the industrialized urban area of Beijing, China. Chemosphere 2008, 72, 797–802. [Google Scholar] [CrossRef]
- Sarath Josh, M.K.; Pradeep, S.; Adarsh, V.K.; Vijayalekshmi Amma, K.S.; Sudha Devi, R.; Balachandran, S.; Sreejith, M.N.; Abdul Jaleel, U.C.; Benjamin, S. In silico evidences for the binding of phthalates onto human estrogen receptor α, β subtypes and human estrogen-related receptor γ. Mol. Simul. 2014, 40, 408–417. [Google Scholar] [CrossRef]
- Sircar, D.; Albazi, S.J.; Atallah, Y.; Pizzi, W. Validation and application of an HPLC method for determination of di(2-ethylhexyl) phthalate and mono (2-ethylhexyl) phthalate in liver samples. J. Chromatogr. Sci. 2008, 46, 627–631. [Google Scholar] [CrossRef][Green Version]
- Wang, Y.; Zhu, H.; Kannan, K. A review of biomonitoring of phthalate exposures. Toxics 2019, 7, 21. [Google Scholar] [CrossRef]
- Wang, C.; Yang, L.; Wang, S.; Zhang, Z.; Yu, Y.; Wang, M.; Cromie, M.; Gao, W.; Wang, S. The classic EDCs, phthalate esters and organochlorines, in relation to abnormal sperm quality: A systematic review with meta- analysis. Nat. Public Group 2016, 1–11. [Google Scholar] [CrossRef] [PubMed]
- Caldwell, J.C. DEHP: Genotoxicity and potential carcinogenic mechanisms—A review. Mutat. Res. Mutat. Res. 2012, 751, 82–157. [Google Scholar] [CrossRef]
- Quan, C.S.; Liu, Q.; Tian, W.J.; Kikuchi, J.; Fan, S.D. Biodegradation of an endocrine-disrupting chemical, di-2-ethylhexyl phthalate, by Bacillus subtilis No. 66. Appl. Microbiol. Biotechnol. 2005, 66, 702–710. [Google Scholar] [CrossRef] [PubMed]
- Hauser, R.; Calafat, A.M. Phthalates and human health. Occup. Environ. Med. 2005, 62, 806–818. [Google Scholar] [CrossRef]
- Gao, D.-W.; Wen, Z.-D. Phthalate esters in the environment: A critical review of their occurrence, biodegradation, and removal during wastewater treatment processes. Sci. Total Environ. 2016, 541, 986–1001. [Google Scholar] [CrossRef]
- Gao, D.; Li, Z.; Wen, Z.; Ren, N. Chemosphere Occurrence and fate of phthalate esters in full-scale domestic wastewater treatment plants and their impact on receiving waters along the Songhua River in China. Chemosphere 2014, 95, 24–32. [Google Scholar] [CrossRef] [PubMed]
- Dargnat, C.; Teil, M.; Chevreuil, M.; Blanchard, M. Phthalate removal throughout wastewater treatment plant Case study of Marne Aval station (Franc). Sci. Total Environ. 2008, 407, 1235–1244. [Google Scholar] [CrossRef] [PubMed]
- Jonsson, S.; Vavilin, V.A.; Svensson, B.H. Phthalate hydrolysis under landfill conditions. Water Sci. Technol. 2006, 53, 119–127. [Google Scholar] [CrossRef]
- Lau, T.K.; Chu, W.; Graham, N. The degradation of endocrine disruptor di-n-butyl phthalate by UV irradiation: A photolysis and product study. Chemosphere 2005, 60, 1045–1053. [Google Scholar] [CrossRef] [PubMed]
