Hydrogeochemical Characterization and Suitability Assessment of Groundwater: A Case Study in Central Sindh, Pakistan
Abstract
:1. Introduction
2. Description of the Study Area
2.1. Location and Climate
2.2. Geology and Hydrogeology
3. Materials and Methods
3.1. Sample Collection and Analysis
- The first step involves the assignment of weight (wi) to each of the nine parameters (pH, TDS, Na, Mg, Ca, Cl, SO4, HCO3, and K) based on their relative importance to the overall quality of groundwater (Table 1). Total dissolved solids, chloride and sulfate are given a maximum weight of 5 due to their significant role in assessment, while bicarbonate is given a minimum weight of 1 because of its insignificant importance. The other parameters (pH, Na, Mg, Ca and K) are assigned weights between 1 and 5 based on their significant role while assessing the evaluation of groundwater quality.
- The second step involves the computation of relative weight (Wi) of each parameter (Equation (2)).where Wi is the relative weight, wi− is the weight of each parameter and n is the number of parameters.
- The third step is based on computation of the quality rating scale (qi) for each parameter (Equation (3)).where qi is the quality rating, Ci is the concentration of each parameter in mg/L, and Si is the WHO standard for each parameter in mg/L (Table 1).
3.2. Statistical Data Analysis
4. Results and Discussion
4.1. Chemical Characteristics of Groundwater
4.1.1. Hydrochemical Parameters Statistics
4.1.2. Hydrochemical Facies
4.2. Sources of Major Ions and Hydrogeochemical Evolution
4.2.1. Correlation Analysis
4.2.2. Silicate Weathering
4.2.3. Ion Exchange
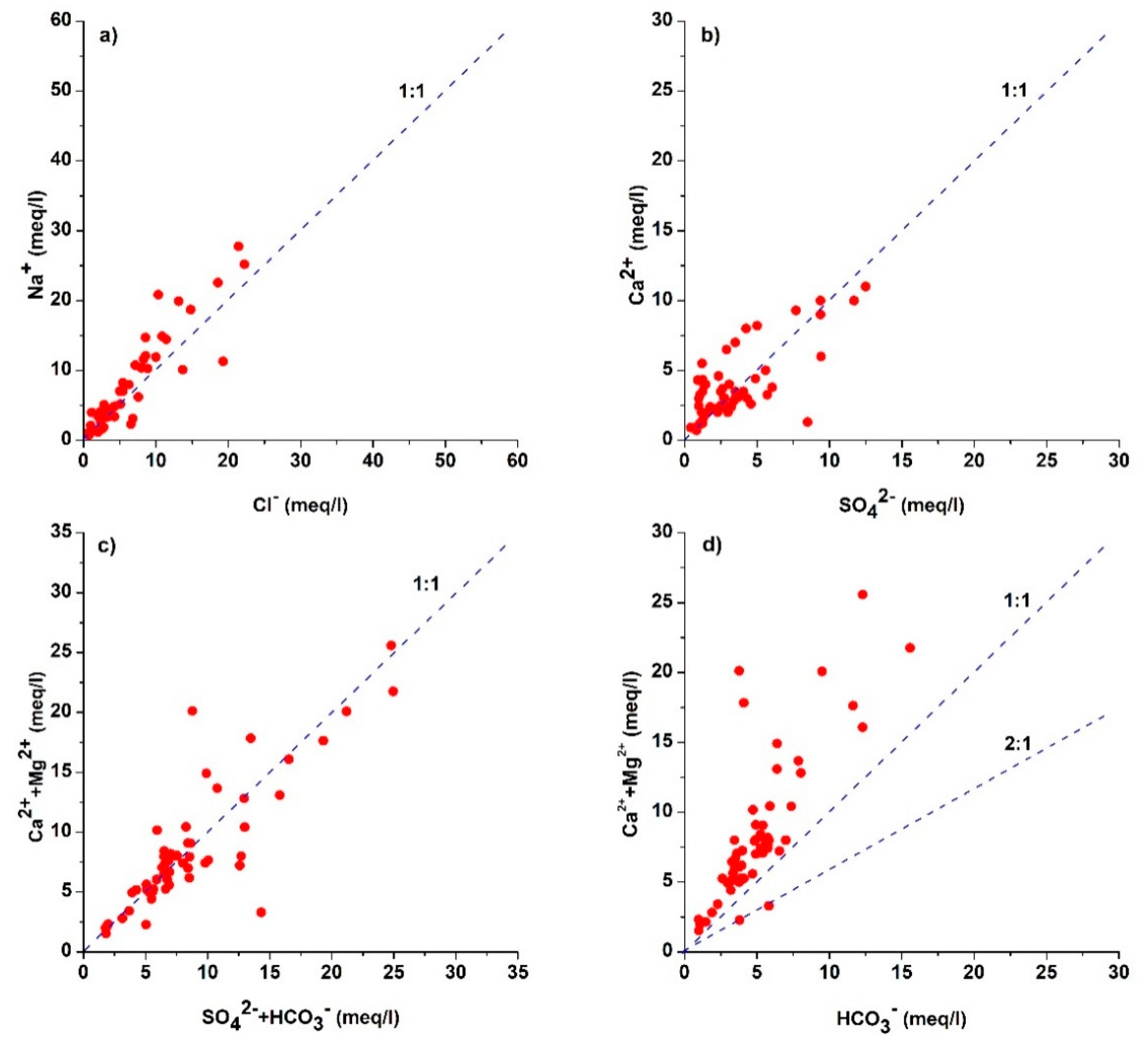
4.2.4. Groundwater Chemistry Formation Mechanism
4.3. Groundwater Quality Assessment
4.3.1. Assessment of Groundwater Quality for Drinking Purposes
4.3.2. Assessment of Groundwater Quality for Irrigation Purposes
5. Conclusions
Author Contributions
Funding
Acknowledgments
Conflicts of Interest
References
- Holland, R.A.; Scott, K.A.; Flörke, M.; Brown, G.; Ewers, R.M.; Farmer, E.; Kapos, V.; Muggeridge, A.; Scharlemann, J.P.; Taylor, G. Global impacts of energy demand on the freshwater resources of nations. Proc. Natl. Acad. Sci. USA 2015, 112, E6707–E6716. [Google Scholar] [CrossRef] [Green Version]
- Shen, J.; Lu, H.; Zhang, Y.; Song, X.; He, L. Vulnerability assessment of urban ecosystems driven by water resources, human health and atmospheric environment. J. Hydrol. 2016, 536, 457–470. [Google Scholar] [CrossRef]
- Döll, P.; Douville, H.; Güntner, A.; Schmied, H.M.; Wada, Y. Modelling freshwater resources at the global scale: Challenges and prospects. Surv. Geophys. 2016, 37, 195–221. [Google Scholar] [CrossRef]
- Andreoli, R.; Van Haaren, B. Ecosystemic Services Assessment: Application to Forests for the Preservation of Water Resources in Tropical Islands. QGIS Appl. Territ. Plan. 2018, 3, 169–237. [Google Scholar]
- Pellegrini, G.; Ingrao, C.; Camposeo, S.; Tricase, C.; Conto, F.; Huisingh, D. Application of water footprint to olive growing systems in the Apulia region: A comparative assessment. J. Clean. Prod. 2016, 112, 2407–2418. [Google Scholar] [CrossRef]
- Veldkamp, T.I.; Wada, Y.; de Moel, H.; Kummu, M.; Eisner, S.; Aerts, J.C.; Ward, P.J. Changing mechanism of global water scarcity events: Impacts of socioeconomic changes and inter-annual hydro-climatic variability. Glob. Environ. Chang. 2015, 32, 18–29. [Google Scholar] [CrossRef] [Green Version]
