Work Ability among Italian Bank Video Display Terminal Operators: Socio-Demographic, Lifestyle, and Occupational Correlates
Abstract
1. Introduction
1.1. Work Ability
1.2. Aim of the Study
2. Materials and Methods
2.1. Data Collection and Work Ability Index (WAI) Assessment
2.2. Statistical Analysis
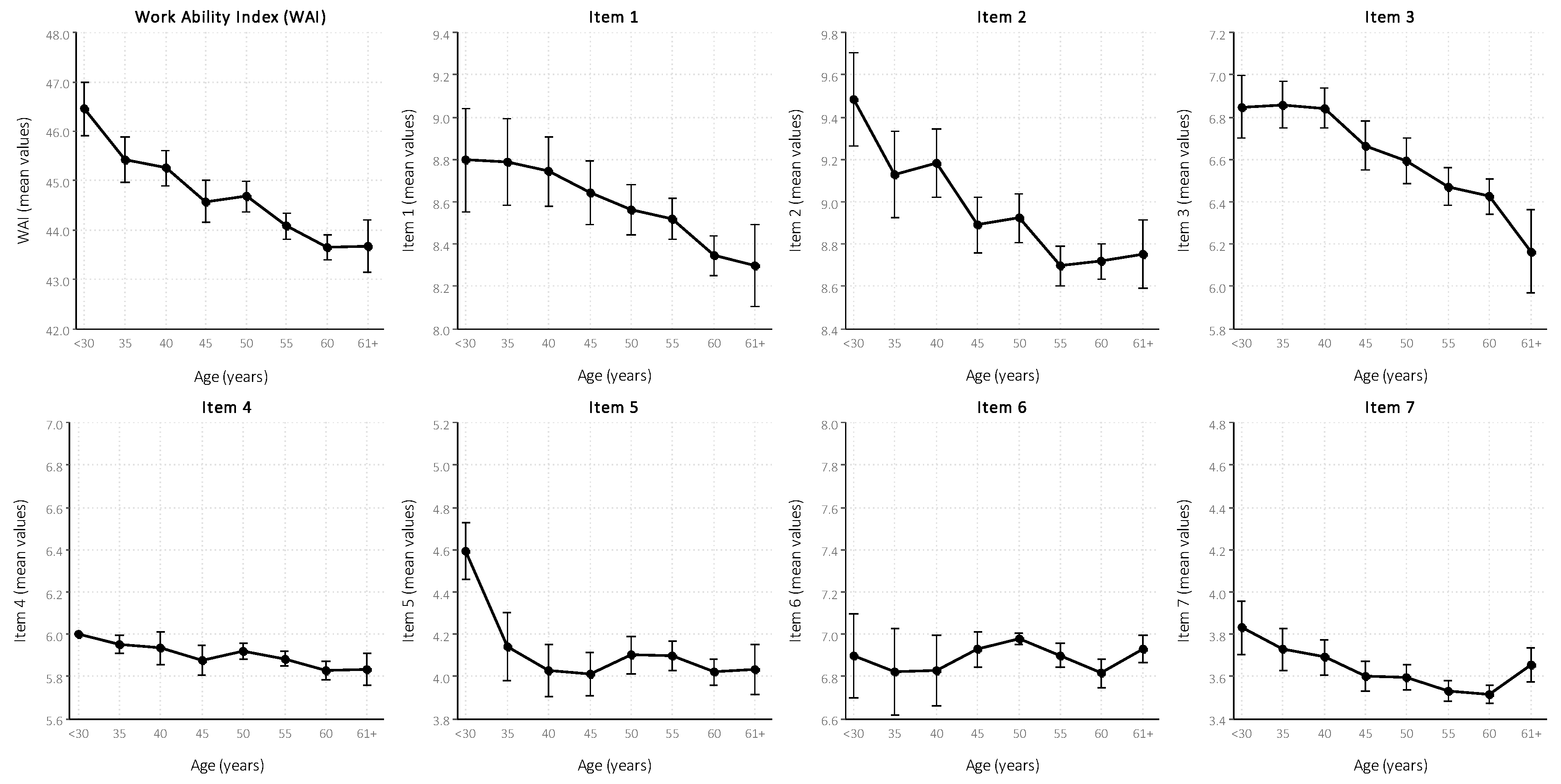
3. Results
4. Discussion
5. Conclusions
Author Contributions
Funding
Acknowledgments
Conflicts of Interest
References
- Vorobyov, G.D. Computer and Internet Use in the Work Place: A Common Sense Approach. Psychol. Manag. J. 2005, 8, 177–187. [Google Scholar] [CrossRef]
 - Assefa, N.L.; Zenebe, D.; Alemu, W.H.W.; Anbesse, D.H. Prevalence and associated factors of computer vision syndrome among bank workers in Gondar City, northwest Ethiopia. Clin. Optom. 2017, 9, 67–76. [Google Scholar] [CrossRef] [PubMed]
 - Dangolani, S.K. The Impact of Information Technology in Banking System (A Case Study in Bank Keshavarzi IRAN). Procedia Soc. Behav. Sci. 2011, 30, 13–16. [Google Scholar] [CrossRef]
 - Campanella, F.; Della Peruta, M.R.; Del Giudice, M. The Effects of Technological Innovation on the Banking Sector. J. Knowl. Econ. 2015, 8, 356–368. [Google Scholar]
 - Valente, M.S.; Menezes, P.R.; Pastor-Valero, M.; Lopes, C.S. Depressive symptoms and psychosocial aspects of work in bank employees. Occupl. Med. 2016, 66, 54–61. [Google Scholar] [CrossRef] [PubMed]
 - Silva, J.L.; Navarro, V.L. Work organization and the health of bank employees. Rev. Latino Am. Enfermagem. 2012, 20, 226–234. [Google Scholar] [CrossRef]
 - Petrali, G.B.; Zandonade, E.; Salaroli, L.B.; Bissoli, N.S. Assessment of occupational stress and associated factors among bank employees in Vitoria, State of Espírito Santo, Brazil. Ciênc. Saúde Coletiva 2015, 20, 12. [Google Scholar]
