The Development of Global Women’s Rights and Improvements in Reproductive Health Intervention Access of Females with Different Socio-Economic Status
Abstract
1. Introduction
2. Materials and Methods
2.1. Data Source and Description
2.2. Variables
2.3. Method
3. Results
4. Discussion and Conclusions
Author Contributions
Funding
Ethical statement
Conflicts of Interest
Appendix A
| Albania | Djibouti | Lesotho | Peru |
| Argentina | Egypt, Arab Rep. | Madagascar | Philippines |
| Armenia | El Salvador | Malawi | Moldova |
| Azerbaijan | Eswatini | Maldives | Sao Tome and Principe |
| Belarus | Ethiopia | Mali | Senegal |
| Belize | Gambia, The | Mauritania | Serbia |
| Benin | Georgia | Mexico | Sierra Leone |
| Bhutan | Ghana | Mongolia | Sudan |
| Bolivia | Guatemala | Morocco | Suriname |
| Burkina Faso | Guinea | Mozambique | Syrian Arab Republic |
| Burundi | Guyana | Namibia | Tajikistan |
| Cambodia | Honduras | Nepal | North Macedonia |
| Cameroon | Indonesia | Nicaragua | Timor-Leste |
| Central African Republic | Jordan | Niger | Uganda |
| Colombia | Kazakhstan | Nigeria | Ukraine |
| Congo, Rep. | Kenya | Pakistan | Tanzania |
| Costa Rica | Kyrgyz Republic | Panama | Yemen, Rep. |
| Cuba | Lao PDR | Paraguay | Zambia |
Appendix B. The Illustration of Regression Results



References
- Cook, R.J. International human rights and women’s reproductive health. Stud. Fam. Plan. 1993, 24, 73–86. [Google Scholar] [CrossRef]
- Cook, R.J. Human rights and reproductive self-determination. Am. Univ. Law Rev. 1994, 44, 975–1016. [Google Scholar]
- Di Mauro, D.; Joffe, C. The religious right and the reshaping of sexual policy: An examination of reproductive rights and sexuality education. Sex. Res. Soc. Policy 2007, 4, 67–92. [Google Scholar] [CrossRef]
- Freedman, L.P.; Isaacs, S.L. Human rights and reproductive choice. Stud. Fam. Plan. 1993, 24, 18–30. [Google Scholar] [CrossRef]
- Schenker, J.G.; Eisenberg, V.H. Ethical issues relating to reproduction control and women’s health. Int. J. Gynecol. Obstet. 1997, 58, 167–176. [Google Scholar] [CrossRef]
- United Nations Population Fund. UNFPA Statistic Plan, 2018–2021. Available online: https://www.unfpa.org/sites/default/files/pub-pdf/18-044_UNFPA-SP2018-EN_2018-03-12-1244_0.pdf (accessed on 11 October 2019).
