Decisions of the Dual-Channel Supply Chain under Double Policy Considering Remanufacturing
Abstract
:1. Introduction
2. Literature Review
2.1. An Enterprise’s Production Decisions under RSP
2.2. An Enterprise’s Production Decisions under CTP
2.3. Comparison of an Enterprise’s Production Decisions under the Different Government Policies
3. Problem Description and Assumption
3.1. The Demand Function
3.2. The Cost Structure
3.3. The Game Order
4. Model Formulation and Solution
4.1. Model Z—Government Non-Intervention Policy
4.2. Model S—Remanufacturing Subsidy Policy
4.3. Model T—Carbon Tax Policy
5. The Comparison of the Two Policies
- (a)
- When, then;
- (b)
- When, ,
- If, then,
- If, then,
- (c)
- When, ,
- If, then,
- If, then,
- Where , .
- (a)
- When, then, ;
- (b)
- When, then, .
- (a)
- When,
- If, then;
- If, or , then.
- (b)
- When, or ,
- If, then;
- If, or , then.
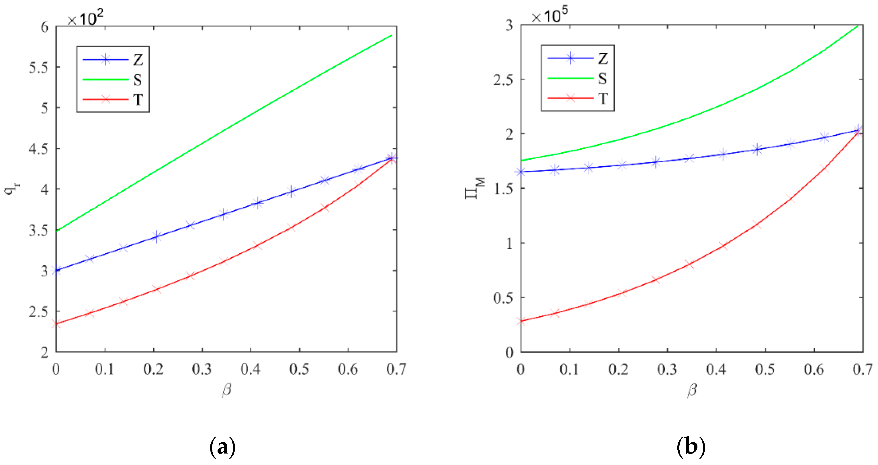
6. Numerical Analysis
7. Conclusions
- (1)
- Both the remanufacturing subsidy policy and the carbon tax policy can improve social welfare. The government should employ CTP when the proportion of green consumers and the environmental coefficient are within a certain range at the same time. Otherwise, the government should issue RSP.
- (2)
- Compared with government non-intervention, under RSP, the price and demand of the original products are lower. The price of remanufactured products is lower, while the demand is higher. The profits of the retailer are impaired. The profits of the remanufacturers are increased, and the increase of the manufacturer’s profits is always more than the decrease of the retailer’s profits. Under CTP, the demand for original products decreases, and the price increases. The price of remanufactured products increases, and the demand decreases. The profits of the retailer and manufacturer are impaired at the same time, and the government revenue increases. Therefore, the three parties can set reasonable profit-sharing contracts to ensure the stability of the supply chain, and to achieve a win-win situation for both the government and members of the supply chain.
- (3)
- The government can implement either one of a double policy to reduce carbon emissions, and a carbon tax policy that directly control emissions is more effective than RSP.
- (4)
- When the environmental coefficient is less than (greater than) a threshold, the government’s optimal unit subsidy should rise (decrease) as the number of green consumers increases. The government should reduce the carbon tax with the increase of green consumers.