- Schewe, J.; Heinke, J.; Gerten, D.; Haddeland, I.; Arnell, N.W.; Clark, D.B.; Dankers, R.; Eisner, S.; Fekete, B.M.; Colón-González, F.J. Multimodel assessment of water scarcity under climate change. Proc. Natl. Acad. Sci. USA 2014, 111, 3245–3250. [Google Scholar] [CrossRef] [PubMed]
- Amin, A.; Iqbal, J.; Asghar, A.; Ribbe, L. Analysis of Current and Future Water Demands in the Upper Indus Basin under IPCC Climate and Socio-Economic Scenarios Using a Hydro-Economic WEAP Model. Water 2018, 10, 537. [Google Scholar] [CrossRef]
- Shang, H.; Wang, W.; Dai, Z.; Duan, L.; Zhao, Y.; Zhang, J. An ecology-oriented exploitation mode of groundwater resources in the northern Tianshan Mountains, China. J. Hydrol. 2016, 543, 386–394. [Google Scholar] [CrossRef]
- Cheeseman, J. Food security in the face of salinity, drought, climate change, and population growth. In Halophytes for Food Security in Dry Lands; Elsevier: Amsterdam, The Netherlands, 2016; pp. 111–123. [Google Scholar] [CrossRef]
- Hua, S.; Liang, J.; Zeng, G.; Xu, M.; Zhang, C.; Yuan, Y.; Li, X.; Li, P.; Liu, J.; Huang, L. How to manage future groundwater resource of China under climate change and urbanization: An optimal stage investment design from modern portfolio theory. Water Res. 2015, 85, 31–37. [Google Scholar] [CrossRef] [PubMed]
- Wichelns, D.; Qadir, M. Achieving sustainable irrigation requires effective management of salts, soil salinity, and shallow groundwater. Agric. Water Manag. 2015, 157, 31–38. [Google Scholar] [CrossRef]
- Kløve, B.; Ala-Aho, P.; Bertrand, G.; Gurdak, J.J.; Kupfersberger, H.; Kværner, J.; Muotka, T.; Mykrä, H.; Preda, E.; Rossi, P. Climate change impacts on groundwater and dependent ecosystems. J. Hydrol. 2014, 518, 250–266. [Google Scholar] [CrossRef] [Green Version]
- Wu, J.; Sun, Z. Evaluation of shallow groundwater contamination and associated human health risk in an alluvial plain impacted by agricultural and industrial activities, mid-west China. Expo. Health 2016, 8, 311–329. [Google Scholar] [CrossRef]
- Wongsasuluk, P.; Chotpantarat, S.; Siriwong, W.; Robson, M. Heavy metal contamination and human health risk assessment in drinking water from shallow groundwater wells in an agricultural area in Ubon Ratchathani province, Thailand. Environ. Geochem. Health 2014, 36, 169–182. [Google Scholar] [CrossRef] [PubMed]
- Bhowmick, S.; Pramanik, S.; Singh, P.; Mondal, P.; Chatterjee, D.; Nriagu, J. Arsenic in groundwater of West Bengal, India: A review of human health risks and assessment of possible intervention options. Sci. Total Environ. 2018, 612, 148–169. [Google Scholar] [CrossRef] [PubMed]
- Zhai, Y.; Zhao, X.; Teng, Y.; Li, X.; Zhang, J.; Wu, J.; Zuo, R. Groundwater nitrate pollution and human health risk assessment by using HHRA model in an agricultural area, NE China. Ecotoxicol. Environ. Saf. 2017, 137, 130–142. [Google Scholar] [CrossRef] [PubMed]
- Khatri, N.; Tyagi, S. Influences of natural and anthropogenic factors on surface and groundwater quality in rural and urban areas. Front. Life Sci. 2015, 8, 23–39. [Google Scholar] [CrossRef]
- Douglas, S.H.; Dixon, B.; Griffin, D. Assessing intrinsic and specific vulnerability models ability to indicate groundwater vulnerability to groups of similar pesticides: A comparative study. Phys. Geogr. 2018, 1–19. [Google Scholar] [CrossRef]
- Nagaraju, A.; Kumar, K.S.; Thejaswi, A. Assessment of groundwater quality for irrigation: A case study from Bandalamottu lead mining area, Guntur District, Andhra Pradesh, South India. Appl. Water Sci. 2014, 4, 385–396. [Google Scholar] [CrossRef]