- Bailey, M.J. Momma’s got the pill: How Anthony Comstock and Griswold v. Connecticut shaped US childbearing. Am. Econ. Rev. 2010, 100, 98–129. [Google Scholar] [CrossRef]
- Helscher, D. Griswold v. Connecticut and the unenumerated right of privacy. North. Ill. Univ. Law Rev. 1994, 15, 33–61. [Google Scholar]
- Ginsburg, R.B. Some thoughts on autonomy and equality in relation to Roe v. Wade. N. C. Law Rev. 1984, 63, 375. [Google Scholar]
- Davis, P.C. Neglected stories and the lawfulness of Roe v. Wade. Harv. Civ. Right-Civ. Lib. Law Rev. 1993, 28, 299–396. [Google Scholar]
- Bader, V.; Kelly, P.J.; Cheng, A.L.; Witt, J. The role of previous contraception education and moral judgment in contraceptive use. J. Midwifery Women’s Health 2014, 59, 447–451. [Google Scholar] [CrossRef]
- Moen, E. Women’s rights and reproductive freedom. Hum. Rights Q. 1981, 3, 53–60. [Google Scholar] [CrossRef]
- Hewson, B. Reproductive autonomy and the ethics of abortion. J. Med. Ethics 2001, 27, ii10–ii14. [Google Scholar] [CrossRef] [PubMed]
- Cameron, L.A.; Malcolm Dowling, J.; Worswick, C. Education and labor market participation of women in Asia: Evidence from five countries. Econ. Dev. Cult. Chang. 2001, 49, 459–477. [Google Scholar] [CrossRef]
- Ince, M. How the education affects female labor force? Empirical evidence from Turkey. Procedia-Soc. Behav. Sci. 2010, 2, 634–639. [Google Scholar] [CrossRef]
- Mitra, A.; Singh, P. Human capital attainment and female labor force participation—The Kerala puzzle. J. Econ. Issues 2006, 40, 779–798. [Google Scholar] [CrossRef]
- Halder, N. Female representation in parliament: A case study from Bangladesh. N. Z. J. Asian Stud. 2004, 6, 27–63. [Google Scholar]
- Özbilgin, M. Equality, Diversity and Inclusion at Work: Yesterday, Today and Tomorrow; Edward Elgar: Cheltenham, UK, 2009; pp. 1–16. [Google Scholar]
- Gustafsson, S. Optimal age at motherhood. Theoretical and empirical considerations on postponement of maternity in Europe. J. Popul. Econ. 2001, 14, 225–247. [Google Scholar] [CrossRef]
- Mishra, V.; Smyth, R. Female labor force participation and total fertility rates in the OECD: New evidence from panel cointegration and Granger causality testing. J. Econ. Bus. 2010, 62, 48–64. [Google Scholar] [CrossRef]
- Bbaale, E.; Mpuga, P. Female education, contraceptive use, and fertility: Evidence from Uganda. Consilience 2011, 6, 20–47. [Google Scholar]
- Drèze, J.; Murthi, M. Fertility, education, and development: Evidence from India. Popul. Dev. Rev. 2001, 27, 33–63. [Google Scholar] [CrossRef]
- Osili, U.O.; Long, B.T. Does female schooling reduce fertility? Evidence from Nigeria. J. Dev. Econ. 2008, 87, 57–75. [Google Scholar] [CrossRef]
- Wooldridge, J.M. Econometric Analysis of Cross Section and Panel Data; MIT Press: Cambridge, MA, USA, 2010. [Google Scholar]
- Bull, S.S. Contraception and culture: The use of yuyos in Paraguay. Health Care Women Int. 1998, 19, 49–60. [Google Scholar] [CrossRef] [PubMed]
- Bankole, A.; Ezeh, A.C. Unmet need for couples: An analytical framework and evaluation with DHS data. Popul. Res. Policy Rev. 1999, 18, 579–605. [Google Scholar] [CrossRef]
- Rossier, C.; Corker, J. Contemporary use of traditional contraception in sub-Saharan Africa. Popul. Dev. Rev. 2017, 43, 192–215. [Google Scholar] [CrossRef] [PubMed]
- United Nations Population Division. World Contraceptive Patterns 2013. Available online: http://www.un.org/en/development/desa/population/publications/family/contraceptive-wallchart-2013.shtml (accessed on 12 October 2019).
