Developing a Health-Promotion Program Based on the Action Research Paradigm to Reduce Cardiovascular Disease Risk Factors among Blue Collar Workers
Abstract
1. Introduction
2. Study Purpose
3. Methods
3.1. Study Design
3.2. Conceptual Framework
3.3. Participant
3.4. Ethical Considerations
3.5. Data Collection
3.5.1. Self-Regulation
3.5.2. CVD Risk Perception
3.5.3. Health-Promoting Behavior
3.5.4. Family Function
3.5.5. Interpersonal Support Evaluation List-12 (ISEL-12)
3.5.6. Job Stress
3.5.7. Anthropometric Measurements
3.5.8. Blood Test
3.6. Contents and Process of Action Research
3.6.1. Action Research—Development of a Health Management Journal and Testing its Content Validity
3.6.2. Participants’ Baseline Characteristics
3.6.3. Using the Health Management Journal
3.6.4. Post-Intervention
3.7. Data Analysis
4. Results
4.1. Demographic Characteristics of the Study Participants
4.2. The Effects of the Action Research Program
5. Discussion
5.1. General Characteristics
5.2. Biological and Anthropometric Measurements
5.3. Changes in Health-Promotion Behavior
5.4. Changes in Psychosocial Factors
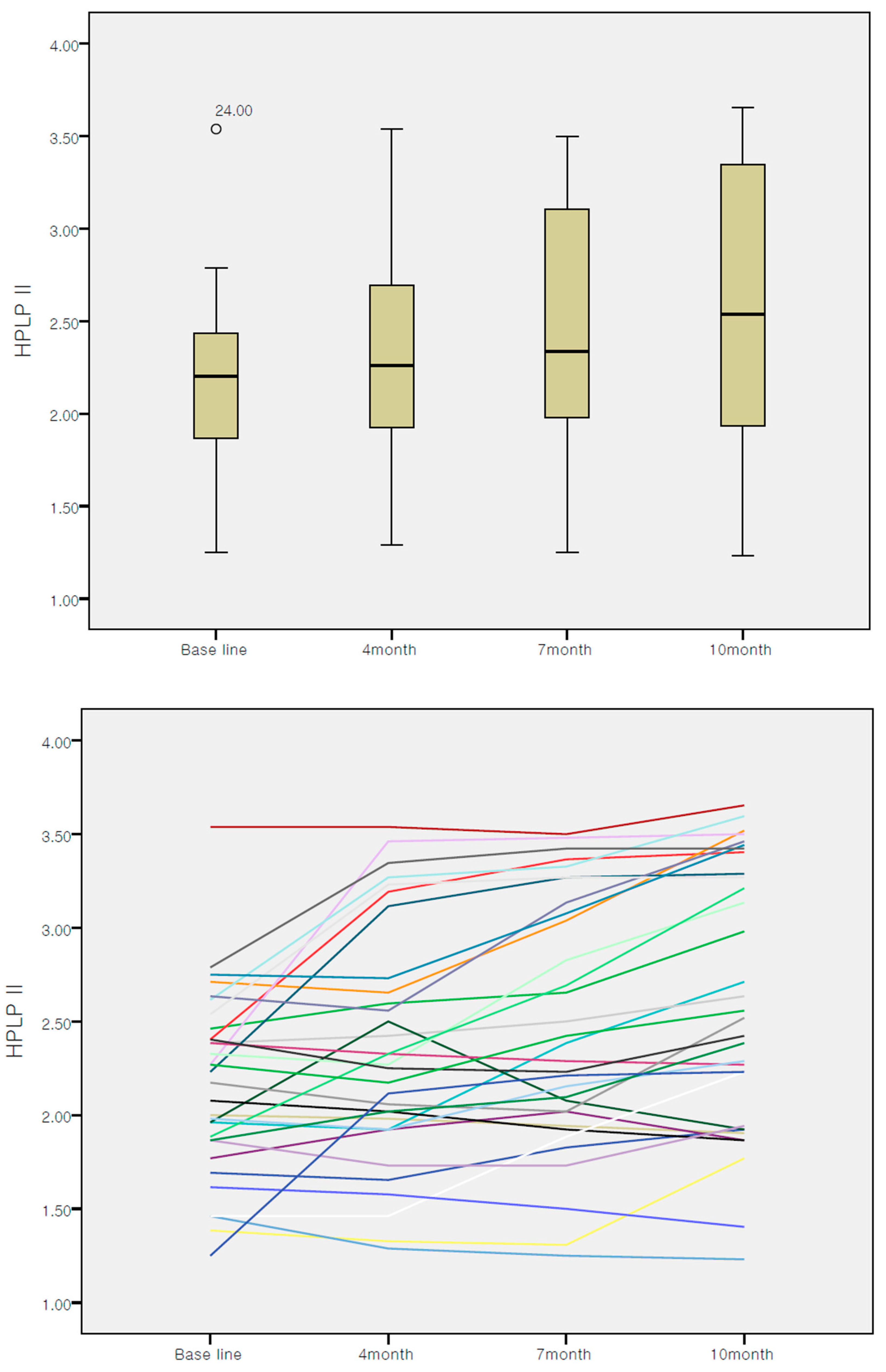
5.5. Sustaining Effect on Health-Promotion Behaviors
5.6. Factors Influencing the Sustainability of Health-Promotion Behaviors
6. Conclusions
Author Contributions
Funding
Conflicts of Interest
References
- World Health Organization. The Top 10 Causes of Death. Available online: http://www.who.int/mediacentre/factsheets/fs310/en/ (accessed on 10 December 2017).
- Korea Occupational Safety and Health Agency. Occupational Injuries and Illnesses for 2011. Available online: http://www.kosha.or.kr/kosha/data/industrialAccidentStatus.do (accessed on 20 November 2019).
- National Law Information Center. Occupational Safety and Health Act. Available online: http://www.law.go.kr/lsSc.do?%20menuId=0&p1=&subMenu=1&nwYn=1§ion=&tabNo=&query=%EC%82%B0%EC%97%85%EC%95%88%EC%A0%84%EB%B3%B4%EA%B1%B4%EB%B2%95%20%EC%8B%9C%ED%96%89%EB%A0%B9#undefined (accessed on 20 November 2019).
- Wennerholm, C.; Grip, B.; Johansson, A.; Nilsson, H.; Honkasalo, M.-L.; Faresjö, T. Cardiovascular disease occurrence in two close but different social environments. Int. J. Health Geogr. 2011, 10, 1–9. [Google Scholar] [CrossRef]
- Yoon, S.Y.; Kam, S.; Kim, J.S.; Jo, S.Y.; Kwon, Y.J.; Song, I.W.; Woo, K.H. The effect of participatory approach program for cardiovascular disease prevention in the workplace. Korean J. Occup. Environ. Med. 2012, 24, 133–144. [Google Scholar] [CrossRef]
