Selfie-Viewing and Facial Dissatisfaction among Emerging Adults: A Moderated Mediation Model of Appearance Comparisons and Self-Objectification
Abstract
1. Introduction
1.1. Selfie-Viewing and Facial Dissatisfaction
1.2. Appearance Comparisons as a Mediator
1.3. Self-Objectification as a Moderator
1.4. Considerations about Gender
1.5. The Current Study
2. Methods
2.1. Participants
2.2. Measures
2.3. Appearance Comparisons
2.4. Self-Objectification
2.5. Facial Dissatisfaction
2.6. Procedure
3. Results
Basic Analyses
4. Testing for Mediation Effect
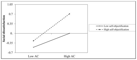
4.1. Testing for Moderated Mediation
4.2. Examining Gender Difference
5. Discussion
5.1. Selfie-Viewing and Facial Dissatisfaction
5.2. Appearance Comparisons’ Mediation Role
5.3. The Moderating Role of Self-Objectification
5.4. The Role of Gender
5.5. Limitations and Further Research
5.6. Conclusions
Author Contributions
Funding
Conflicts of Interest
References
- Rettberg, J.W. Seeing Ourselves through Technology: How We Use Selfies, Blogs and Wearable Devices to See and Shape Ourselves; Springer: Berlin/Heidelberg, Germany, 2014. [Google Scholar]
- Tiidenberg, K. Selfies: Why We Love (and Hate) Them (Society Now); Emerald Publishing Limited: Bingley WA, UK, 2018. [Google Scholar]
- Dhir, A.; Pallesen, S.; Torsheim, T.; Andreassen, C.S. Do age and gender differences exist in selfie-related behaviours? Comput. Hum. Behav. 2016, 63, 549–555. [Google Scholar] [CrossRef]
- Zhao, S.; Zappavigna, M. Beyond the self: Intersubjectivity and the social semiotic interpretation of the selfie. New Media Soc. 2018, 20, 1735–1754. [Google Scholar] [CrossRef]
- Katz, J.E.; Crocker, E.T. Selfies| selfies and photo messaging as visual conversation: Reports from the United States, United Kingdom and China. Int. J. Commun. 2015, 9, 12. [Google Scholar]
- Senft, T.M.; Baym, N.K. What does the selfie say? Investigating a global phenomenon. Int. J. Commun. 2015, 9, 1588–1606. [Google Scholar]
- Wang, R.; Yang, F.; Haigh, M.M. Let me take a selfie: Exploring the psychological effects of posting and viewing selfies and groupies on social media. Telemat. Inform. 2017, 34, 274–283. [Google Scholar] [CrossRef]
- Wang, Y.; Fardouly, J.; Vartanian, L.R.; Lei, L. Selfie-viewing and facial dissatisfaction among Chinese adolescents: A moderated mediation model of general attractiveness internalization and body appreciation. Body Image 2019, 30, 35–43. [Google Scholar] [CrossRef]
- Brown, Z.; Tiggemann, M. Attractive celebrity and peer images on Instagram: Effect on women’s mood and body image. Body Image 2016, 19, 37–43. [Google Scholar] [CrossRef]
- Groesz, L.M.; Levine, M.P.; Murnen, S.K. The effect of experimental presentation of thin media images on body satisfaction: A meta-analytic review. Int. J. Eat. Disord. 2002, 31, 1–16. [Google Scholar] [CrossRef]
- Chang, L.; Li, P.; Loh, R.S.M.; Chua, T.H.H. A study of Singapore adolescent girls’ selfie practices, peer appearance comparisons, and body esteem on Instagram. Body Image 2019, 29, 90–99. [Google Scholar] [CrossRef]
- Perloff, R.M. Social media effects on young women’s Body Image concerns: Theoretical perspectives and an agenda for research. Sex Roles 2014, 71, 363–377. [Google Scholar] [CrossRef]
- Ward, B.; Ward, M.; Fried, O.; Paskhover, B. Nasal distortion in short-distance photographs: The selfie effect. JAMA Facial Plast. Surg. 2018, 20, 333–335. [Google Scholar] [CrossRef] [PubMed]
- Hu, Y.; Manikonda, L.; Kambhampati, S. What we instagram: A first analysis of instagram photo content and user types. In Proceedings of the Eighth International AAAI Conference on Weblogs and Social Media, Ann Arbor, MI, USA, 1–4 June 2014. [Google Scholar]
- Jennings-Edquist, G. Are Body Editing Apps for Instagram Really a Problem? 2019. Available online: https://www.abc.net.au/life/body-editing-apps-instagram/9874484 (accessed on 19 January 2020).