- Anyanwu, J.C. Analysis of gender equality in youth employment in Africa. Afr. Dev. Rev. 2016, 28, 397–415. [Google Scholar] [CrossRef]
- Maclure, R.; Denov, M. Reconstruction versus transformation: Post-war education and the struggle for gender equity in Sierra Leone. Int. J. Educ. Dev. 2009, 29, 612–620. [Google Scholar] [CrossRef]
- Paxton, P.; Hughes, M.M.; Painter, M.A. Growth in women’s political representation: A longitudinal exploration of democracy, electoral system and gender quotas. Eur. J. Political Res. 2010, 49, 25–52. [Google Scholar] [CrossRef]
- Al Riyami, A.; Afifi, M.; Mabry, R.M. Women’s autonomy, education and employment in Oman and their influence on contraceptive use. Reprod. Health Matters 2004, 12, 144–154. [Google Scholar] [CrossRef]
- Yuan, B.; Li, J. Women’s rights development and reproductive health interventions access worldwide. Popul. Health Manag. 2019. [Google Scholar] [CrossRef]
- Srivastava, N.; Srivastava, R. Women, work, and employment outcomes in rural India. Econ. Political Wkly. 2010, 45, 49–63. [Google Scholar]
- Gyimah, S.O.; Adjei, J.K.; Takyi, B.K. Religion, contraception, and method choice of married women in Ghana. J. Relig. Health 2012, 51, 1359–1374. [Google Scholar] [CrossRef] [PubMed]
- Mahapatro, S.R. Utilization of maternal and child health care services in India: Does women’s autonomy matter? J. Fam. Welf. 2012, 58, 22–33. [Google Scholar]
- Li, J.; Shi, L.; Liang, H.; Ding, G.; Xu, L. Urban-rural disparities in health care utilization among Chinese adults from 1993 to 2011. BMC Health Serv. Res. 2018, 18, 102. [Google Scholar] [CrossRef] [PubMed]
- Chigbu, C.O.; Onyebuchi, A.K.; Onwudiwe, E.N.; Iwuji, S.E. Denial of women’s rights to contraception in southeastern Nigeria. Int. J. Gynecol. Obstet. 2013, 121, 154–156. [Google Scholar] [CrossRef]
- Noreen, G.; Khalid, H. Gender empowerment through women’s higher education: Opportunities and possibilities. J. Res. Reflect. Educ. 2012, 6, 50–60. [Google Scholar]
- Berik, G. Understanding the Gender System in Rural Turkey: Fieldwork Dilemmas of Conformity and Intervention. In Feminist Dilemmas in Fieldwork; Routledge: London, UK, 2018; pp. 56–71. [Google Scholar]
- Liu, J.; Carpenter, M. Trends and issues of women’s education in China. Clear. House J. Educ. Strateg. Issues Ideas 2005, 78, 277–281. [Google Scholar] [CrossRef]
- Ambreen, M.; Mohyuddin, A. Gender biased parental attitudes towards education: A case study of village dasuha, district Faisalabad. Acad. Res. Int. 2013, 4, 140–147. [Google Scholar]
- Pearse, R.; Connell, R. Gender norms and the economy: Insights from social research. Fem. Econ. 2016, 22, 30–53. [Google Scholar] [CrossRef]
- Derose, L.F.; Wu, L.; Dodoo, F.N.A. Inferring gender-power: Women’s schooling and relative spousal influence in childbearing in Ghana. Genus 2010, 66, 69–91. [Google Scholar]
- Camporesi, S. Bioethics and biopolitics: Presents and futures of reproduction. J. Bioethical Inq. 2017, 14, 177–181. [Google Scholar] [CrossRef][Green Version]