- Heron, J.; Reason, P. The practice of cooperative inquiry: Research ‘with’ rather than ‘on’ people. In Handbook of Action Research, 1st ed.; Reason, P., Bradbury, H., Eds.; Sage Publications: London, UK, 2001; pp. 179–188. [Google Scholar]
- McVicar, A.; Munn-Giddings, C.; Seebohm, P. Workplace stress interventions using participatory action research designs. Int. J. Workplace Health Manag. 2013, 6, 18–37. [Google Scholar] [CrossRef]
- Giles-Corti, B.; Macintyre, S.; Clarkson, J.P.; Pikora, T.; Donovan, R.J. Environmental and lifestyle factors associated with overweight and obesity in Perth, Australia. Am. J. Health Promot. 2003, 18, 93–102. [Google Scholar] [CrossRef]
- Lewin, K. Action research and minority problems. J. Soc. Issues 1946, 2, 34–46. [Google Scholar] [CrossRef]
- Hwang, W.J.; Hong, O.S.; Rankin, S.H. Predictors of health-promoting behavior associated with cardiovascular diseases among Korean blue-collar workers. Asia Pac. J. Public Health 2015, 27, 691–702. [Google Scholar] [CrossRef]
- Ryan, R.M.; Connell, J.P. Perceived locus of causality and internalization: Examining reasons for acting in two domains. J. Pers. Soc. Psychol. 1989, 57, 749–761. [Google Scholar] [CrossRef]
- Becker, D.; Levine, D. Risk perception, knowledge, and lifestyles in siblings of people with premature coronary disease. Am. J. Prev. Med. 1986, 3, 45–50. [Google Scholar] [CrossRef]
- Walker, S.N.; Sechrist, K.R.; Pender, N.J. The health promoting lifestyle profile: Development and psychometric characteristics. Nurs. Res. 1987, 36, 76–81. [Google Scholar] [CrossRef]
- Smilkstein, G. The Family APGAR: A proposal for family function test and its use by physicians. J. Fam. Pract. 1978, 6, 1231–1239. [Google Scholar]
- Cohen, S.; Mermelstein, R.; Kamarck, T.; Hoberman, H.M. Measuring the functional components of social support. In Social Support: Theory, Research and Application, 1st ed.; Sarason, I.G., Sarason, B.R., Eds.; Martinus Nijhoff: The Hague, Holland, 1985; pp. 73–94. [Google Scholar]
- Siegrist, J.; Starke, D.; Chandola, T.; Godin, I.; Marmot, M.; Niedhammer, I.; Peter, R. The measurement of effort-reward imbalance at work: European comparisons. Soc. Sci. Med. 2004, 58, 1483–1499. [Google Scholar] [CrossRef]
- Jeong, H.W.; Kim, Y.C.; Park, S.C. A study on assessment of stress at work between white and blue collar workers in shipyard. J. Korean Soc. Saf. 2015, 30, 80–85. [Google Scholar] [CrossRef][Green Version]
- Kolmet, M.; Mariño, R.; Plummer, D. Anglo-Australian male blue-collar workers discuss gender and health issues. Int. J. Mens Health 2006, 5, 81–93. [Google Scholar] [CrossRef]