- Fardouly, J.; Rapee, R.M. The impact of no-makeup selfies on young women’s body image. Body Image 2019, 28, 128–134. [Google Scholar] [CrossRef] [PubMed]
- Thompson, J.K.; Heinberg, L.; Tantleff-Dunn, S. The physical appearance comparison scale. Behav. Ther. 1991, 14, 174. [Google Scholar]
- Eyal, K.; Te’eni-Harari, T. Explaining the relationship between media exposure and early adolescents’ body image perceptions. J. Media Psychol. 2013, 25, 129. [Google Scholar] [CrossRef]
- Rajanala, S.; Maymone, M.B.; Vashi, N.A. Selfies—Living in the era of filtered photographs. JAMA Facial Plast. Surg. 2018, 20, 443–444. [Google Scholar] [CrossRef]
- Hendrickse, J.; Arpan, L.M.; Clayton, R.B.; Ridgway, J.L. Instagram and college women’s Body Image: Investigating the roles of appearance-related comparisons and intrasexual competition. Comput. Hum. Behav. 2017, 74, 92–100. [Google Scholar] [CrossRef]
- Manago, A.M.; Graham, M.B.; Greenfield, P.M.; Salimkhan, G. Self-presentation and gender on MySpace. J. Appl. Dev. Psychol. 2008, 29, 446–458. [Google Scholar] [CrossRef]
- Guo, L. WeChat as a semipublic alternative sphere: Exploring the use of WeChat among Chinese older adults. Int. J. Commun. 2017, 11, 21. [Google Scholar]
- Tu, F. WeChat and civil society in China. Commun. Public 2016, 1, 343–350. [Google Scholar] [CrossRef]
- Fardouly, J.; Vartanian, L.R. Negative comparisons about one’s appearance mediate the relationship between Facebook usage and Body Image concerns. Body Image 2015, 12, 82–88. [Google Scholar] [CrossRef]
- Myers, T.A.; Crowther, J.H. Sociocultural pressures, thin-ideal internalization, self-objectification, and body dissatisfaction: Could feminist beliefs be a moderating factor? Body Image 2007, 4, 296–308. [Google Scholar] [CrossRef] [PubMed]
- Slevec, J.; Tiggemann, M. Media exposure, body dissatisfaction, and disordered eating in middle-aged women: A test of the sociocultural model of disordered eating. Psychol. Women Q. 2011, 35, 617–627. [Google Scholar] [CrossRef]
- Tiggemann, M.; Zaccardo, M. “Exercise to be fit, not skinny”: The effect of fitspiration imagery on women’s Body Image. Body Image 2015, 15, 61–67. [Google Scholar] [CrossRef] [PubMed]
- Hogue, J.V.; Mills, J.S. The effects of active social media engagement with peers on Body Image in young women. Body Image 2019, 28, 1–5. [Google Scholar] [CrossRef] [PubMed]
- Porch, T.C.-D. Society, Culture, and the Selfie: Analysis of the Impact of the Selfie Practice on Women’s Body Image. Ph.D. Thesis, Emory University, Atlanta, GA, USA, 2015. [Google Scholar]
- Fan, J. China’s Selfie Culture: Youth Obsessed with the Power of Appearances. 2018. Available online: https://www.scmp.com/magazines/post-magazine/long-reads/article/2141257/chinas-selfie-culture-youth-obsessed-power (accessed on 19 January 2020).