 - Giorgi, G.; Arcangeli, G.; Perminiene, M.; Lorini, C.; Ariza-Montes, A.; Fiz-Perez, J.; Di Fabio, A.; Mucci, N. Work related stress in the banking sector: A review of incidence, correlated factors, and major consequences. Front. Psychol. 2017, 8, 2166. [Google Scholar]
 - Giahi, O.; Shahmoradi, B.; Barkhordari, A.; Khoubi, J. Visual Display Terminal use in Iranian banktellers: Effects on job stress and insomnia. Work 2015, 52, 657–662. [Google Scholar] [CrossRef] [PubMed]
 - Ostrovsky, A.; Ribak, J.; Pereg, A.; Gaton, D. Effects of job-related stress and burnout on asthenopia among high-tech workers. Ergonomics 2012, 55, 854–862. [Google Scholar] [CrossRef] [PubMed]
 - Morelli, S.; Ferrarin, M.; Maccioni, G.; Aliberti, L.M.; Grigioni, M.; Giansanti, D. Progetto di Uno Strumento Informatico Innovativo per il Monitoraggio Giornaliero del Rischio Neuromuscolare degli Operatori a Videoterminale; Istituto Superiore di Sanità, Rapporti ISTISAN: Rome, Italy, 2009. [Google Scholar]
 - Abledu, J.K.; Abledu, G.K. Multiple Logistic Regression Analysis of Predictors of Musculoskeletal Disorders and Disability among Bank Workers in Kumasi, Ghana. J. Ergonomics 2012, 2, 111. [Google Scholar] [CrossRef]
 - Moom, R.K.; Singb, L.P.; Moom, N. Prevalence of Musculoskeletal Disorder among Computer Bank Office Employees in Punjab (India): A Case Study. Procedia Manuf. 2015, 3, 6624–6631. [Google Scholar] [CrossRef]
 - Abbate, C.; Micali, E.; Abbate, A.; Barbaro, M.; Germanò, D. Depression in video display terminal (VDT) employed workers. Available online: http://www.eaohp.org/uploads/1/1/0/2/11022736/bop5.pdf (accessed on 7 January 2019).