- Lingard, H.; Turner, M. Improving the health of male, blue collar construction workers: A social ecological perspective. Constr. Manag. Econ. 2015, 33, 18–34. [Google Scholar] [CrossRef]
- Hwang, W.J.; Hong, O. Work-related cardiovascular disease risk factors using a socioecological approach: Implications for practice and research. Eur. J. Cardiovasc. Nurs. 2012, 11, 114–126. [Google Scholar] [CrossRef]
- Mann, T.; De Ridder, D.; Fujita, K. Self-regulation of health behavior: Social psychological approaches to goal setting and goal striving. Health Psychol. 2013, 32, 487–498. [Google Scholar] [CrossRef]
- Hwang, W.J.; Park, Y. Ecological correlates of cardiovascular disease risk in Korean blue-collar workers: A multi-level study. J. Korean Acad. Nurs. 2015, 45, 857–867. [Google Scholar] [CrossRef]
- Vinten, G. Participant observation: A model for organizational investigation? J. Manag. Psychol. 1994, 9, 30–38. [Google Scholar] [CrossRef]
- Stansfeld, S.; Candy, B. Psychosocial work environment and mental health—A meta·analytic review. Scand. J. Work Environ. Health 2006, 32, 443–462. [Google Scholar] [CrossRef]
- Hwang, W.J.; Hong, O.S.; Kang, D.R. Psychometric testing of the effort-reward imbalance–short form among blue-collar workers employed in small industrial settings in Korea. Workplace Health Saf. 2018, 66, 597–605. [Google Scholar] [CrossRef]
- Healy, K. Participatory action research and social work: A critical appraisal. Int. Soc. Work 2001, 44, 93–105. [Google Scholar] [CrossRef]
- Shaw, R.L.; Holland, C.; Pattison, H.M.; Cooke, R. Patients’ perceptions and experiences of cardiovascular disease and diabetes prevention programmes: A systematic review and framework synthesis using the Theoretical Domains Framework. Soc. Sci. Med. 2016, 156, 192–203. [Google Scholar] [CrossRef]
- Rosner, B. Fundamentals of Biostatistics, 7th ed.; Brooks/Cole: Boston, MA, USA, 2015; pp. 758–767. [Google Scholar]
- Hwang, W.J.; Chung, W.J.; Kang, D.R.; Suh, M.H. Factors affecting breastfeeding rate and duration. J. Prev. Med. Public Health 2006, 39, 74–80. [Google Scholar] [PubMed]
- Magnavita, N. Obstacles and future prospects: Considerations on health promotion activities for older Workers in Europe. Int. J. Environ. Res. Public Health 2018, 15, 1096. [Google Scholar] [CrossRef] [PubMed]




| Concepts | Instruments | Indication | Items |
|---|---|---|---|