Author Contributions
Funding
Conflicts of Interest
Appendix A
| Model Z | Model S | Model T | |
|---|---|---|---|
| / | |||
| ; | |||
Appendix B
Appendix B.1. Solutions under Model Z
Appendix B.2. Solutions under Model S
Appendix B.3. Solutions under Model T
Appendix C
References
- Raz, G.; Ovchinnikov, A.; Blass, V. Economic, Environmental, and Social Impact of Remanufacturing in a Competitive Setting. IEEE Trans. Eng. Manag. 2017, 64, 476–490. [Google Scholar] [CrossRef]
- Xu, B.S. Green Remanufacturing Engineering and Its Development Strategy in China. Front. Eng. Manag. 2016, 3, 102–106. [Google Scholar] [CrossRef]
- Xia, K.; Gao, L.; Wang, L.H.; Li, W.D.; Chao, K.M. A Semantic Information Services Framework for Sustainable WEEE Management Toward Cloud-Based Remanufacturing. J. Manuf. Sci. Eng. 2015, 137, 6. [Google Scholar] [CrossRef]
- Zhang, J.H.; Chen, M. Assessing the impact of China’s vehicle emission standards on diesel engine remanufacturing. J. Clean. Prod. 2015, 107, 177–184. [Google Scholar] [CrossRef]
- Zlamparet, G.I.; Ijomah, W.; Miao, Y.; Awasthi, A.K.; Zeng, X.L.; Li, J.H. Remanufacturing strategies: A solution for WEEE problem. J. Clean. Prod. 2017, 149, 126–136. [Google Scholar] [CrossRef]
- Lu, B.; Song, X.L.; Yang, J.X.; Yang, D. Comparison on End-of-Life strategies of WEEE in China based on LCA. Front. Environ. Sci. Eng. 2017, 11, 7. [Google Scholar] [CrossRef]
- Zhang, T.Z.; Chu, J.W.; Wang, X.P.; Liu, X.H.; Cui, P.F. Development pattern and enhancing system of automotive components remanufacturing industry in China. Resour. Conserv. Recycl. 2011, 55, 613–622. [Google Scholar] [CrossRef]
- Wang, Y.X.; Chang, X.Y.; Chen, Z.G.; Zhong, Y.G.; Fan, T.J. Impact of subsidy policies on recycling and remanufacturing using system dynamics methodology: A case of auto parts in China. J. Clean. Prod. 2014, 74, 161–171. [Google Scholar] [CrossRef]
- Gale, W.; Brown, S.; Saltiel, F. Carbon Taxes as Part of the Fiscal Solution; The Brookings Institution: Washington, DC, USA, 2013. [Google Scholar]
- Lee, K.H.; Min, B.; Yook, K.H. The impacts of carbon (CO2) emissions and environmental research and development (R&D) investment on firm performance. Int. J. Prod. Econ. 2015, 167, 1–11. [Google Scholar]
- The State Council. Regulations of the People’s Republic of China on the Implementation of Environmental Protection Tax Law. Decree of the State Council of the People’s Republic of China, No. 693. 2017. Available online: http://www.gov.cn/zhengce/content/2017-12/30/content_5251797.htm (accessed on 18 August 2018).
- European Commission. Attitudes of Europeans Citizens Towards the Environment. Eurobarometer 295. 2008. Available online: http://www.ec.europa.eu/public_opinion/archives/ebs/ebs_295_en.pdf (accessed on 20 August 2018).