- Wu, M.-H.; Liu, N.; Xu, G.; Ma, J.; Tang, L.; Wang, L.; Fu, H.-Y. Kinetics and mechanisms studies on dimethyl phthalate degradation in aqueous solutions by pulse radiolysis and electron beam radiolysis. Radiat. Phys. Chem. 2011, 80, 420–425. [Google Scholar] [CrossRef]
- Mohan, S.V.; Shailaja, S.; Krishna, M.R.; Sarma, P.N. Adsorptive removal of phthalate ester (Di-ethyl phthalate) from aqueous phase by activated carbon: A kinetic study. J. Hazard. Mater. 2007, 146, 278–282. [Google Scholar] [CrossRef]
- Chang, M.S.; Shen, J.Y.; Yang, S.-H.; Wu, G.J. Subcritical water extraction for the remediation of phthalate ester-contaminated soil. J. Hazard. Mater. 2011, 192, 1203–1209. [Google Scholar] [CrossRef]
- Chatterjee, S.; Karlovsky, P. Removal of the endocrine disrupter butyl benzyl phthalate from the environment. Appl. Microbiol. Biotechnol. 2010, 61–73. [Google Scholar] [CrossRef]
- Yang, T.; Id, L.R.; Jia, Y.; Fan, S.; Wang, J.; Wang, J.; Nahurira, R.; Wang, H.; Yan, Y. Biodegradation of Di-(2-ethylhexyl) Phthalate by Rhodococcus ruber YC-YT1 in Contaminated Water and Soil. Public Health 2018, 5, 964. [Google Scholar] [CrossRef]
- Nahurira, R.; Ren, L.; Song, J.; Jia, Y.; Wang, J.; Fan, S.; Wang, H.; Yan, Y. Degradation of di(2-ethylhexyl) phthalate by a novel Gordonia alkanivorans strain YC-RL2. Curr. Microbiol. 2017, 74, 309–319. [Google Scholar] [CrossRef]
- Zhao, H.; Du, H.; Lin, J.; Chen, X.; Li, Y.; Li, H.; Cai, Q.; Mo, C.; Qin, H.; Wong, M. Science of the Total Environment Complete degradation of the endocrine disruptor di-(2-ethylhexyl) phthalate by a novel Agromyces sp. MT-O strain and its application to bioremediation of contaminated soil. Sci. Total Environ. 2016, 562, 170–178. [Google Scholar] [CrossRef]
- Zeng, F.; Cui, K.; Li, X.; Fu, J.; Sheng, G. Biodegradation kinetics of phthalate esters by Pseudomonas fluoresences FS1. Process Biochem. 2004, 39, 1125–1129. [Google Scholar] [CrossRef]
- Chang, B.V.; Yang, C.M.; Cheng, C.H.; Yuan, S.Y. Biodegradation of phthalate esters by two bacteria strains. Chemosphere 2004, 55, 533–538. [Google Scholar] [CrossRef] [PubMed]
- Wen, Z.; Wu, W.; Ren, N.; Gao, D. Synergistic effect using vermiculite as media with a bacterial biofilm of Arthrobacter sp. for biodegradation of di-(2-ethylhexyl) phthalate Synergistic effect using vermiculite as media with a bacterial biofilm of Arthrobacter sp. for biodegradation. J. Hazard. Mater. 2015. [Google Scholar] [CrossRef]
- Benjamin, S.; Kamimura, N.; Takahashi, K.; Masai, E. Achromobacter denitrificans SP1 efficiently utilizes 16 phthalate diesters and their downstream products through protocatechuate 3,4-cleavage pathway. Ecotoxicol. Environ. Saf. 2016, 134, 172–178. [Google Scholar] [CrossRef] [PubMed]
- Zhao, H.; Du, H.; Feng, N.; Xiang, L.; Li, Y. Biodegradation of di-n-butylphthalate and phthalic acid by a novel Providencia sp. 2D and its stimulation in a compost-amended soil. Biol. Fertil. Soils 2016, 65–76. [Google Scholar] [CrossRef]