| Self-Regulation (Exercise, Diet, Smoking, and Alcohol) | Treatment Self-Regulation Questionnaire (TSRQ) | Higher score | 24 |
| CVD risk perception | CVD Risk Perception | Higher score | 5 |
| Health-promoting behavior | Health-Promoting Lifestyle Profile II (HPLP II) | Higher score | 52 |
| Family Function | Family APGAR Questionnaire | Higher score | 5 |
| Social support | Interpersonal Support Evaluation List-12 (ISEL-12) | Higher score | 12 |
| Job stress | Effort-Reward Imbalance (ERI) + Overcommitment | Cutoff point = 1 (low/high) | 23 |
| Variables | N (%)/Mean (SD) |
|---|---|
| Sex | |
| Male | 26 (81.25) |
| Female | 6 (18.75) |
| Age | 42.54 (7.23) |
| 20–39 | 11 (34.37) |
| 40–59 | 21 (65.63) |
| Educational level | |
| ≤High school | 18 (56.25) |
| ≥College | 14 (43.75) |
| Marital status | |
| Unmarried | 11 (34.37) |
| Married | 21 (65.63) |
| Monthly income (10000 won) | |
| 100~199 | 20 (62.50) |
| 200~299 | 12 (37.50) |
| Working hours (/week) | 55.61 (6.01) |
| Employment | |
| Regular | 27 (84.47) |
| Contract | 5 (15.53) |
| Job tenure (year) | 5.25 (2.34) |
| <3 | 5 (15.62) |
| 3–5 | 9 (28.13) |
| 5–7 | 10 (31.25) |
| >7 | 8 (25.00) |
| Current smoking state | |
| Nonsmoker | 14 (43.75) |
| Smoker | 18 (56.25) |
| Variables | Pre | Post | χ2 or t | p-Value |
|---|---|---|---|---|
| Mean (SD)/n (%) | Mean (SD)/n (%) | |||
| Body weight (kg) | 77.22 (16.17) | 75.31 (13.84) | 2.97 | 0.006 |
| Waist circumference (cm) | 86.03 (11.84) | 85.22 (9.78) | 1.47 | 0.152 |
| Systolic blood pressure (mmHg) | 135.88 (13.39) | 132.56 (10.51) | 3.99 | <0.001 |
| Diastolic blood pressure (mmHg) | 88.97 (8.36) | 87.539 (7.07) | 2.17 | 0.037 |
| LDL cholesterol (mg/dL) | 126.69 (48.69) | 120.25 (41.46) | 1.82 | 0.078 |
| HDL cholesterol (mg/dL) | 55.56 (32.02) | 62.66 (30.93) | 5.05 | <0.001 |
| Total cholesterol (mg/dL) | 204.78 (44.97) | 201.34 (38.41) | 1.50 | 0.143 |
| Triglyceride (mg/dL) | 256.47 (220.50) | 255.00 (215.60) | 0.07 | 0.937 |
| Fasting blood glucose (mg/dL) | 109.50 (36.83) | 102.63 (18.81) | 1.65 | 0.110 |
| Body Mass Index (kg/m2) | 26.40 (5.16) | 25.74 (4.30) | 3.07 | 0.004 |
| Normal weight | 7 (21.8) | 7 (21.9) | 28.03 | <0.001 |
| Overweight | 8 (25.0) | 13 (40.6) | ||
| Obesity | 17 (53.2) | 12 (37.5) | ||
| Current smoking state | ||||
| Nonsmoker | 14 (43.7) | 21 (65.6) | 3.09 | 0.066 |
| Smoker | 18 (56.3) | 11 (34.4) | ||
| CVD risk knowledge | 11.94 (5.84) | 12.25 ( 5.53) | 1.89 | 0.067 |
| Health-promoting behavior | 2.16 (0.49) | 2.62 ( 0.71) | 5.82 | <0.001 |
| Self-regulation | ||||