- Huang, P.; Zhang, X.; Deng, X. Survey and analysis of public environmental awareness and performance in Ningbo, China: A case study on household electrical and electronic equipment. J. Clean. Prod. 2006, 14, 1635–1643. [Google Scholar] [CrossRef]
- Mitra, S.; Webster, S. Competition in remanufacturing and the effects of government subsidies. Int. J. Prod. Econ. 2008, 111, 287–298. [Google Scholar] [CrossRef]
- Ma, W.M.; Zhao, Z.; Ke, H. Dual-channel closed-loop supply chain with government consumption-subsidy. Eur. J. Oper. Res. 2013, 226, 221–227. [Google Scholar] [CrossRef]
- Li, J.; Du, W.H.; Yang, F.M.; Hua, G.W. The Carbon Subsidy Analysis in Remanufacturing Closed-Loop Supply Chain. Sustainability 2014, 6, 3861–3877. [Google Scholar] [CrossRef]
- Cohen, M.C.; Lobel, R.; Perakis, G. The Impact of Demand Uncertainty on Consumer Subsidies for Green Technology Adoption. Manag. Sci. 2016, 62, 1235–1258. [Google Scholar]
- Li, X.; Li, Y.J. On green market segmentation under subsidy regulation. Resour. Conserv. Recycl. 2017, 22, 284–294. [Google Scholar] [CrossRef]
- Shu, T.; Wang, Y.J.; Chen, S.; Wang, S.Y.; Lai, K.K.; Yang, Y. Decisions on Remanufacturing with WTP Disparity and Recycling Competition under Government Subsidies. Sustainability 2017, 9, 1503. [Google Scholar] [CrossRef]
- Fu, J.F.; Chen, X.F.; Hu, Q.Y. Subsidizing strategies in a sustainable supply chain. J. Oper. Res. Soc. 2018, 69, 283–295. [Google Scholar] [CrossRef]
- Zhao, S.L.; Zhu, Q.H.; Cui, L. A decision-making model for remanufacturers: Considering both consumers’ environmental preference and the government subsidy policy. Resour. Conserv. Recycl. 2018, 128, 176–186. [Google Scholar] [CrossRef]
- Chi, Y.; Guo, Z.; Zheng, Y.; Zhang, X. Scenarios Analysis of the Energies’ Consumption and Carbon Emissions in China Based on a Dynamic CGE Model. Sustainability 2014, 6, 487–512. [Google Scholar] [CrossRef]
- He, S.; Yin, J.; Zhang, B.; Wang, Z. How to upgrade an enterprise’s low-carbon technologies under a carbon tax: The trade-off between tax and upgrade fee. Appl. Energy 2018, 227, 564–573. [Google Scholar] [CrossRef]
- Chen, X.; Hao, G. Sustainable pricing and production policies for two competing firms with carbon emissions tax. Int. J. Prod. Res. 2015, 53, 6408–6420. [Google Scholar] [CrossRef]
- Xiao, Y.J.; Yang, S.; Zhang, L.M.; Kuo, Y.H. Supply Chain Cooperation with Price-Sensitive Demand and Environmental Impacts. Sustainability 2016, 8, 716. [Google Scholar] [CrossRef]
- Yenipazarli, A. Managing new and remanufactured products to mitigate environmental damage under emissions regulation. Eur. J. Oper. Res. 2016, 249, 117–130. [Google Scholar] [CrossRef]
- Liu, Z.; Zheng, X.X.; Gong, B.G.; Gui, Y.M. Joint Decision-Making and the Coordination of a Sustainable Supply Chain in the Context of Carbon Tax Regulation and Fairness Concerns. Int. J. Environ. Res. Public Health 2017, 14, 1464. [Google Scholar] [CrossRef] [PubMed]
- Wang, C.X.; Wang, W.; Huang, R.B. Supply chain enterprise operations and government carbon tax decisions considering carbon emissions. J. Clean. Prod. 2017, 152, 271–280. [Google Scholar] [CrossRef]
- Ma, X.; Ji, P.; Ho, W.; Yang, C.H. Optimal procurement decision with a carbon tax for the manufacturing industry. Comput. Oper. Res. 2018, 89, 360–368. [Google Scholar] [CrossRef]
- Meng, X.G.; Yao, Z.; Nie, J.J.; Zhao, Y.X. Make or buy? It is the question: A study in the presence of carbon tax. Int. J. Prod. Econ. 2018, 195, 328–337. [Google Scholar] [CrossRef]