- Cramer, E.M.; Song, H.; Drent, A.M. Social comparison on Facebook: Motivation, affective consequences, self-esteem, and Facebook fatigue. Comput. Hum. Behav. 2016, 64, 739–746. [Google Scholar] [CrossRef]
- Festinger, L. A theory of social comparison processes. Hum. Relat. 1954, 7, 117–140. [Google Scholar] [CrossRef]
- Fardouly, J.; Vartanian, L.R. Social media and Body Image concerns: Current research and future directions. Curr. Opin. Psychol. 2016, 9, 1–5. [Google Scholar] [CrossRef]
- Meier, E.P.; Gray, J. Facebook photo activity associated with Body Image disturbance in adolescent girls. Cyberpsychol. Behav. Soc. Netw. 2014, 17, 199–206. [Google Scholar] [CrossRef]
- Fredrickson, B.L.; Roberts, T.A. Objectification theory: Toward understanding women’s lived experiences and mental health risks. Psychol. Women Q. 1997, 21, 173–206. [Google Scholar] [CrossRef]
- Tiggemann, M.; Andrew, R. Clothes make a difference: The role of self-objectification. Sex Roles 2012, 66, 646–654. [Google Scholar] [CrossRef]
- Fardouly, J.; Diedrichs, P.C.; Vartanian, L.R.; Halliwell, E. The mediating role of appearance comparisons in the relationship between media usage and self-objectification in young women. Psychol. Women Q. 2015, 39, 447–457. [Google Scholar] [CrossRef]
- Moradi, B.; Huang, Y.-P. Objectification theory and psychology of women: A decade of advances and future directions. Psychol. Women Q. 2008, 32, 377–398. [Google Scholar] [CrossRef]
- Lindner, D.; Tantleff-Dunn, S.; Jentsch, F. Social comparison and the ‘circle of objectification’. Sex Roles 2012, 67, 222–235. [Google Scholar] [CrossRef]
- Tylka, T.L.; Sabik, N.J. Integrating social comparison theory and self-esteem within objectification theory to predict women’s disordered eating. Sex Roles 2010, 63, 18–31. [Google Scholar] [CrossRef]
- Wei, Q.; Sun, X.; Lian, S.; Song, Y. The effect of using social networking sites on Body Image satisfaction: The mediating role of Body Image comparison and the moderating role of self-objectification. J. Psychol. Sci. 2017, 40, 920–926. [Google Scholar]
- Grippo, K.P.; Hill, M.S. Self-objectification, habitual body monitoring, and body dissatisfaction in older European American women: Exploring age and feminism as moderators. Body Image 2008, 5, 173–182. [Google Scholar] [CrossRef]
- Harper, B.; Tiggemann, M. The effect of thin ideal media images on women’s self-objectification, mood, and Body Image. Sex Roles 2008, 58, 649–657. [Google Scholar] [CrossRef]
- Strelan, P.; Hargreaves, D. Women who objectify other women: The vicious circle of objectification? Sex Roles 2005, 52, 707–712. [Google Scholar] [CrossRef]
- Quinn, D.M.; Chaudoir, S.R.; Kallen, R.W. Performance and flow: A review and integration of self-objectification research. In Self-Objectification in Women: Causes, Consequences, and Counteractions; Calogero, R.M., Tantleff-Dunn, S., Thompson, J.K., Eds.; American Psychological Association: Washington, DC, USA, 2011; pp. 23–49. [Google Scholar]
- Barlett, C.P.; Vowels, C.L.; Saucier, D.A. Meta-analyses of the effects of media images on men’s body-image concerns. J. Soc. Clin. Psychol. 2008, 27, 279–310. [Google Scholar] [CrossRef]