 - Song, H.; Liu, H.; Zhu, L. Analysis on occupational stress on the video display terminal operators in banks. Chin. Occup. Med. 2003, 4, 2–5. [Google Scholar]
 - Manocci, A.; Marchini, L.; Scognamiglio, A.; Sinopoli, A.; De Sio, S.; Sernis, S.; La Torre, G. Are bank employees stressed? Job perception and positivity in the banking sector: An Italian observational study. Int. J. Environ. Res Public Health 2018, 15, 707. [Google Scholar] [CrossRef] [PubMed]
 - Zgombić, I. The impact of workplace on the health and work ability of bank staff. Sigurnost 2014, 56, 303–313. [Google Scholar]
 - Seibt, R.; Spitzer, S.; Blank, M.; Scheuch, K. Predictors of work ability in occupations with psychological stress. J. Public Health 2009, 17, 9–18. [Google Scholar]
 - Costa, A.F.; Puga-Leal, R.; Nunes, I.L. An exploratory study of the work ability index (WAI) and its components in a group of computer workers. Work 2011, 39, 357–367. [Google Scholar] [PubMed]
 - Guidi, S.; Bagnara, S.; Fichera, P. The HSE indicator tool, psychological distress and work ability. Occup. Med. 2012, 62, 203–209. [Google Scholar] [CrossRef]
 - Gharibi, V.; Mokarami, H.; Taban, A.; Aval, M.Y.; Samimi, K.; Salesi, M. Effects of work-related stress on work ability index among Iranian workers. Saf. Health Work 2016, 7, 43–48. [Google Scholar] [CrossRef]
 - Saremi, M.; Pakghohar, A.; Saremi, M. Work ability and its relation with productivity in bank staff. IOH 2017, 13, 70–78. [Google Scholar]
 - Tuomi, K.; Huuhtanen, P.; Nykyri, E.; Ilmarinen, J. Promotion of work ability, the quality of work and retirement. Occup. Med. 2001, 51, 318–324. [Google Scholar] [CrossRef]
 - Tuomi, K.; Ilmarinen, J.; Jahkola, A.; Katajarinne, L.; Tulkki, A. Work Ability Index, 2nd ed.; Finnish Institute of Occupational Health: Helsinki, Finland, 1998. [Google Scholar]
 - Ilmarinen, J.; Tuomi, K.; Klockars, M. Changes in the work ability of active employees over 11-years period. Scand. J. Work Environ. Health 1997, 23, 19–57. [Google Scholar]
 - Camerino, D.; Conway, P.M.; Van der Heijden, B.I.; Estryn-Behar, M.; Consonni, D.; Gould, D.; Hasselhorn, H.M. NEXT-Study Group. J. Adv. Nurs. 2006, 56, 542–552. [Google Scholar] [CrossRef]
 - Van den Berg, T.I.J.; Elders, L.A.M.; de Zwart, B.C.H.; Burdorf, A. The effects of work-related and individual factors on the work ability index: A systematic review. Occup. Environ. Med. 2009, 66, 211–220. [Google Scholar] [CrossRef]
 - Van den Berg, T.I.J.; Robroek, S.J.; Plat, J.F.; Koopmanschap, M.A.; Burdorf, A. The importance of job control for workers with decreased work ability to remain productive at work. Int. Arch. Occ. Environ. Health 2011, 84, 705–712. [Google Scholar] [CrossRef]
 - Ilmarinen, J.; Ilmarinen, V. Work ability and aging. In Multi-Age Workforce, a Use Inspired Approach; Finkelstein, L.M., Truxillo, D.M., Fraccaroli, F., Kanfer, R., Eds.; Routledge: New York, NY, USA, 2015. [Google Scholar]
 - Tuomi, K.; Eskelinen, L.; Toikkanen, J.; Jarvinen, E.; Ilmarinen, J.; Klockars, M. Work load and individual factors affecting work ability among aging municipal employees. Scand. J. Work Environ. Health 1991, 17, 128–134. [Google Scholar] [PubMed]