- Wang, X.F.; Zhu, Y.T.; Sun, H.; Jia, F. Production decisions of new and remanufactured products: Implications for low carbon emission economy. J. Clean. Prod. 2018, 171, 1225–1243. [Google Scholar] [CrossRef]
- Ding, Y.; Gao, X.; Huang, C.; Shu, J.; Yang, D.H. Service competition in an online duopoly market. Omega-Int. J. Manag. Sci. 2018, 77, 58–72. [Google Scholar] [CrossRef]
- Saxena, L.K.; Jain, P.K.; Sharma, A.K. Tactical supply chain planning for tyre remanufacturing considering carbon tax policy. Int. J. Adv. Manuf. Technol. 2018, 97, 1505–1528. [Google Scholar] [CrossRef]
- Bansal, S. Choice and design of regulatory instruments in the presence of green consumers. Resour. Energy Econ. 2008, 30, 345–368. [Google Scholar] [CrossRef]
- Sheu, J.B.; Chen, Y.M.J. Impact of government financial intervention on competition among green supply chains. Int. J. Prod. Econ. 2012, 138, 201–213. [Google Scholar] [CrossRef]
- Shu, T.; Peng, Z.Z.; Chen, S.; Wang, S.Y.; Lai, K.K.; Yang, H.L. Government Subsidy for Remanufacturing or Carbon Tax Rebate: Which Is Better for Firms and a Low-Carbon Economy. Sustainability 2017, 9, 156. [Google Scholar] [CrossRef]
- Yi, Y.Y.; Li, J.X. Cost-Sharing Contracts for Energy Saving and Emissions Reduction of a Supply Chain under the Conditions of Government Subsidies and a Carbon Tax. Sustainability 2018, 10, 895. [Google Scholar]
- Yi, Y.Y.; Li, J.X. The effect of governmental policies of carbon taxes and energy-saving subsidies on enterprise decisions in a two-echelon Supply chain. J. Clean. Prod. 2018, 181, 675–691. [Google Scholar]
- Bohringer, C.; Loschel, A.; Moslener, U.; Rutherford, T.F. EU climate policy up to 2020: An economic impact assessment. Energy Econ. 2009, 31, S295–S305. [Google Scholar] [CrossRef]
- Aldy, J.E.; Stavins, R.N. The Promise and Problems of Pricing Carbon: Theory and Experience. J. Environ. Dev. 2012, 21, 152–180. [Google Scholar] [CrossRef]
- Mathys, N.A.; de Melo, J. Political Economy Aspects of Climate Change Mitigation Efforts. World Econ. 2011, 34, 1938–1954. [Google Scholar] [CrossRef]
- Cao, K.Y.; Xu, X.P.; Wu, Q.; Zhang, Q.P. Optimal production and carbon emission reduction level under cap-and-trade and low carbon subsidy policies. J. Clean. Prod. 2017, 167, 505–513. [Google Scholar] [CrossRef]
- Zakeri, A.; Dehghanian, F.; Fahimnia, B.; Sarkis, J. Carbon pricing versus emissions trading: A supply chain planning perspective. Int. J. Prod. Econ. 2015, 164, 197–205. [Google Scholar] [CrossRef]
- Xu, X.; Xu, X.; He, P. Joint production and pricing decisions for multiple products with cap-and-trade and carbon tax regulations. J. Clean. Prod. 2016, 112, 4093–4106. [Google Scholar] [CrossRef]
- Drake, D.F.; Kleindorfer, P.R.; Van Wassenhove, L.N. Technology Choice and Capacity Portfolios under Emissions Regulation. Prod. Oper. Manag. 2016, 25, 1006–1025. [Google Scholar] [CrossRef]
- Li, J.; Su, Q.; Ma, L. Production and transportation outsourcing decisions in the supply chain under single and multiple carbon policies. J. Clean. Prod. 2017, 141, 1109–1122. [Google Scholar] [CrossRef]
- Miao, Z.W.; Mao, H.Q.; Fu, K.; Wang, Y. Remanufacturing with trade-ins under carbon regulations. Comput. Oper. Res. 2018, 89, 253–268. [Google Scholar] [CrossRef]
- Dell Refurbished. HP Business Outlet. Available online: http://www.hp.com/sbso/buspurchase_refurbished_computing.html/ (accessed on 16 January 2019).