- Haferkamp, N.; Krämer, N.C. Social comparison 2.0: Examining the effects of online profiles on social-networking sites. Cyberpsychol. Behav. Soc. Netw. 2011, 14, 309–314. [Google Scholar] [CrossRef]
- De Vries, D.A.; Peter, J.; de Graaf, H.; Nikken, P. Adolescents’ social network site use, peer appearance-related feedback, and body dissatisfaction: Testing a mediation model. J. Youth Adolesc. 2016, 45, 211–224. [Google Scholar] [CrossRef] [PubMed]
- Boursier, V.; Manna, V. Selfie expectancies among adolescents. Construction and validation of an instrument to assess expectancies toward selfies among boys and girls. Front. Psychol. 2018, 9, 839. [Google Scholar] [CrossRef] [PubMed]
- Fox, J.; Vendemia, M.A. Selective self-presentation and social comparison through photographs on social networking sites. Cyberpsychol. Behav. Soc. Netw. 2016, 19, 593–600. [Google Scholar] [CrossRef] [PubMed]
- Sorokowska, A.; Oleszkiewicz, A.; Frackowiak, T.; Pisanski, K.; Chmiel, A.; Sorokowski, P. Selfies and personality: Who posts self-portrait photographs? Personal. Individ. Differ. 2016, 90, 119–123. [Google Scholar] [CrossRef]
- Liziliziduanxin. In the Age of “Photo Beautification”, How Should We Modify Our Appearance? 2018. Available online: https://www.guokr.com/article/443035/ (accessed on 19 January 2020).
- Diefenbach, S.; Christoforakos, L. The selfie paradox: Nobody seems to like them yet everyone has reasons to take them. An exploration of psychological functions of selfies in self-presentation. Front. Psychol. 2017, 8, 7. [Google Scholar] [CrossRef] [PubMed]
- Choi, T.R.; Sung, Y.; Lee, J.-A.; Choi, S.M. Get behind my selfies: The Big Five traits and social networking behaviors through selfies. Personal. Individ. Differ. 2017, 109, 98–101. [Google Scholar] [CrossRef]
- Lee, J.-A.; Sung, Y. Hide-and-seek: Narcissism and “selfie”-related behavior. Cyberpsychol. Behav. Soc. Netw. 2016, 19, 347–351. [Google Scholar] [CrossRef]
- Noll, S.M.; Fredrickson, B.L. A mediational model linking self-objectification, body shame, and disordered eating. Psychol. Women Q. 1998, 22, 623–636. [Google Scholar] [CrossRef]
- Chen, H.; Jackson, T.; Huang, X. The Negative Physical Self Scale: Initial development and validation in samples of Chinese adolescents and young adults. Body Image 2006, 3, 401–412. [Google Scholar] [CrossRef]
- Hayes, A.F. Introduction to Mediation, Moderation, and Conditional Process Analysis: A Regression-Based Approach; Guilford Publications: New York, NY, USA, 2013. [Google Scholar]
- Halliwell, E.; Malson, H.; Tischner, I. Are contemporary media images which seem to display women as sexually empowered actually harmful to women? Psychol. Women Q. 2011, 35, 38–45. [Google Scholar] [CrossRef]
- Thompson, J.K.; Heinberg, L.J.; Altabe, M.; Tantleff-Dunn, S. Exacting Beauty: Theory, Assessment, and Treatment of Body Image Disturbance; American Psychological Association: Washington, DC, USA, 1999. [Google Scholar]
- NEDA. How Does Social Media Affect Your Body Image? 2018. Available online: https://www.nationaleatingdisorders.org/blog/how-does-social-media-affect-your-body-image (accessed on 19 January 2020).