- Umar, A.S.; Kennedy, C.; Tawfik, H. Female economic empowerment as a significant factor of social exclusion on the use of antenatal and natal services in Nigeria. MOJ Women’s Health 2017, 5, 217–220. [Google Scholar]
- Grant, U. Health and Poverty Linkages: Perspectives of the Chronically Poor; Background Paper; Chronic Poverty Research Centre: Manchester, UK, 2005. [Google Scholar]
- Steinfield, L.A.; Coleman, C.A.; Tuncay Zayer, L.; Ourahmoune, N.; Hein, W. Power logics of consumers’ gendered (in) justices: Reading reproductive health interventions through the transformative gender justice framework. Consum. Mark. Cult. 2019, 22, 406–429. [Google Scholar] [CrossRef]
| Independent Variables | Abbreviation | Definition | Data Source |
|---|---|---|---|
| Ln [Proportion of seats held by women in national parliaments (in percentage)] | Ln[Parliament] | Women in parliaments are the percentage of parliamentary seats in a single or lower chamber held by women. | Inter-Parliamentary Union (IPU) |
| Ln [Employers, female (in percentage, of female employment) (modeled ILO estimate)] | Ln[Employer] | Employers indicate workers who work on their own account or with one or a few partners, hold the type of jobs defined as “self-employment jobs” (i.e., jobs where the remuneration is directly dependent upon the profits derived from the goods and services produced), and in this capacity, have engaged, on a continuous basis, one or more persons to work for them as employee(s). | International Labor Organization, ILOSTAT database. |
| Ln [Adjusted net enrollment rate, primary, female (in percentage, of primary school age children)] | Ln[Enrollment] | Adjusted net enrollment is the number of pupils of the school-age group for primary education, enrolled either in primary or secondary education, expressed as a percentage of the total population in that age group. | UNESCO Institute for Statistics |
| Ln [Employment to population ratio, 15+, female (in percentage) (modeled ILO estimate)] | Ln[Employment population ratio] | Employment is defined as persons of working age who, during a short reference period, were engaged in any activity to produce goods or provide services for pay or profit, whether at work during the reference period (i.e., who worked in a job for at least one hour) or not at work due to temporary absence from a job, or to working-time arrangements. Ages 15 and older are generally considered the working-age population. | International Labor Organization, ILOSTAT database. |
| Variables | Mean | S.D. | Range | Non-Missing Observation |
|---|---|---|---|---|
| Dependent variables | ||||
| Residence place difference | ||||
| Ln [Contraceptive access]—Modern method—Rural | 3.0534 | 1.0780 | [−1.6094, 4.3618] | 258 |
| Ln [Contraceptive access]—Modern method—Urban | 3.5075 | 0.6218 | [0.8755, 4.3399] | 259 |
| Ln [Contraceptive access]—Modern & traditional method—Rural | 3.4347 | 0.8416 | [0.8329, 4.4018] | 258 |