- Apple Refurbished. Certified Refurbished. Available online: https://www.apple.com/shop/refurbished (accessed on 16 January 2019).
- Zheng, B.R.; Yang, C.; Yang, J.; Zhang, M. Dual-channel closed loop supply chains: Forward channel competition, power structures and coordination. Int. J. Prod. Res. 2017, 55, 3510–3527. [Google Scholar] [CrossRef]
- Chen, J.X.; Liang, L.; Yao, D.Q.; Sun, S.N. Price and quality decisions in dual-channel supply chains. Eur. J. Oper. Res. 2017, 259, 935–948. [Google Scholar] [CrossRef]
- Chiang, W.Y.K.; Chhajed, D.; Hess, J.D. Direct-marketing, indirect profits: A strategic analysis of dual-channel supply-chain design. Manag. Sci. 2003, 49, 1–20. [Google Scholar] [CrossRef]
- Atasu, A.; Sarvary, M.; Van Wassenhove, L.N. Remanufacturing as a Marketing Strategy. Manag. Sci. 2008, 54, 1731–1746. [Google Scholar] [CrossRef]
- Ferrer, G.; Swaminathan, J.M. Managing new and differentiated remanufactured products. Eur. J. Oper. Res. 2010, 203, 370–379. [Google Scholar] [CrossRef]
- Savaskan, R.C.; Bhattacharya, S.; Van Wassenhove, L.N. Closed-loop supply chain models with product remanufacturing. Manag. Sci. 2004, 50, 239–252. [Google Scholar] [CrossRef]
- Arya, A.; Mittendorf, B.; Sappington, D.E.M. The bright side of supplier encroachment. Mark. Sci. 2007, 26, 651–659. [Google Scholar] [CrossRef]
- Xiong, Y.; Yan, W.; Fernandes, K.; Xiong, Z.K.; Guo, N. “Bricks vs. Clicks”: The impact of manufacturer encroachment with a dealer leasing and selling of durable goods. Eur. J. Oper. Res. 2012, 217, 75–83. [Google Scholar] [CrossRef]
- Du, S.F.; Hu, L.; Song, M.L. Production optimization considering environmental performance and preference in the cap-and-trade system. J. Clean. Prod. 2016, 112, 1600–1607. [Google Scholar] [CrossRef]
- Cachon, G.P. Retail Store Density and the Cost of Greenhouse Gas Emissions. Manag. Sci. 2014, 60, 1907–1925. [Google Scholar] [CrossRef]
- Sengupta, A. Competitive investment in clean technology and uninformed green consumers. J. Environ. Econ. Manag. 2015, 71, 125–141. [Google Scholar] [CrossRef]


| Notation | Descriptions |
|---|---|
| , | Production quantity or customer demand of the remanufactured products and the original products respectively |
| , | Unit retail price of the remanufactured products and original products, respectively |
| Unit wholesale price of the remanufactured products | |
| Cost of manufacturing an original product | |
| The primary market size | |
| Consumer’s propensity to buy the remanufactured products | |
| Consumer’s perceived value of the original product | |
| Unit of carbon emissions | |
| Emission intensity of the remanufactured products | |
| Environmental damage coefficient | |
| Total emissions | |
| Ratio of the green consumer | |
| Unit remanufacturing subsidy | |
| Unit carbon tax |
| Model Z | Model S | Model T | |
|---|---|---|---|
| 657.1429 | 657.1429 | 732.8185 | |
| 757.1429 | 718.3929 | 810.1158 | |
| 357.1429 | 279.6429 | 387.4131 | |
| 80.0000 | 49.0000 | 61.8378 | |
| 420.0000 | 559.5000 | 395.7838 | |