- Ferguson, C.J. In the eye of the beholder: Thin-ideal media affects some, but not most, viewers in a meta-analytic review of body dissatisfaction in women and men. Psychol. Pop. Media Cult. 2013, 2, 20. [Google Scholar] [CrossRef]
- Bocage-Barthélémy, Y.; Chatard, A.; Jaafari, N.; Tello, N.; Billieux, J.; Daveau, E.; Selimbegović, L. Automatic social comparison: Cognitive load facilitates an increase in negative thought accessibility after thin ideal exposure among women. PLoS ONE 2018, 13, e0193200. [Google Scholar] [CrossRef] [PubMed]
- Tang, Z. China’s Made-Up Men Are Redefining Gender Aesthetics in the Country. 2018. Available online: https://qz.com/quartzy/1374343/chinas-made-up-men-are-redefining-gender-aesthetics-in-the-country/ (accessed on 19 January 2020).
- Jackson, T.; Chen, H. Predictors of cosmetic surgery consideration among young Chinese women and men. Sex Roles 2015, 73, 214–230. [Google Scholar] [CrossRef]
- Greenberg, B.S. Some uncommon television images and the drench hypothesis. In Applied Social Psychology Annual: Television as a Social Issue; Oskamp, S., Ed.; Sage: Newbury Park, CA, USA, 1988; Volume 8, pp. 88–102. [Google Scholar]
- Dohnt, H.K.; Tiggemann, M. Peer influences on body dissatisfaction and dieting awareness in young girls. Br. J. Dev. Psychol. 2005, 23, 103–116. [Google Scholar] [CrossRef]
- Lancet. Children and social media. Lancet 2018, 391, 95. [Google Scholar] [CrossRef]
- Samson, C. Children in China Use Social Media, Messaging Apps by Age 3. 2017. Available online: https://nextshark.com/children-china-use-social-media-messaging-apps-age-3-survey-finds/ (accessed on 19 January 2020).
- Fardouly, J.; Magson, N.R.; Johnco, C.J.; Oar, E.L.; Rapee, R.M. Parental control of the time preadolescents spend on social media: Links with preadolescents’ social media appearance comparisons and mental health. J. Youth Adolesc. 2018, 47, 1456–1468. [Google Scholar] [CrossRef]
- Binns, A. Twitter city and Facebook village: Teenage girls’ personas and experiences influenced by choice architecture in social networking sites. J. Media Pract. 2014, 15, 71–91. [Google Scholar] [CrossRef][Green Version]
- Yurieff, K. TikTok Is the Latest Short-Video App Sensation. 2018. Available online: https://edition.cnn.com/2018/11/21/tech/tiktok-app/index.html (accessed on 19 January 2020).
- Moon, J.H. The Impact of Video Quality and Image Size on the Effectiveness of Online Video Advertising on YouTube. Int. J. Contents 2014, 10, 23–29. [Google Scholar] [CrossRef]
- Lombard, M.; Reich, R.D.; Grabe, M.E.; Bracken, C.C.; Ditton, T.B. Presence and television. The role of screen size. Hum. Commun. Res. 2000, 26, 75–98. [Google Scholar] [CrossRef]



| Variables | M | SD | 1 | 2 | 3 | 4 |
|---|---|---|---|---|---|---|
| 1. Selfie-viewing | 0 | 0.76 | 1 | |||
| 2. Appearance comparisons | 2.14 | 0.84 | 0.34 ** | 1 | ||
| 3. Self-objectification | −9.64 | 10.05 | 0.04 | 0.20 ** | 1 | |
| 4. Facial dissatisfaction | 1.14 | 0.72 | 0.17 ** | 0.43 ** | 0.33 ** | 1 |
| Predictors | Model 1 (Facial Dissatisfaction) | Model 2 (Appearance Comparisons) | Model 3 (Facial Dissatisfaction) | |||