- Kanagaraj, G.; Elango, L. Hydrogeochemical processes and impact of tanning industries on groundwater quality in Ambur, Vellore district, Tamil Nadu, India. Environ. Sci. Pollut. Res. 2016, 23, 24364–24383. [Google Scholar] [CrossRef] [PubMed]
- Hoogesteger, J.; Wester, P. Intensive groundwater use and (in) equity: Processes and governance challenges. Environ. Sci. Policy 2015, 51, 117–124. [Google Scholar] [CrossRef]
- Varol, S.; Davraz, A. Evaluation of the groundwater quality with WQI (Water Quality Index) and multivariate analysis: A case study of the Tefenni plain (Burdur/Turkey). Environ. Earth Sci. 2015, 73, 1725–1744. [Google Scholar] [CrossRef]
- Li, P.; Wu, J.; Qian, H. Hydrochemical appraisal of groundwater quality for drinking and irrigation purposes and the major influencing factors: A case study in and around Hua County, China. Arab. J. Geosci. 2016, 9, 15. [Google Scholar] [CrossRef]
- Tomaszkiewicz, M.; Najm, M.A.; El-Fadel, M. Development of a groundwater quality index for seawater intrusion in coastal aquifers. Environ. Modell. Softw. 2014, 57, 13–26. [Google Scholar] [CrossRef]
- Alamgir, A.; Ali Khan, M.; Manino, I.; Shaukat, S.S.; Shahab, S. Vulnerability to climate change of surface water resources of coastal areas of Sindh, Pakistan. Desalin. Water Treat. 2016, 57, 18668–18678. [Google Scholar] [CrossRef]
- Dalin, C.; Wada, Y.; Kastner, T.; Puma, M.J. Groundwater depletion embedded in international food trade. Nature 2017, 543, 700. [Google Scholar] [CrossRef] [PubMed]
- MacDonald, A.; Bonsor, H.; Ahmed, K.; Burgess, W.; Basharat, M.; Calow, R.; Dixit, A.; Foster, S.; Gopal, K.; Lapworth, D. Groundwater quality and depletion in the Indo-Gangetic Basin mapped from in situ observations. Nat. Geosci. 2016, 9, 762–766. [Google Scholar] [CrossRef] [Green Version]
- Farooqui, S.Z. Prospects of renewables penetration in the energy mix of Pakistan. Renew. Sustain. Energy Rev. 2014, 29, 693–700. [Google Scholar] [CrossRef]
- Raza, M.; Hussain, F.; Lee, J.-Y.; Shakoor, M.B.; Kwon, K.D. Groundwater status in Pakistan: A review of contamination, health risks, and potential needs. Crit. Rev. Environ. Sci. Technol. 2017, 47, 1713–1762. [Google Scholar] [CrossRef]
- Kirby, M.; Mainuddin, M.; Khaliq, T.; Cheema, M. Agricultural production, water use and food availability in Pakistan: Historical trends, and projections to 2050. Agric. Water Manag. 2017, 179, 34–46. [Google Scholar] [CrossRef]
- Alamgir, A.; Khan, M.A.; Schilling, J.; Shaukat, S.S.; Shahab, S. Assessment of groundwater quality in the coastal area of Sindh province, Pakistan. Environ. Monit. Assess. 2016, 188, 78. [Google Scholar] [CrossRef] [PubMed]
- van Steenbergen, F.; Basharat, M.; Lashari, B.K. Key challenges and opportunities for conjunctive management of surface and groundwater in mega-irrigation systems: Lower Indus, Pakistan. Resources 2015, 4, 831–856. [Google Scholar] [CrossRef]
- Waseem, A.; Arshad, J.; Iqbal, F.; Sajjad, A.; Mehmood, Z.; Murtaza, G. Pollution status of Pakistan: A retrospective review on heavy metal contamination of water, soil, and vegetables. BioMed Res. Int. 2014, 2014. [Google Scholar] [CrossRef] [PubMed]
- Qureshi, A.S.; McCornick, P.G.; Qadir, M.; Aslam, Z. Managing salinity and waterlogging in the Indus Basin of Pakistan. Agric. Water Manag. 2008, 95, 1–10. [Google Scholar] [CrossRef]
- Rafique, T.; Naseem, S.; Usmani, T.H.; Bashir, E.; Khan, F.A.; Bhanger, M.I. Geochemical factors controlling the occurrence of high fluoride groundwater in the Nagar Parkar area, Sindh, Pakistan. J. Hazard. Mater. 2009, 171, 424–430. [Google Scholar] [CrossRef] [PubMed]