| 248.0000 | 272.8000 | 220.1514 | |
| 8000 | 3001 | 4779.9 | |
| 194,570 | 270,480 | 159,140 | |
| 136,140 | 176,600 | 120,040 | |
| 140,310 | 145,120 | 141,160 |
| 0.05 | 38.7629 | 630.2277 | 79,690 | 88,000 | 22,690 | 314.0000 | 318.0701 | 107.9155 | 13,700 | 14,150 | 37,680 |
| 0.10 | 45.9574 | 602.5751 | 86,630 | 96,670 | 31,250 | 308.0000 | 313.0553 | 118.7914 | 25,810 | 26,430 | 46,960 |
| 0.15 | 53.6264 | 572.8285 | 93,300 | 105,240 | 39,820 | 302.0000 | 308.1670 | 129.5786 | 37,830 | 38,650 | 56,250 |
| 0.20 | 61.8182 | 540.7407 | 99,670 | 113,700 | 48,400 | 296.0000 | 303.4182 | 140.2667 | 49,760 | 50,810 | 65,550 |
| 0.25 | 70.5882 | 506.0241 | 105,710 | 122,040 | 57,010 | 290.0000 | 298.8235 | 150.8434 | 61,570 | 62,890 | 74,850 |
| 0.30 | 80.0000 | 468.3417 | 111,410 | 130,250 | 65,650 | 284.0000 | 294.4000 | 161.2945 | 73,270 | 74,910 | 84,180 |
| 0.35 | 90.1266 | 427.2966 | 116,730 | 138,340 | 74,360 | 278.0000 | 290.1671 | 171.6031 | 84,840 | 86,850 | 93,540 |
| 0.40 | 101.0526 | 382.4176 | 121,630 | 146,280 | 83,150 | 272.0000 | 286.1474 | 181.7495 | 96,270 | 98,700 | 102,930 |
| 0.45 | 112.8767 | 333.1412 | 126,060 | 154,090 | 92,070 | 266.0000 | 282.3671 | 191.7095 | 107,550 | 110,460 | 112,370 |
| 0.50 | 125.7143 | 278.7879 | 130,000 | 161,740 | 101,150 | 260.0000 | 278.8571 | 201.4545 | 118,670 | 122,120 | 121,870 |
| 0.55 | 139.7015 | 218.5304 | 133,380 | 169,250 | 110,440 | 254.0000 | 275.6537 | 210.9495 | 129,590 | 133,680 | 131,460 |
| 0.60 | 155.0000 | 151.3514 | 136,140 | 176,600 | 120,040 | 248.0000 | 272.8000 | 220.1514 | 140,310 | 145,120 | 141,160 |
| 0.65 | 171.8033 | 75.9857 | 138,220 | 183,790 | 130,030 | 242.0000 | 270.3475 | 229.0065 | 150,810 | 156,430 | 151,010 |
© 2019 by the authors. Licensee MDPI, Basel, Switzerland. This article is an open access article distributed under the terms and conditions of the Creative Commons Attribution (CC BY) license (http://creativecommons.org/licenses/by/4.0/).
Share and Cite
Feng, D.; Ma, L.; Ding, Y.; Wu, G.; Zhang, Y. Decisions of the Dual-Channel Supply Chain under Double Policy Considering Remanufacturing. Int. J. Environ. Res. Public Health 2019, 16, 465. https://doi.org/10.3390/ijerph16030465
Feng D, Ma L, Ding Y, Wu G, Zhang Y. Decisions of the Dual-Channel Supply Chain under Double Policy Considering Remanufacturing. International Journal of Environmental Research and Public Health. 2019; 16(3):465. https://doi.org/10.3390/ijerph16030465
Chicago/Turabian StyleFeng, Dingzhong, Lei Ma, Yangke Ding, Guanghua Wu, and Ye Zhang. 2019. "Decisions of the Dual-Channel Supply Chain under Double Policy Considering Remanufacturing" International Journal of Environmental Research and Public Health 16, no. 3: 465. https://doi.org/10.3390/ijerph16030465
APA StyleFeng, D., Ma, L., Ding, Y., Wu, G., & Zhang, Y. (2019). Decisions of the Dual-Channel Supply Chain under Double Policy Considering Remanufacturing. International Journal of Environmental Research and Public Health, 16(3), 465. https://doi.org/10.3390/ijerph16030465