|---|---|---|---|---|---|---|
| b | t | b | t | b | t | |
| BMI | 0.1 | 20.15 * | 0.05 | 10.19 | 0.08 | 10.82 |
| Age | 0.01 | 0.35 | −0.02 | −00.52 | 0.02 | 0.61 |
| Selfie-viewing | 0.18 | 30.88 *** | 0.34 | 70.72 *** | 0.03 | 0.75 |
| Appearance comparisons | 0.42 | 90.63 *** | ||||
| R2 | 0.04 | 0.12 | 0.2 | |||
| F | 60.52 *** | 200.32 *** | 290.04 *** | |||
| Predictors | Model 1 (Appearance Comparisons) | Model 2 (Facial Dissatisfaction) | ||
|---|---|---|---|---|
| b | t | b | t | |
| BMI | 0.07 | 10.42 | 0.08 | 10.6 |
| Age | −0.01 | −0.21 | 0.03 | 0.59 |
| Selfie-viewing (SV) | 0.37 | 70.43 *** | 0.02 | 0.47 |
| Self-objectification (SO) | 0.19 | 30.78 *** | 0.24 | 40.79 *** |
| SV × SO | 0.03 | 0.68 | ||
| Appearance comparisons (AC) | 0.39 | 70.39 *** | ||
| AC × SO | 0.12 | 20.80 ** | ||
| F | 140.85 *** | 220.74 *** | ||
| R² | 0.19 | 0.31 | ||
| Variables | M (SD) | t | d | |
|---|---|---|---|---|
| Male | Female | |||
| Selfie-viewing | −0.12 (0.83) | 0.09 (0.69) | 3.06 ** | 0.29 |
| Appearance comparisons | 2.14 (0.88) | 2.13 (0.81) | 0.16 | 0.01 |
| Self-objectification | −10.03 (10.36) | −9.38 (9.86) | 0.57 | 0.06 |
| Facial dissatisfaction | 1.20 (0.75) | 1.10 (0.70) | 1.6 | 0.13 |
| Predictors | Model 1 (Appearance Comparisons) | Model 2 (Facial Dissatisfaction) | ||
|---|---|---|---|---|
| b | t | b | t | |
| Selfie-viewing (SV) | 0.39 | 60.23 *** | 0.08 | 10.24 |
| Gender | 0.11 | 10.25 | 0.15 | 10.81 |
| SV × gender | −0.08 | −0.93 | −0.07 | −0.78 |
| Appearance comparisons (AC) | 0.32 | 50.42 *** | ||
| AC × gender | 0.2 | 20.27 * | ||
| F | 210.44 *** | 230.73 *** | ||
| R² | 0.12 | 0.2 | ||
© 2020 by the authors. Licensee MDPI, Basel, Switzerland. This article is an open access article distributed under the terms and conditions of the Creative Commons Attribution (CC BY) license (http://creativecommons.org/licenses/by/4.0/).
Share and Cite
Yang, J.; Fardouly, J.; Wang, Y.; Shi, W. Selfie-Viewing and Facial Dissatisfaction among Emerging Adults: A Moderated Mediation Model of Appearance Comparisons and Self-Objectification. Int. J. Environ. Res. Public Health 2020, 17, 672. https://doi.org/10.3390/ijerph17020672
Yang J, Fardouly J, Wang Y, Shi W. Selfie-Viewing and Facial Dissatisfaction among Emerging Adults: A Moderated Mediation Model of Appearance Comparisons and Self-Objectification. International Journal of Environmental Research and Public Health. 2020; 17(2):672. https://doi.org/10.3390/ijerph17020672
Chicago/Turabian StyleYang, Jing, Jasmine Fardouly, Yuhui Wang, and Wen Shi. 2020. "Selfie-Viewing and Facial Dissatisfaction among Emerging Adults: A Moderated Mediation Model of Appearance Comparisons and Self-Objectification" International Journal of Environmental Research and Public Health 17, no. 2: 672. https://doi.org/10.3390/ijerph17020672
APA StyleYang, J., Fardouly, J., Wang, Y., & Shi, W. (2020). Selfie-Viewing and Facial Dissatisfaction among Emerging Adults: A Moderated Mediation Model of Appearance Comparisons and Self-Objectification. International Journal of Environmental Research and Public Health, 17(2), 672. https://doi.org/10.3390/ijerph17020672