- Memon, A.H.; Ghanghro, A.B.; Jahangir, T.M.; Lund, G.M. Arsenic contamination in drinking water of district Jamshoro, Sindh, Pakistan. Biomed. Lett. 2016, 2, 31–37. [Google Scholar]
- Dey, S.; Raju, N.J.; Ram, P.; Singh, J. Hydrogeochemical characterisation and evaluation of seasonal variation in groundwater chemistry in upper panda river basin, India. In Management of Water, Energy and Bio-resources in the Era of Climate Change: Emerging Issues and Challenges; Springer: Berlin, Germany, 2015; pp. 21–36. [Google Scholar] [CrossRef]
- Sethy, S.N.; Syed, T.H.; Kumar, A.; Sinha, D. Hydrogeochemical characterization and quality assessment of groundwater in parts of Southern Gangetic Plain. Environ. Earth Sci. 2016, 75, 232. [Google Scholar] [CrossRef]
- Gu, X.; Xiao, Y.; Yin, S.; Hao, Q.; Liu, H.; Hao, Z.; Meng, G.; Pei, Q.; Yan, H. Hydrogeochemical Characterization and Quality Assessment of Groundwater in a Long-Term Reclaimed Water Irrigation Area, North China Plain. Water 2018, 10, 1209. [Google Scholar] [CrossRef]
- Sebei, A.; Slama, T.; Helali, M.A. Hydrochemical characterization and geospatial analysis of groundwater quality in Cap Bon region, northeastern Tunisia. Environ. Earth Sci. 2018, 77, 557. [Google Scholar] [CrossRef]
- Aslam, K.; Rashid, S.; Saleem, R.; Aslam, R.M.S. Use of geospatial technology for assessment of waterlogging & salinity conditions in the Nara Canal Command area in Sindh, Pakistan. J. Geogr. Inf. Syst. 2015, 7, 438. [Google Scholar]
- Hussain, I.; Marikar, F.; Jehangir, W.A. Productivity and Performance of Irrigated Wheat Farms Across Canal Commands in the Lower Indus Basin; IWMI: Colombo, Srilanka, 2000; Volume 44. [Google Scholar]
- Salma, S.; Shah, M.; Rehman, S. Rainfall trends in different climate zones of Pakistan. Pak. J. Meteorol. 2012, 9, 37–47. [Google Scholar]
- Shahab, A.; Shihua, Q.; Rashid, A.; Hasan, F.U.; Sohail, M.T. Evaluation of Water Quality for Drinking and Agricultural Suitability in the Lower Indus Plain in Sindh Province, Pakistan. Pol. J. Environ. Stud. 2016, 25. [Google Scholar] [CrossRef]
- Qureshi, A.; Lashari, B.; Kori, S.; Lashari, G. Hydro-salinity behavior of shallow groundwater aquifer underlain by salty groundwater in Sindh Pakistan. In Proceedings of the Fifteenth International Water Technology Conference, Alexandria, Egypt, 28–30 May 2011. [Google Scholar]
- Jain, S.; Sharma, B.; Zahid, A.; Jin, M.; Shreshtha, J.; Kumar, V.; Rai, S.; Hu, J.; Luo, Y.; Sharma, D. A comparative analysis of the hydrogeology of the Indus-Gangetic and Yellow River basins. In Groundwater Governance in the Indo-Gangetic and Yellow River Basins; CRC Press: Boca Raton, FL, USA, 2009; pp. 63–84. [Google Scholar] [CrossRef]
- Federation, W.E.; Association, A.P.H. Standard Methods for the Examination of Water and Wastewater; American Public Health Association (APHA): Washington, DC, USA, 2005. [Google Scholar]
- Bozdağ, A. Combining AHP with GIS for assessment of irrigation water quality in Çumra irrigation district (Konya), Central Anatolia, Turkey. Environ. Earth Sci. 2015, 73, 8217–8236. [Google Scholar] [CrossRef]
- Singh, S.; Raju, N.J.; Ramakrishna, C. Evaluation of groundwater quality and its suitability for domestic and irrigation use in parts of the Chandauli-Varanasi region, Uttar Pradesh, India. J. Water Resour. Prot. 2015, 7, 572. [Google Scholar] [CrossRef]
- WHO. Guidelines for drinking-water quality: First addendum to the fourth edition. 2017. [Google Scholar]