 - Goedhard, R.G.; Goedhard, W.J.A. Work ability and perceived work stress. Int. Congr. Ser. 2005, 1280, 79–83. [Google Scholar] [CrossRef]
 - Alavinia, S.M.; van Duivenbooden, C.; Burdorf, A. Influence of work-related factors and individual characteristics on work ability among Dutch construction workers. Scand. J. Work Environ. Health 2007, 33, 351–357. [Google Scholar] [CrossRef] [PubMed]
 - Matzolumi, A.; Rostamabadi, A.; Saraji, G.N.; Foroushani, A.R. Work ability index and its association with psychosocial factors of the petrochemical industries in Iran. J. Occup. Health 2012, 54, 112–118. [Google Scholar]
 - Eyvazlou, M.; Mazloumi, A.; Farshad, A.; Hoseini, F. Analytical evaluation of work ability index and its determining factors among workers of a car manufacturing industry. IOH 2012, 9, 40–49. [Google Scholar]
 - El Fassi, M.; Bocquet, V.; Majery, N.; Lair, M.L.; Couffignal, S.; Mairiaux, P. Work ability assessment in a worker population: Comparison and determinants of Work Ability Index and Work Ability score. BMC Public Health 2013, 13, 305. [Google Scholar] [CrossRef] [PubMed]
 - Rotenberg, L.; Portela, L.F.; Banks, B.; Griep, R.H.; Fischer, F.M.; Landsbergisd, P. A gender approach to work ability and its relationship to professional and domestic work hours among nursing personnel. Appl. Ergon. 2008, 39, 646–652. [Google Scholar] [CrossRef] [PubMed]
 - Sottimano, I.; Viotti, S.; Guidetti, G.; Converso, D. Protective factors for work ability in preschool teachers. Occup. Med. 2017, 67, 301–304. [Google Scholar] [CrossRef]
 - Viotti, S.; Converso, D. Relationship between job demands and psychological outcomes among nurses: Does skill discretion matter? IJOMEH 2016, 29, 439–460. [Google Scholar] [CrossRef] [PubMed]
 - Pohjonen, T.; Ranta, R. Effects of Worksite Physical Exercise Intervention on Physical Fitness, Perceived Health Status, and Work Ability among Home Care Workers: Five-Year Follow-up. Prev. Med. 2001, 32, 465–475. [Google Scholar] [CrossRef] [PubMed]
 - Beier, M.E. The aging workforce and the demands of work in the 21st century. In Multi-Age Workforce, a Use Inspired Approach; Finkelstein, L.M., Truxillo, D.M., Fraccaroli, F., Kanfer, R., Eds.; Routledge: London, UK, 2015. [Google Scholar]
 - Oakman, J.; Neupane, S.; Proper, K.I.; Kinsman, N.; Nygård, C.H. Workplace interventions to improve work ability: A systematic review and meta-analysis of their effectiveness. Scand. J. Work Environ. Health 2018, 44, 134–146. [Google Scholar] [CrossRef] [PubMed]
 - Smyth, J.; Pit, S.W.; Hansen, V. Can the work ability model provide a useful explanatory framework to understand sustainable employability amongst general practitioners: A qualitative study. Human Resour. Health 2018, 16, 32. [Google Scholar] [CrossRef]
 - Michailidis, M.; Georgiou, Y. Employee occupational stress in banking. Work Read. Mass 2005, 24, 123–137. [Google Scholar]
 - Firoozeh, M.; Saremi, M.; Kavousi, A.; Maleki, A. Demographic and occupational determinants of the work ability of firemen. J. Occup. Health 2017, 59, 81–87. [Google Scholar] [CrossRef]