| Ln [Contraceptive access]—Modern & traditional method—Urban | 3.7653 | 0.5157 | [1.5892, 4.4006] | 259 |
| Educational difference | ||||
| Ln [Contraceptive access]—Modern method—None | 2.7878 | 1.1187 | [−0.6931, 4.3503] | 224 |
| Ln [Contraceptive access]—Modern method—Primary | 3.2479 | 0.8070 | [0.7419, 4.3994] | 239 |
| Ln [Contraceptive access]—Modern method—Secondary or above | 3.5778 | 0.5210 | [1.8406, 4.3307] | 258 |
| Ln [Contraceptive access]—Modern & traditional method—None | 3.1440 | 0.8912 | [0.9933, 4.3770] | 224 |
| Ln [Contraceptive access]—Modern & traditional method—Primary | 3.5737 | 0.6203 | [1.8083, 4.4164] | 240 |
| Ln [Contraceptive access]—Modern & traditional method—Secondary or above | 3.8431 | 0.4112 | [2.3026, 4.4092] | 258 |
| Income difference | ||||
| Ln [Contraceptive access]—Modern method—Q1[poorest] | 2.7869 | 1.2658 | [−2.3026, 4.3944] | 254 |
| Ln [Contraceptive access]—Modern method—Q2 | 2.9870 | 1.1695 | [−1.6094, 4.3669] | 255 |
| Ln [Contraceptive access]—Modern method—Q3 | 3.1699 | 1.0546 | [−1.6094, 6.5958] | 257 |
| Ln [Contraceptive access]—Modern method—Q4 | 3.3510 | 0.8402 | [−0.9163, 4.3748] | 256 |
| Ln [Contraceptive access]—Modern method—Q5[richest] | 3.5763 | 0.5683 | [1.2801, 4.2541] | 254 |
| Ln [Contraceptive access]—Modern & traditional method—Q1[poorest] | 3.2167 | 0.9908 | [0.2624, 4.4128] | 255 |
| Ln [Contraceptive access]—Modern & traditional method—Q2 | 3.3744 | 0.9158 | [0, 4.4031] | 255 |
| Ln [Contraceptive access]—Modern & traditional method—Q3 | 3.5133 | 0.7952 | [0.9163, 4.4320] | 255 |
| Ln [Contraceptive access]—Modern & traditional method—Q4 | 3.6462 | 0.6695 | [1.2528, 4.4308] | 255 |
| Ln [Contraceptive access]—Modern & traditional method—Q5[richest] | 3.8286 | 0.4649 | [1.9459, 4.4140] | 255 |
| Independent variables | ||||
| Ln [Parliament] | 2.6188 | 0.7679 | [−1.2040, 4.1558] | 2757 |
| Ln [Employer] | 0.1502 | 1.0148 | [−3.6119, 2.3817] | 2848 |
| Ln [Enrollment] | 4.4581 | 0.2275 | [3.0762, 4.6052] | 1714 |
| Ln [Employment population ratio] | 3.7626 | 0.4357 | [1.5007, 4.4545] | 2848 |
| Variables | Dependent Variable: Ln [Contraceptive Access] | |||
|---|---|---|---|---|
| Modern Method | Modern & Traditional Method | |||
| Rural | Urban | Rural | Urban | |
| Ln [Parliament] | 0.1293 * [0.0726] | 0.0331 [0.0464] | 0.1680 ** [0.0791] | 0.0404 [0.0530] |
| Ln [Employer] | 0.1331 * [0.0774] | 0.0509 [0.0495] | 0.1584 * [0.0843] | 0.1159 ** [0.0564] |
| Ln [Enrollment] | 1.8766 *** [0.1773] | 0.6545 *** [0.1134] | 1.1951 *** [0.1931] | 0.5110 *** [0.1294] |
| Ln [Employment population ratio] | 1.1342 ** [0.4514] | 0.6487 ** [0.2286] | 1.0691 ** [0.4915] | 0.6188 * [0.3293] |
| Intercept [the average of unobserved heterogeneity] | −9.8037 *** [1.9162] | −1.8757 *** [1.2253] | −6.3456 *** [2.0866] | −0.9196 [1.3978] |
| Number of observations | 139 | 140 | 139 | 140 |
| Number of countries | 71 | 72 | 71 | 72 |