- Vincy, M.; Brilliant, R.; Pradeepkumar, A. Hydrochemical characterization and quality assessment of groundwater for drinking and irrigation purposes: A case study of Meenachil River Basin, Western Ghats, Kerala, India. Environ. Monit. Assess. 2015, 187, 4217. [Google Scholar] [CrossRef] [PubMed]
- Sohail, M.T.; Delin, H.; Talib, M.A.; Xiaoqing, X.; Akhtar, M.M. An Analysis of Environmental Law in Pakistan-policy and Conditions of Implementation. Res. J. Appl. Sci. Eng. Technol. 2014, 8, 644–653. [Google Scholar] [CrossRef]
- Raj, D.; Shaji, E. Fluoride contamination in groundwater resources of Alleppey, southern India. Geosci. Front. 2017, 8, 117–124. [Google Scholar] [CrossRef] [Green Version]
- Edition, F. Guidelines for drinking-water quality. WHO Chron. 2011, 38, 104–108. [Google Scholar]
- Azis, A.; Yusuf, H.; Faisal, Z.; Suradi, M. Water turbidity impact on discharge decrease of groundwater recharge in recharge reservoir. Procedia Eng. 2015, 125, 199–206. [Google Scholar] [CrossRef]
- Selvakumar, S.; Ramkumar, K.; Chandrasekar, N.; Magesh, N.; Kaliraj, S. Groundwater quality and its suitability for drinking and irrigational use in the Southern Tiruchirappalli district, Tamil Nadu, India. Appl. Water Sci. 2017, 7, 411–420. [Google Scholar] [CrossRef]
- Wu, J.; Wang, L.; Wang, S.; Tian, R.; Xue, C.; Feng, W.; Li, Y. Spatiotemporal variation of groundwater quality in an arid area experiencing long-term paper wastewater irrigation, northwest China. Environ. Earth Sci. 2017, 76, 460. [Google Scholar] [CrossRef]
- Rafique, T.; Naseem, S.; Ozsvath, D.; Hussain, R.; Bhanger, M.I.; Usmani, T.H. Geochemical controls of high fluoride groundwater in Umarkot sub-district, Thar Desert, Pakistan. Sci. Total Environ. 2015, 530, 271–278. [Google Scholar] [CrossRef] [PubMed]
- Shakoor, M.B.; Niazi, N.K.; Bibi, I.; Rahman, M.M.; Naidu, R.; Dong, Z.; Shahid, M.; Arshad, M. Unraveling health risk and speciation of arsenic from groundwater in rural areas of Punjab, Pakistan. Int. J. Environ. Res. Public Health 2015, 12, 12371–12390. [Google Scholar] [CrossRef] [PubMed]
- Baig, J.A.; Kazi, T.G.; Mustafa, M.A.; Solangi, I.B.; Mughal, M.J.; Afridi, H.I. Arsenic exposure in children through drinking water in different districts of Sindh, Pakistan. Biol. Trace Elem. Res. 2016, 173, 35–46. [Google Scholar] [CrossRef] [PubMed]
- Su, C.; Zhu, Y.; Abbas, Z.; Huq, M.E. Sources and controls for elevated arsenic concentrations in groundwater of Datong Basin, Northern China. Environ. Earth Sci. 2016, 75, 570. [Google Scholar] [CrossRef]
- Huq, M.E.; Su, C.; Fahad, S.; Li, J.; Sarven, M.S.; Liu, R. Distribution and hydrogeochemical behavior of arsenic enriched groundwater in the sedimentary aquifer comparison between Datong Basin (China) and Kushtia District (Bangladesh). Environ. Sci. Pollut. Res. 2018, 1–14. [Google Scholar] [CrossRef] [PubMed]
- Shahab, A.; Qi, S.; Zaheer, M. Arsenic contamination, subsequent water toxicity, and associated public health risks in the lower Indus plain, Sindh province, Pakistan. Environ. Sci. Pollut. Res. 2018. [Google Scholar] [CrossRef] [PubMed]
- Sanjrani, M.; Mek, T.; Sanjrani, N.; Leghari, S.; Moryani, H.; Shabnam, A. Current situation of aqueous arsenic contamination in Pakistan, focused on Sindh and Punjab Province, Pakistan: A review. J. Pollut. Eff. Control 2017, 5, 207. [Google Scholar]
- Yunus, F.; Khan, S.; Chowdhury, P.; Milton, A.; Hussain, S.; Rahman, M. A review of groundwater arsenic contamination in Bangladesh: The millennium development goal era and beyond. Int. J. Environ. Res. Public Health 2016, 13, 215. [Google Scholar] [CrossRef] [PubMed]