| Exercise | 16.37 (7.26) | 20.21 (7.95) | 3.44 | 0.002 |
| Diet | 18.31 (4.99) | 23.37 (7.16) | 3.58 | 0.001 |
| Smoking | 18.78 (5.39) | 29.94 (7.30) | 4.79 | <0.001 |
| Alcohol | 14.28 (3.88) | 14.31 (4.17) | 0.19 | 0.845 |
| CVD risk perception | 9.91 (3.29) | 8.50 (2.44) | 3.23 | 0.003 |
| Social support | 22.56 (5.29) | 22.09 (4.77) | 520 | 0.607 |
| Family function | 3.63 (2.41) | 6.03 (1.47) | 6.98 | 0.001 |
| Job stress | 1.06 (0.34) | 1.16 (0.29) | 3.25 | 0.003 |
| CVD risk groups | ||||
| Low risk | 0 (0.0) | 7 (21.9) | 8.83 † | 0.008 |
| Moderate risk | 19 (59.4) | 18 (56.3) | ||
| High risk | 13 (40.6) | 7 (21.9) |
| Variables | Hazard Ratio | 95% Confident Interval | p-Value |
|---|---|---|---|
| Age | 1.06 | 0.96 to 1.16 | 0.203 |
| Sex | 0.45 | 0.13 to 1.58 | 0.217 |
| CVD risk perception | 4.03 | 1.29 to 12.60 | 0.016 |
| CVD knowledge | 0.93 | 0.86 to 1.01 | 0.092 |
| Self-regulation | 1.05 | 1.02 to 1.09 | 0.002 |
| Social support | 1.11 | 0.99 to 1.24 | 0.068 |
| Family function | 0.92 | 0.75 to 1.13 | 0.455 |
| Job stress | 0.55 | 0.11 to 2.57 | 0.450 |
© 2019 by the authors. Licensee MDPI, Basel, Switzerland. This article is an open access article distributed under the terms and conditions of the Creative Commons Attribution (CC BY) license (http://creativecommons.org/licenses/by/4.0/).
Share and Cite
Hwang, W.J.; Kim, J.A. Developing a Health-Promotion Program Based on the Action Research Paradigm to Reduce Cardiovascular Disease Risk Factors among Blue Collar Workers. Int. J. Environ. Res. Public Health 2019, 16, 4958. https://doi.org/10.3390/ijerph16244958
Hwang WJ, Kim JA. Developing a Health-Promotion Program Based on the Action Research Paradigm to Reduce Cardiovascular Disease Risk Factors among Blue Collar Workers. International Journal of Environmental Research and Public Health. 2019; 16(24):4958. https://doi.org/10.3390/ijerph16244958
Chicago/Turabian StyleHwang, Won Ju, and Jin Ah Kim. 2019. "Developing a Health-Promotion Program Based on the Action Research Paradigm to Reduce Cardiovascular Disease Risk Factors among Blue Collar Workers" International Journal of Environmental Research and Public Health 16, no. 24: 4958. https://doi.org/10.3390/ijerph16244958
APA StyleHwang, W. J., & Kim, J. A. (2019). Developing a Health-Promotion Program Based on the Action Research Paradigm to Reduce Cardiovascular Disease Risk Factors among Blue Collar Workers. International Journal of Environmental Research and Public Health, 16(24), 4958. https://doi.org/10.3390/ijerph16244958