| R2 (within) | 0.7160 | 0.4375 | 0.5395 | 0.3282 |
| R2 (between) | 0.1062 | 0.0151 | 0.0581 | 0.0254 |
| R2 (overall) | 0.2089 | 0.0471 | 0.1586 | 0.0885 |
| σu | 0.9657 | 0.6190 | 0.9023 | 0.5443 |
| σe | 0.1707 | 0.1092 | 0.1859 | 0.1245 |
| ρ | 0.9697 | 0.9698 | 0.9593 | 0.9503 |
| F-statistics [p-value] | 40.33 [0.0000] | 12.44 [0.0000] | 18.75 [0.0000] | 7.82 [0.0000] |
| Variables | Dependent Variable: Ln [Contraceptive Access] | |||||
|---|---|---|---|---|---|---|
| Modern Method | Modern & Traditional Method | |||||
| None | Primary | Secondary or above | None | Primary | Secondary or above | |
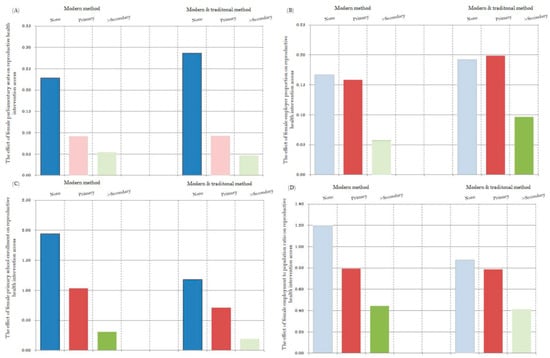
| Ln [Parliament] | 0.2284 * [0.1212] | 0.0921 [0.0566] | 0.0541 [0.0405] | 0.2866 ** [0.1229] | 0.0923 [0.0683] | 0.0467 [0.0482] |
| Ln [Employer] | 0.1665 [0.1332] | 0.1586 ** [0.0595] | 0.0575 [0.0432] | 0.1920 [0.1350] | 0.1986 *** [0.0718] | 0.0965 * [0.0514] |
| Ln [Enrollment] | 1.9389 *** [0.2814] | 1.0337 *** [0.1322] | 0.3107 *** [0.0992] | 1.1802 ** [0.2853] | 0.7138 *** [0.1596] | 0.1913 [0.1179] |
| Ln [Employment population ratio] | 1.1934 [0.7576] | 0.7943 ** [0.3542] | 0.4436 * [0.2525] | 0.8750 [0.7681] | 0.7863 * [0.4274] | 0.4118 [0.3001] |
| Intercept [the average of unobserved heterogeneity] | −10.8523 *** [3.1951] | −4.4834 *** [1.4896] | 0.4441 [1.0719] | −6.1576 * [3.2395] | −2.7812 [1.7979] | 1.3371 [1.2739] |
| Number of observations | 121 | 129 | 140 | 121 | 129 | 140 |
| Number of countries | 62 | 65 | 72 | 62 | 65 | 72 |
| R2 (within) | 0.5871 | 0.6337 | 0.2814 | 0.4416 | 0.4448 | 0.1778 |
| R2 (between) | 0.0266 | 0.0127 | 0.0096 | 0.0361 | 0.0245 | 0.0203 |
| R2 (overall) | 0.1202 | 0.0697 | 0.0330 | 0.1473 | 0.1155 | 0.0772 |
| σu | 1.1819 | 0.8455 | 0.5125 | 0.9640 | 0.7050 | 0.4247 |
| σe | 0.2685 | 0.1265 | 0.0954 | 0.2723 | 0.1526 | 0.1134 |
| ρ | 0.9509 | 0.9781 | 0.9665 | 0.9261 | 0.9552 | 0.9334 |
| F-statistics [p-value] | 19.55 [0.0000] | 25.95 [0.0000] | 6.26 [0.0003] | 10.87 [0.0000] | 12.02 [0.0000] | 3.46 [0.0127] |
| Variables | Dependent Variable: Ln [Contraceptive Access] | |||||||||
|---|---|---|---|---|---|---|---|---|---|---|
| Modern Method | Modern & Traditional Method | |||||||||
| Q1 [Poorest] | Q2 | Q3 | Q4 | Q5 [Richest] | Q1 [Poorest] | Q2 | Q3 | Q4 | Q5 [Richest] | |
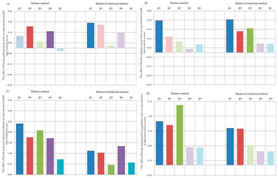
| Ln [Parliament] | 0.1134 [0.1079] | 0.2067 * [0.1107] | 0.0595 [0.1371] | 0.1578 ** [0.0669] | −0.0262 [0.0696] | 0.2386 ** [0.1174] | 0.2219 ** [0.0986] | 0.0239 [0.0926] | 0.1435 ** [0.0677] | 0.0070 [0.0375] |
| Ln [Employer] | 0.3446 *** [0.1205] | 0.1715 [0.1149] | 0.1184 [0.1531] | 0.0367 [0.0747] | 0.0866 [0.0777] | 0.3554 *** [0.1305] | 0.2305 ** [0.1096] | 0.2619 ** [0.1030] | 0.0942 [0.0754] | 0.0937 [0.0595] |
| Ln [Enrollment] | 2.3945 *** [0.2640] | 1.7615 *** [0.2537] | 2.0798 *** [0.3354] | 1.7038 *** [0.1635] | 0.7197 *** [0.1702] | 1.1133 *** [0.2876] | 1.0320 *** [0.2415] | 0.4575 ** [0.2268] | 1.3256 *** [0.1660] | 0.5626 *** [0.1304] |