- Jain, C.; Sharma, S.; Singh, S. Physico-chemical characteristics and hydrogeological mechanisms in groundwater with special reference to arsenic contamination in Barpeta District, Assam (India). Environ. Monit. Assess. 2018, 190, 417. [Google Scholar] [CrossRef] [PubMed]
- Piper, A.M. A graphic procedure in the geochemical interpretation of water-analyses. Eos Trans. Am. Geophys. Union 1944, 25, 914–928. [Google Scholar] [CrossRef]
- Subramani, T.; Rajmohan, N.; Elango, L. Groundwater geochemistry and identification of hydrogeochemical processes in a hard rock region, Southern India. Environ. Monit. Assess. 2010, 162, 123–137. [Google Scholar] [CrossRef] [PubMed]
- Saravanan, K.; Srinivasamoorthy, K.; Gopinath, S.; Prakash, R.; Suma, C. Investigation of hydrogeochemical processes and groundwater quality in Upper Vellar sub-basin Tamilnadu, India. Arab. J. Geosci. 2016, 9, 372. [Google Scholar] [CrossRef]
- Mukherjee, A.; Fryar, A.E. Deeper groundwater chemistry and geochemical modeling of the arsenic affected western Bengal basin, West Bengal, India. Appl. Geochem. 2008, 23, 863–894. [Google Scholar] [CrossRef]
- Rajmohan, N.; Elango, L. Identification and evolution of hydrogeochemical processes in the groundwater environment in an area of the Palar and Cheyyar River Basins, Southern India. Environ. Geol. 2004, 46, 47–61. [Google Scholar] [CrossRef]
- Schoeller, H. Qualitative Evaluation of Groundwater Resources. Methods and Techniques of Groundwater Investigations and Development; UNESCO: Paris, France, 1965; Volume 5483. [Google Scholar]
- Zaidi, F.K.; Nazzal, Y.; Jafri, M.K.; Naeem, M.; Ahmed, I. Reverse ion exchange as a major process controlling the groundwater chemistry in an arid environment: A case study from northwestern Saudi Arabia. Environ. Monit. Assess. 2015, 187, 607. [Google Scholar] [CrossRef] [PubMed]
- Aghazadeh, N.; Mogaddam, A.A. Assessment of groundwater quality and its suitability for drinking and agricultural uses in the Oshnavieh area, Northwest of Iran. J. Environ. Prot. 2010, 1, 30. [Google Scholar] [CrossRef]
- Anders, R.; Mendez, G.O.; Futa, K.; Danskin, W.R. A geochemical approach to determine sources and movement of saline groundwater in a coastal aquifer. Groundwater 2014, 52, 756–768. [Google Scholar] [CrossRef] [PubMed]
- Ahmed, M.; Samie, S.A.; Badawy, H. Factors controlling mechanisms of groundwater salinization and hydrogeochemical processes in the Quaternary aquifer of the Eastern Nile Delta, Egypt. Environ. Earth Sci. 2013, 68, 369–394. [Google Scholar] [CrossRef]
- Yidana, S.M.; Yidana, A. Assessing water quality using water quality index and multivariate analysis. Environ. Earth Sci. 2010, 59, 1461–1473. [Google Scholar] [CrossRef]
- Rajabpour, H.; Vaezihir, A.; Sedghi, M.H. The North Tabriz Fault, a barrier to groundwater flow in an alluvial aquifer northwest of Tabriz, Iran. Environ. Earth Sci. 2016, 75, 849. [Google Scholar] [CrossRef]
- Gibbs, R.J. Mechanisms controlling world water chemistry. Science 1970, 170, 1088–1090. [Google Scholar] [CrossRef] [PubMed]
- Salem, Z.E.; Atwia, M.G.; El-Horiny, M.M. Hydrogeochemical analysis and evaluation of groundwater in the reclaimed small basin of Abu Mina, Egypt. Hydrogeol. J. 2015, 23, 1781–1797. [Google Scholar] [CrossRef]
- Sadat-Noori, S.; Ebrahimi, K.; Liaghat, A. Groundwater quality assessment using the Water Quality Index and GIS in Saveh-Nobaran aquifer, Iran. Environ. Earth Sci. 2014, 71, 3827–3843. [Google Scholar] [CrossRef]
- Wilcox, L.V. The Quality of Water for Irrigation Use; United States Department of Agriculture, Economic Research Service: Washington, DC, USA, 1948.