 - Nawrocka, A.; Garbaciak, W.; Cholewa, J.; Mynarski, W. The relationship between meeting of recommendations on physical activity for health and perceived work ability among white collar workers. Eur. J. Sport Sci. 2018, 18, 3. [Google Scholar] [CrossRef]
 - Giorgi, G.; Montes, A.A.; Rapisarda, V.; Campagna, M.; Garzaro, G.; Arcangeli, G.; Mucci, N. Work-related stress in the banking sector: A study on an Italian aged population of over 2000 workers. Med. Lavoro 2019, 110, 1. [Google Scholar]
 - Bridger, R.; Bennet, A. Age and BMI interact to determine work ability in saefares. Occup. Med. 2011, 61, 157–162. [Google Scholar] [CrossRef] [PubMed]
 - Hedge, J.W.; Borman, W.C.; Lammlein, S.E. The Aging Workforce: Realities, Myths, and Implications for Organizations; American Psychological Association: Washington, DC, USA, 2006. [Google Scholar]
 

| Variables | n or Mean; % or SD | 
|---|---|
| Sex (n; %) | |
| Men | 1092 (52.6) | 
| Women | 985 (47.4) | 
| Age: years (mean; SD) | 51.0 (8.9) | 
| Education level a (n; %) | |
| Low | 48 (2.3) | 
| Medium | 1235 (59.5) | 
| High | 794 (38.2) | 
| Marital status (n; %) | |
| Married | 1433 (69.0) | 
| Single | 437 (21.0) | 
| Divorced | 159 (7.7) | 
| Widow | 28 (1.4) | 
| Missing | 20 (1.0) | 
| Physical activity: frequency (n; %) | |
| None | 1039 (50.0) | 
| Occasional or 1 time/week | 394 (19.0) | 
| ≥2 times/week | 644 (31.0) | 
| Body mass index—BMI: kg/m2 (mean; SD) | 24.5 (10.9) | 
| Smoking status (n; %) | |
| Never | 1551 (74.7) | 
| Former | 163 (7.9) | 
| Current | 363 (17.5) | 
| Offspring (n; %) | |
| No | 649 (31.3) | 
| Yes | 1428 (68.8) | 
| Dependent family members (n; %) | |
| No | 2012 (96.9) | 
| Yes | 65 (3.1) | 
| Commuter (n; %) | |
| No | 1538 (74.1) | 
| Yes | 539 (25.9) | 
| Part-time job (n; %) | |
| No | 1721 (82.9) | 
| Yes | 356 (17.1) | 
| Work ability index—WAI (mean; SD) | 44.3 (3.0) | 
| Variables | Variables | ||||||||||
|---|---|---|---|---|---|---|---|---|---|---|---|
| Sex | Age | Education Level | Marital Status | Physical Activity | BMI | Smoking Status | Offspring | Dependent Family Member | Commuter | Part-Time Job | |
| Sex | - | ||||||||||
| Age | −0.16 | - | |||||||||
| Education level | 0.07 | −0.26 | - | ||||||||
| Marital status a | 0.01 | 0.18 | −0.03 | - | |||||||
| Physical activity | −0.07 | −0.15 | 0.10 | −0.04 | - | ||||||
| Body mass index—BMI | −0.39 | 0.22 | −0.16 | 0.07 | −0.13 | - | |||||
| Smoking status | −0.08 | 0.05 | −0.06 | −0.09 | −0.07 | 0.09 | - | ||||
| Offspring | 0.05 | 0.20 | −0.09 | 0.51 | −0.07 | 0.09 | −0.05 | - | |||
| Dependent family members | 0.03 | 0.03 | −0.01 | 0.05 | −0.06 | −0.02 | 0.03 | 0.06 | - | ||
| Commuter | −0.07 | 0.01 | −0.01 | −0.02 | −0.06 | 0.05 | −0.01 | 0.02 | −0.05 | - | |
| Part-time job | 0.39 | −0.08 | 0.01 | 0.11 | −0.03 | −0.17 | −0.04 | 0.18 | 0.04 | −0.09 | - | 
| Work ability index—WAI | −0.06 | −0.21 | 0.16 | −0.01 | 0.11 | −0.05 | 0.01 | −0.04 | −0.05 | 0.03 | −0.11 | 
| Variables | Univariate | Multivariate | ||
|---|---|---|---|---|
| β | (95% CI) | β | (95% CI) | |
| Sex | ||||
| Men | Ref. | − | Ref. | − | 
| Women | −0.266 | (−0.528, −0.003) | −0.187 | (−0.472, 0.010) | 
| Age: years | −0.072 | (−0.086, −0.058) | −0.067 | (−0.083, −0.050) | 