- Xu, J.; Lu, Q.; de Toledo, R.A.; Shim, H. Degradation of di-2-ethylhexyl phthalate (DEHP) by an indigenous isolate Acinetobacter sp. SN13. Int. Biodeterior. Biodegrad. 2015, 117, 205–214. [Google Scholar] [CrossRef]
- Chen, J.; Li, X.; Li, J.; Cao, J.; Qiu, Z.; Zhao, Q.; Xu, C.; Shu, W. Degradation of environmental endocrine disruptor di-2-ethylhexyl phthalate by a newly discovered bacterium, Microbacterium sp. strain CQ0110Y. Appl. Microbiol. Biotechnol. 2007, 74, 676–682. [Google Scholar] [CrossRef] [PubMed]
- Wang, J.; Khokhar, I.; Ren, C.; Li, X.; Wang, J.; Fan, S.; Jia, Y.; Yan, Y. Characterization and 16S metagenomic analysis of organophosphorus flame retardants degrading consortia. J. Hazard. Mater. 2019, 380, 120881. [Google Scholar] [CrossRef]
- Anwar, S.; Liaquat, F.; Khan, Q.M.; Khalid, Z.M.; Iqbal, S. Biodegradation of chlorpyrifos and its hydrolysis product 3, 5, 6-trichloro-2-pyridinol by Bacillus pumilus strain C2A1. J. Hazard. Mater. 2009, 168, 400–405. [Google Scholar] [CrossRef]
- Fan, S.; Wang, J.; Li, K.; Yang, T.; Jia, Y.; Zhao, B. Complete genome sequence of Gordonia sp. YC-JH1, a bacterium efficiently degrading a wide range of phthalic acid esters. J. Biotechnol. 2018, 279, 55–60. [Google Scholar] [CrossRef] [PubMed]
- Xue, Y.; Sun, X.; Zhou, P.; Liu, R.; Liang, F. Gordonia paraffinivorans sp. nov., a hydrocarbon-degrading actinomycete isolated from an oil-producing well. Int. J. Syst. Evol. Microbiol. 2003, 53, 1643–1646. [Google Scholar] [CrossRef] [PubMed]
- Amir, S.; Hafidi, M.; Merlina, G.; Hamdi, H.; Jouraiphy, A. Fate of phthalic acid esters during composting of both lagooning and activated sludges. Process. Biochem. 2005, 40, 2183–2190. [Google Scholar] [CrossRef]
- Yamada, T.; Takahama, Y.; Yamada, Y. Biodegradation of 2, 4, 6-tribromophenol by Ochrobactrum sp. strain TB01. Biosci. Biotechnol. Biochem. 2008. [Google Scholar] [CrossRef] [PubMed]
- Peng, X.; Qu, X.; Luo, W.; Jia, X. Bioresource Technology Co-metabolic degradation of tetrabromobisphenol A by novel strains of Pseudomonas sp. and Streptococcus sp. Bioresour. Technol. 2014, 169, 271–276. [Google Scholar] [CrossRef]
- Ren, L.; Jia, Y.; Ruth, N.; Shi, Y.; Wang, J.; Qiao, C.; Yan, Y. Biotransformations of bisphenols mediated by a novel Arthrobacter sp. strain YC-RL1. Appl. Microbiol. Biotechnol. 2016, 100, 1967–1976. [Google Scholar] [CrossRef]
- Wang, J.; Luo, Y.; Teng, Y.; Ma, W.; Christie, P.; Li, Z. Soil contamination by phthalate esters in Chinese intensive vegetable production systems with different modes of use of plastic film. Environ. Pollut. 2013, 180, 265–273. [Google Scholar] [CrossRef] [PubMed]
- Cai, Q.; Mo, C.; Wu, Q.; Katsoyiannis, A.; Zeng, Q. The status of soil contamination by semivolatile organic chemicals (SVOCs) in China: A review. Sci. Total. Environ. 2007, 9. [Google Scholar] [CrossRef]
- Gao, J.; Chen, B.Q. Effects of PAEs on soil microbial activity and catalase activity. J. Soil Water Conserv. 2008, 22, 166–169. [Google Scholar]