- Marghade, D.; Malpe, D.; Zade, A. Geochemical characterization of groundwater from northeastern part of Nagpur urban, Central India. Environ. Earth Sci. 2011, 62, 1419–1430. [Google Scholar] [CrossRef]
- Eaton, F.M. Significance of carbonates in irrigation waters. Soil Sci. 1950, 69, 123–134. [Google Scholar] [CrossRef]
- Amiri, V.; Sohrabi, N.; Dadgar, M.A. Evaluation of groundwater chemistry and its suitability for drinking and agricultural uses in the Lenjanat plain, central Iran. Environ. Earth Sci. 2015, 74, 6163–6176. [Google Scholar] [CrossRef]
- Doneen, L.D. Notes on Water Quality in Agriculture; Department of Water Science and Engineering, University of California: Davis, CA, USA, 1964. [Google Scholar]
- Szabolcs, I.; Darab, C. The influence of irrigation water of high sodium carbonate content of soils. In Proceedings of the 8th International Congress of ISSS, Trans, II, Bucharest, Romania, 31 August–9 September 1964; Research Institute for Soil Science and Agricultural Chemistry of the Hungarian Academy of Sciences: Budapest, Hungary, 1964; pp. 803–812. [Google Scholar]
- Kelly, W. Use of saline irrigation water. Soil Sci. 1963, 95, 355–391. [Google Scholar] [CrossRef]
- Bouderbala, A. Assessment of groundwater quality and its suitability for agricultural uses in the Nador Plain, north of Algeria. Water Qual. Expo. Health 2015, 7, 445–457. [Google Scholar] [CrossRef]
- Doneen, L.D. Salination of soil by salts in the irrigation water. Eos Trans. Am. Geophys. Union 1954, 35, 943–950. [Google Scholar] [CrossRef]











| Chemical Parameters | WHO Standard (mg/L) (Si) | Weight (wi) | Relative Weight (Wi) |
|---|---|---|---|
| pH | 6.5–8.5 | 3 | 0.097 |
| TDS | 1000 | 5 | 0.161 |
| Na | 200 | 4 | 0.129 |
| Mg | 150 | 3 | 0.097 |
| Ca | 200 | 3 | 0.097 |
| Cl | 250 | 5 | 0.161 |
| SO4 | 250 | 5 | 0.161 |
| HCO3 | 250 | 1 | 0.032 |
| K | 12 | 2 | 0.065 |
| Indices | Acronym | Formula |
|---|---|---|
| Sodium absorption ratio | SAR | |
| Residual sodium carbonate | RSC | |
| Sodium percentage | %Na | |
| Permeability index | PI | + |
| Magnesium hazard | MH | |
| Kelly’s ratio | KR | |
| Potential salinity | PS |
| Parameters | Minimum | Maximum | Mean | Standard Deviation | WHO Standards | NSBL * | NSBL % |
|---|---|---|---|---|---|---|---|
| Turbidity | 0 | 165 | 7.82 | 27.29 | 5 | 10 | 16.95 |
| pH | 6.70 | 8.20 | 7.41 | 0.33 | 6.5–8.5 | 0 | 0 |
| EC | 249 | 4950 | 1570.97 | 1061.90 | 1000 | 39 | 66.10 |
| TDS | 159 | 3168 | 993.92 | 677.51 | 1000 | 21 | 35.59 |
| TH | 75 | 1270 | 421.12 | 252.98 | 300 | 40 | 67.80 |
| Alkalinity | 0 | 19 | 5.69 | 3.69 | - | 0 | |
| Na+ | 17 | 638 | 165.20 | 151.79 | 200 | 18 | 30.51 |
| K+ | 0 | 25 | 3.53 | 5.15 | 12 | 4 | 6.78 |
| Mg2+ | 10 | 175 | 55.41 | 34.31 | 150 | 1 | 1.69 |
| Ca2+ | 14 | 220 | 76.46 | 49.65 | 200 | 3 | 5.08 |
| Fe | 0 | 1 | 0.09 | 0.19 | 0.3 | 2 | 3.39 |
| F− | 0 | 2 | 0.42 | 0.50 | 1.5 | 4 | 6.78 |
| Cl− | 16 | 779 | 209.76 | 186.32 | 250 | 19 | 32.20 |
| SO42− | 20 | 600 | 169.88 | 140.07 | 250 | 11 | 18.64 |
| HCO3− | 59 | 950 | 308.90 | 170.29 | 250 | 33 | 55.93 |
| NO3-N | 0 | 9.90 | 0.94 | 1.60 | 10 | 0 | 0 |