| Ln [Employment population ratio] | 1.4749 ** [0.6707] | 1.3534 ** [0.6387] | 2.0288 ** [0.8541] | 0.5962 [0.4180] | 0.5879 [0.4326] | 1.2464 * [0.6959] | 1.2304 ** [0.5844] | 0.6680 [0.5519] | 0.4593 [0.4037] | 0.4611 [0.3314] |
| Intercept [the average of unobserved heterogeneity] | −13.6633 *** [2.8564] | −10.4350 *** [2.7223] | −13.8455 *** [3.6350] | −6.7807 ** [1.7768] | −1.7197 [1.8422] | −7.0850 ** [2.9799] | −6.4335 ** [2.5025] | −1.0773 [2.3591] | −4.2990 ** [1.7257] | −0.4005 [1.4114] |
| Number of observations | 136 | 133 | 136 | 135 | 136 | 141 | 141 | 140 | 139 | 136 |
| Number of countries | 69 | 68 | 69 | 69 | 69 | 71 | 71 | 71 | 70 | 69 |
| R2 (within) | 0.6544 | 0.5800 | 0.4587 | 0.7162 | 0.2556 | 0.4173 | 0.4394 | 0.1842 | 0.6027 | 0.2947 |
| R2 (between) | 0.0901 | 0.0470 | 0.0132 | 0.1199 | 0.0208 | 0.0349 | 0.0281 | 0.0307 | 0.1536 | 0.0468 |
| R2 (overall) | 0.1999 | 0.1427 | 0.0712 | 0.2683 | 0.0717 | 0.1248 | 0.1162 | 0.1209 | 0.3324 | 0.1416 |
| σu | 1.2194 | 1.1436 | 1.3348 | 0.6898 | 0.5532 | 1.1247 | 1.0263 | 0.7880 | 0.5841 | 0.4480 |
| σe | 0.2539 | 0.2408 | 0.3225 | 0.1572 | 0.1638 | 0.2769 | 0.2326 | 0.2184 | 0.1598 | 0.1255 |
| ρ | 0.9584 | 0.9575 | 0.9448 | 0.9506 | 0.9194 | 0.9428 | 0.9512 | 0.9287 | 0.9304 | 0.9273 |
| F-statistics [p-value] | 29.82 [0.0000] | 21.06 [0.0000] | 13.35 [0.0000] | 39.12 [0.0000] | 5.41 [0.0008] | 11.82 [0.0000] | 12.93 [0.0000] | 3.67 [0.0093] | 24.65 [0.0000] | 6.58 [0.0002] |
© 2019 by the authors. Licensee MDPI, Basel, Switzerland. This article is an open access article distributed under the terms and conditions of the Creative Commons Attribution (CC BY) license (http://creativecommons.org/licenses/by/4.0/).
Share and Cite
Yuan, B.; Li, J.; Wang, Z. The Development of Global Women’s Rights and Improvements in Reproductive Health Intervention Access of Females with Different Socio-Economic Status. Int. J. Environ. Res. Public Health 2019, 16, 4783. https://doi.org/10.3390/ijerph16234783
Yuan B, Li J, Wang Z. The Development of Global Women’s Rights and Improvements in Reproductive Health Intervention Access of Females with Different Socio-Economic Status. International Journal of Environmental Research and Public Health. 2019; 16(23):4783. https://doi.org/10.3390/ijerph16234783
Chicago/Turabian StyleYuan, Bocong, Jiannan Li, and Zhaoguo Wang. 2019. "The Development of Global Women’s Rights and Improvements in Reproductive Health Intervention Access of Females with Different Socio-Economic Status" International Journal of Environmental Research and Public Health 16, no. 23: 4783. https://doi.org/10.3390/ijerph16234783
APA StyleYuan, B., Li, J., & Wang, Z. (2019). The Development of Global Women’s Rights and Improvements in Reproductive Health Intervention Access of Females with Different Socio-Economic Status. International Journal of Environmental Research and Public Health, 16(23), 4783. https://doi.org/10.3390/ijerph16234783