- Liang, D.; Zhang, T.; Fang, H.H.P. Phthalates biodegradation in the environment. Appl. Microbiol. Biotechnol. 2008, 183–198. [Google Scholar] [CrossRef]
- Chang, B.V.; Wang, T.H.; Yuan, S.Y. Biodegradation of four phthalate esters in sludge. Chemosphere 2007, 69, 1116–1123. [Google Scholar] [CrossRef]
- Fiandanese, N.; Borromeo, V.; Berrini, A.; Fischer, B.; Schaedlich, K.; Schmidt, J.; Secchi, C.; Pocar, P. Maternal exposure to a mixture of di(2-ethylhexyl) phthalate (DEHP) and polychlorinated biphenyls (PCBs) causes reproductive dysfunction in adult male mouse offspring. Reprod. Toxicol. 2016, 65, 123–132. [Google Scholar] [CrossRef]
- Navacharoen, A.; Vangnai, A.S. International Biodeterioration & Biodegradation Biodegradation of diethyl phthalate by an organic-solvent-tolerant Bacillus subtilis strain 3C3 and effect of phthalate ester coexistence. Int. Biodeterior. Biodegrad. 2011, 65, 818–826. [Google Scholar] [CrossRef]
- Ren, L.; Jia, Y.; Ruth, N.; Qiao, C.; Wang, J.; Zhao, B. Biodegradation of phthalic acid esters by a newly isolated Mycobacterium sp. YC-RL4 and the bioprocess with environmental samples. Environ. Sci. Pollut. Res. 2016, 16609–16619. [Google Scholar] [CrossRef]
- Li, J.; Zhang, J.; Yadav, M.P.; Li, X. Biodegradability and biodegradation pathway of di-(2-ethylhexyl) phthalate by Burkholderia pyrrocinia B1213. Chemosphere 2019, 225, 443–450. [Google Scholar] [CrossRef]
- Jin, D.; Bai, Z.; Chang, D.; Hoefel, D.; Jin, B.; Wang, P.; Wei, D.; Zhuang, G. Biodegradation of di-n-butyl phthalate by an isolated Gordonia sp. strain QH-11: Genetic identification and degradation kinetics. J. Hazard. Mater. 2012, 221–222, 80–85. [Google Scholar] [CrossRef]
- Chen, X.; Zhang, X.; Yang, Y. Biodegradation of an endocrine-disrupting chemical di-n-butyl phthalate by newly isolated Camelimonas sp. and enzymatic properties of its hydrolase. Biogeochemistry 2015, 26, 171–182. [Google Scholar] [CrossRef]
- He, Z.; Niu, C.; Lu, Z. Individual or synchronous biodegradation of di-n-butyl phthalate and phenol by Rhodococcus ruber strain DP-2. J. Hazard. Mater. 2014, 273, 104–109. [Google Scholar] [CrossRef] [PubMed]
- Cortés-Lorenzo, C.; Sipkema, D.; Rodríguez-Díaz, M.; Fuentes, S.; Juárez-Jiménez, B.; Rodelas, B.; Smidt, H.; González-López, J. Microbial community dynamics in a submerged fixed bed bioreactor during biological treatment of saline urban wastewater. Ecol. Eng. 2014, 71, 126–132. [Google Scholar] [CrossRef]
- Bassin, J.P.; Dezotti, M.; Sant’Anna, G.L., Jr. Nitrification of industrial and domestic saline wastewaters in moving bed biofilm reactor and sequencing batch reactor. J. Hazard. Mater. 2011, 185, 242–248. [Google Scholar] [CrossRef]
- Janssen, D.B.; Stucki, G. Perspectives of genetically engineered microbes for groundwater bioremediation. Environ. Sci. Process. Impacts 2020, 22, 487–499. [Google Scholar] [CrossRef]
- Benjamin, S.; Pradeep, S.; Sarath, M.; Kumar, S. A monograph on the remediation of hazardous phthalates. J. Hazard. Mater. 2015, 298, 58–72. [Google Scholar] [CrossRef] [PubMed]