| As | 0 | 250 | 21.95 | 48.31 | 10 | 15 | 25.42 |
| Parameter | pH | EC | TDS | TH | Na+ | K+ | Mg2+ | Ca2+ | Cl− | SO42− | HCO3− |
|---|---|---|---|---|---|---|---|---|---|---|---|
| pH | 1 | ||||||||||
| EC | −0.176 | 1 | |||||||||
| TDS | −0.167 | 0.995 * | 1 | ||||||||
| TH | −0.227 | 0.891 * | 0.888 * | 1 | |||||||
| Na+ | −0.082 | 0.925 * | 0.923 * | 0.659 * | 1 | ||||||
| K+ | 0.086 | 0.140 | 0.128 | 0.152 | 0.100 | 1 | |||||
| Mg2+ | −0.301 | 0.847 * | 0.838 * | 0.971 * | 0.602 * | 0.138 | 1 | ||||
| Ca2+ | −0.166 | 0.863 * | 0.859 * | 0.977 * | 0.626 * | 0.161 | 0.924 * | 1 | |||
| Cl− | −0.080 | 0.955 * | 0.942 * | 0.812 * | 0.917 * | 0.130 | 0.771 * | 0.811 * | 1 | ||
| SO42− | −0.190 | 0.899 * | 0.904 * | 0.790 * | 0.849 * | 0.091 | 0.753 * | 0.730 * | 0.833 * | 1 | |
| HCO3− | −0.215 | 0.858 * | 0.865 * | 0.830 * | 0.746 * | 0.145 | 0.774 * | 0.800 * | 0.716 * | 0.659 * | 1 |
| WQI | Water Type | No. of Samples | Percentage of Samples |
|---|---|---|---|
| <50 | Excellent water | 9 | 15.25 |
| 50–100 | Good water | 33 | 55.93 |
| >100 | Unsuitable for drinking | 17 | 28.82 |
| Indices | Minimum | Maximum | Mean | SD | Permissible Limit | Unsuitable Samples | Suitable Samples % |
|---|---|---|---|---|---|---|---|
| SAR | 0.65 | 16.21 | 3.41 | 0.37 | ≤18 | - | 100 |
| RSC | −16.35 | 2.52 | −3.38 | 0.45 | ≤2.5 | 1 | 98.30 |
| %Na | 15.64 | 86.32 | 41.70 | 1.98 | ≤60 | 5 | 91.52 |
| PI | 31.19 | 96.32 | 59.67 | 1.76 | >25 | - | 100 |
| MH | 33.94 | 65.53 | 46.83 | 0.75 | ≤50 | 18 | 69.49 |
| KR | 0.18 | 6.31 | 0.89 | 0.11 | ≤1 | 17 | 71.19 |
| PS | 1.37 | 25.68 | 7.74 | 0.77 | ≤10 | 16 | 72.89 |
© 2019 by the authors. Licensee MDPI, Basel, Switzerland. This article is an open access article distributed under the terms and conditions of the Creative Commons Attribution (CC BY) license (http://creativecommons.org/licenses/by/4.0/).
Share and Cite
Talib, M.A.; Tang, Z.; Shahab, A.; Siddique, J.; Faheem, M.; Fatima, M. Hydrogeochemical Characterization and Suitability Assessment of Groundwater: A Case Study in Central Sindh, Pakistan. Int. J. Environ. Res. Public Health 2019, 16, 886. https://doi.org/10.3390/ijerph16050886
Talib MA, Tang Z, Shahab A, Siddique J, Faheem M, Fatima M. Hydrogeochemical Characterization and Suitability Assessment of Groundwater: A Case Study in Central Sindh, Pakistan. International Journal of Environmental Research and Public Health. 2019; 16(5):886. https://doi.org/10.3390/ijerph16050886
Chicago/Turabian StyleTalib, Muhammad Afnan, Zhonghua Tang, Asfandyar Shahab, Jamil Siddique, Muhammad Faheem, and Mehak Fatima. 2019. "Hydrogeochemical Characterization and Suitability Assessment of Groundwater: A Case Study in Central Sindh, Pakistan" International Journal of Environmental Research and Public Health 16, no. 5: 886. https://doi.org/10.3390/ijerph16050886
APA StyleTalib, M. A., Tang, Z., Shahab, A., Siddique, J., Faheem, M., & Fatima, M. (2019). Hydrogeochemical Characterization and Suitability Assessment of Groundwater: A Case Study in Central Sindh, Pakistan. International Journal of Environmental Research and Public Health, 16(5), 886. https://doi.org/10.3390/ijerph16050886