| Education level a | ||||
| Low | Ref. | − | Ref. | − | 
| Medium | 0.868 | (−0.001, 1.738) | 0.855 | (−0.008, 1.719) | 
| High | 1.757 | (0.878, 2.635) | 1.381 | (0.504, 2.257) | 
| Marital status b | ||||
| Married | Ref. | − | Ref. | − | 
| Single | 0.173 | (−0.153, 0.499) | −0.326 | (−0.737, 0.084) | 
| Divorced | −0.504 | (−1.002, −0.005) | −0.352 | (−0.840, 0.136) | 
| Widowed | −1.174 | (−2.313, −0.036) | −0.509 | (−1.621, 0.603) | 
| Physical activity: frequency | ||||
| None | Ref. | − | Ref. | − | 
| Occasional or 1 time/week | 0.706 | (0.355, 1.057) | 0.491 | (0.143, 0.838) | 
| ≥2 times/week | 0.774 | (0.477, 1.072) | 0.504 | (0.206, 0.802) | 
| Body mass index—BMI: kg/m2 | −0.005 | (−0.017, 0.007) | −0.005 | (−0.017, 0.006) | 
| Smoking status | ||||
| Never | Ref. | − | Ref. | − | 
| Former | −0.011 | (−0.503, 0.481) | 0.200 | (−0.282, 0.681) | 
| Current | −0.064 | (−0.413, 0.285) | 0.058 | (−0.288, 0.403) | 
| Offspring | ||||
| No | Ref. | − | Ref. | − | 
| Yes | −0.188 | (−0.471, 0.095) | 0.240 | (−0.112, 0.593) | 
| Dependent family members | ||||
| No | Ref. | − | Ref. | − | 
| Yes | −0.798 | (−1.551, −0.046) | −0.637 | (−1.375, 0.101) | 
| Commuter | ||||
| No | Ref. | − | Ref. | − | 
| Yes | 0.204 | (−0.095, 0.503) | 0.155 | (−0.138, 0.448) | 
| Part-time job | ||||
| No | Ref. | − | Ref. | − | 
| Yes | −0.767 | (−1.113, −0.420) | −0.761 | (−1.134, −0.389) | 
© 2019 by the authors. Licensee MDPI, Basel, Switzerland. This article is an open access article distributed under the terms and conditions of the Creative Commons Attribution (CC BY) license (http://creativecommons.org/licenses/by/4.0/).
Share and Cite
Garzaro, G.; Sottimano, I.; Di Maso, M.; Bergamaschi, E.; Coggiola, M.; Converso, D.; Iavicoli, S.; Pira, E.; Viotti, S. Work Ability among Italian Bank Video Display Terminal Operators: Socio-Demographic, Lifestyle, and Occupational Correlates. Int. J. Environ. Res. Public Health 2019, 16, 1653. https://doi.org/10.3390/ijerph16091653
Garzaro G, Sottimano I, Di Maso M, Bergamaschi E, Coggiola M, Converso D, Iavicoli S, Pira E, Viotti S. Work Ability among Italian Bank Video Display Terminal Operators: Socio-Demographic, Lifestyle, and Occupational Correlates. International Journal of Environmental Research and Public Health. 2019; 16(9):1653. https://doi.org/10.3390/ijerph16091653
Chicago/Turabian StyleGarzaro, Giacomo, Ilaria Sottimano, Matteo Di Maso, Enrico Bergamaschi, Maurizio Coggiola, Daniela Converso, Sergio Iavicoli, Enrico Pira, and Sara Viotti. 2019. "Work Ability among Italian Bank Video Display Terminal Operators: Socio-Demographic, Lifestyle, and Occupational Correlates" International Journal of Environmental Research and Public Health 16, no. 9: 1653. https://doi.org/10.3390/ijerph16091653
APA StyleGarzaro, G., Sottimano, I., Di Maso, M., Bergamaschi, E., Coggiola, M., Converso, D., Iavicoli, S., Pira, E., & Viotti, S. (2019). Work Ability among Italian Bank Video Display Terminal Operators: Socio-Demographic, Lifestyle, and Occupational Correlates. International Journal of Environmental Research and Public Health, 16(9), 1653. https://doi.org/10.3390/ijerph16091653
        