- Li, D.; Yan, J.; Wang, L.; Zhang, Y.; Liu, D.; Geng, H.; Xiong, L. International Biodeterioration & Biodegradation Characterization of the phthalate acid catabolic gene cluster in phthalate acid esters transforming bacterium-Gordonia sp. strain. Int. Biodeterior. Biodegrad. 2016, 106, 34–40. [Google Scholar] [CrossRef]
- Bousseboua, H. Cours de microbiologie générale; Ed. Univ. Mentouri: Constantine, Algeria, 2004; Volume 1, p. 202. ISBN 9947-0-0192-3. [Google Scholar]
- Karthikeyan, R.S.; Rakshit, S.K.; Baradarajan, A.; Monte, M.; Karthikeyan, R.S.; Rakshit, S.K.; Baradarajan, A. Optimization of batch fermentation conditions for dextran production Response surface methodology. Bioprocess Eng. 1996, 15, 247–251. [Google Scholar] [CrossRef]
Publisher’s Note: MDPI stays neutral with regard to jurisdictional claims in published maps and institutional affiliations. |







| Chemicals | Formula | MW (g/mol) | Retention Time (min) | m/z | ESI Polarity |
|---|---|---|---|---|---|
| DEHP (Substrate) | C24H38O4 | 390.56 | 7.369 | 149.0&391.1&413.1&436.2 | Positive |
| MEHP | C16H22O4 | 278.34 | 2.607 | 277.0 | Negative |
| PA | C8H6O4 | 166.13 | 1.443 | 164.9&121.0 | Negative. |
© 2020 by the authors. Licensee MDPI, Basel, Switzerland. This article is an open access article distributed under the terms and conditions of the Creative Commons Attribution (CC BY) license (http://creativecommons.org/licenses/by/4.0/).
Share and Cite
Lamraoui, I.; Eltoukhy, A.; Wang, J.; Lamraoui, M.; Ahmed, A.; Jia, Y.; Lu, T.; Yan, Y. Biodegradation of Di (2-Ethylhexyl) Phthalate by a novel Enterobacter spp. Strain YC-IL1 Isolated from Polluted Soil, Mila, Algeria. Int. J. Environ. Res. Public Health 2020, 17, 7501. https://doi.org/10.3390/ijerph17207501
Lamraoui I, Eltoukhy A, Wang J, Lamraoui M, Ahmed A, Jia Y, Lu T, Yan Y. Biodegradation of Di (2-Ethylhexyl) Phthalate by a novel Enterobacter spp. Strain YC-IL1 Isolated from Polluted Soil, Mila, Algeria. International Journal of Environmental Research and Public Health. 2020; 17(20):7501. https://doi.org/10.3390/ijerph17207501
Chicago/Turabian StyleLamraoui, Imane, Adel Eltoukhy, Junhuan Wang, Messaouda Lamraoui, Amer Ahmed, Yang Jia, Tiegang Lu, and Yanchun Yan. 2020. "Biodegradation of Di (2-Ethylhexyl) Phthalate by a novel Enterobacter spp. Strain YC-IL1 Isolated from Polluted Soil, Mila, Algeria" International Journal of Environmental Research and Public Health 17, no. 20: 7501. https://doi.org/10.3390/ijerph17207501
APA StyleLamraoui, I., Eltoukhy, A., Wang, J., Lamraoui, M., Ahmed, A., Jia, Y., Lu, T., & Yan, Y. (2020). Biodegradation of Di (2-Ethylhexyl) Phthalate by a novel Enterobacter spp. Strain YC-IL1 Isolated from Polluted Soil, Mila, Algeria. International Journal of Environmental Research and Public Health, 17(20), 7501. https://doi.org/10.3390/ijerph17207501

