Influence of Intensity RAMP Incremental Test on Peak Power, Post-Exercise Blood Lactate, and Heart Rate Recovery in Males: Cross-Over Study
Abstract
1. Introduction
2. Material and Methods
2.1. Subjects
2.2. Study Design
2.3. Incremental Testing
- (1)
- Test 0.278 W·s−1—it started with 0 W load, which was increased linearly by ~0.278 W·s−1 which corresponds to 50 W·3 min−1.
- (2)
- Test 0.556 W·s−1—it started with 0 W load, which was increased linearly by ~0.556 W·s−1 which corresponds to 100 W·3 min−1.
2.4. Statistics and Calculations
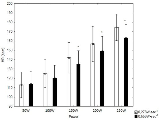
3. Results
4. Discussion
5. Conclusions
Author Contributions
Funding
Acknowledgments
Conflicts of Interest
References
- Beltz, N.M.; Gibson, A.L.; Janot, J.M.; Kravitz, L.; Mermier, C.M.; Dalleck, L.C. Graded exercise testing protocols for the determination of VO2max: Historical perspectives, progress, and future considerations. J. Sports Med. 2016, 3968393. [Google Scholar] [CrossRef] [PubMed]
- Poole, D.C.; Wilkerson, D.P.; Jones, A.M. Validity of criteria for establishing maximal O2 uptake during ramp exercise tests. Eur. J. Appl. Physiol. 2008, 102, 403–410. [Google Scholar] [CrossRef] [PubMed]
- Midgley, A.W.; McNaughton, L.R.; Polman, R.; Marchant, D. Criteria for determination of maximal oxygen uptake: A brief critique and recommendations for future research. Sports Med. 2007, 37, 1019–1028. [Google Scholar] [CrossRef] [PubMed]
- Suzic Lazic, J.; Dekleva, M.; Soldatovic, I.; Leischik, R.; Suzic, S.; Radovanovic, D.; Djuric, B.; Nesic, D.; Lazic, M.; Mazic, S. Heart rate recovery in elite athletes: The impact of age and exercise capacity. Clin. Physiol. Funct. Imaging 2017, 37, 117–123. [Google Scholar] [CrossRef] [PubMed]
- Michalik, K.; Zatoń, M.; Hebisz, P.; Hebisz, R. Heart Rate and Oxygen Uptake Recovery and the Level of Aerobic Capacity in Mountain Bikers. Pol. J. Sport Tour. 2017, 24, 242–246. [Google Scholar] [CrossRef]
- Rutkowski, Ł.; Zatoń, M.; Michalik, K. Maximum oxygen uptake and Post-Exercise recovery in professional road cyclists. Hum. Mov. 2016, 17, 185–189. [Google Scholar] [CrossRef]
- Bentley, D.J.; Newell, J.; Bishop, D. Incremental exercise test design and analysis: Implcations for performance diagnostics in endurance athletes. Sports Med. 2007, 37, 575–586. [Google Scholar] [CrossRef]
- Machado, F.A.; Kravchychyn, A.C.P.; Peserico, C.S.; da Silva, D.F.; Mezzaroba, P.V. Effect of stage duration on maximal heart rate and Post-Exercise blood lactate concentration during incremental treadmill tests. J. Sci. Med. Sport 2013, 16, 276–280. [Google Scholar] [CrossRef]
- Michalik, K.; Danek, N.; Zatoń, M. Assessment of the physical fitness of road cyclists in the step and ramp protocols of the incremental test. J. Sports Med. Phys. Fit. 2019, 59, 1285–1291. [Google Scholar] [CrossRef]
- Adami, A.; Sivieri, A.; Moia, C.; Perinim, R.; Ferrettim, G. Effects of step duration in incremental ramp protocols on peak power and maximal oxygen consumption. Eur. J. Appl. Physiol. 2013, 113, 2647–2653. [Google Scholar] [CrossRef]
- Zuniga, J.M.; Housh, T.J.; Camic, C.L.; Bergstrom, H.C.; Traylor, D.A.; Schmidt, R.J.; Johnson, G.O. Neuromuscular and metabolic comparisons between ramp and step incremental cycle ergometer tests. Muscle Nerve 2013, 47, 555–560. [Google Scholar] [CrossRef] [PubMed]
- Poole, D.C.; Jones, A.M. Measurement of the maximum oxygen uptake VO2max: VO2peak is no longer acceptable. J. Appl. Physiol. 2017, 122, 997–1002. [Google Scholar] [CrossRef] [PubMed]
- Yoon, B.-K.; Kravitz, L.; Robergs, R. VO2max, Protocol Duration, and the VO2 Plateau. Med. Sci. Sports Exerc. 2007, 39, 1186–1192. [Google Scholar] [CrossRef] [PubMed]
- Buchfuhrer, M.J.; Hansen, J.E.; Robinson, T.E.; Sue, D.Y.; Wasserman, K.; Whipp, B.J. Optimizing the exercise protocol for cardiopulmonary assessment. J. Appl. Physiol. 1983, 55, 1558–1564. [Google Scholar] [CrossRef] [PubMed]
- Lamberts, R.P.; Swart, J.; Capostagno, B.; Noakes, T.D.; Lambert, M.I. Heart rate recovery as a guide to monitor fatigue and predict changes in performance parameters. Scand. J. Med. Sci. Sports 2010, 20, 449–457. [Google Scholar] [CrossRef] [PubMed]
- Borresen, J.; Lambert, M.I. The quantification of training load, the training response and the effect on performance. Sports Med. 2009, 39, 779–795. [Google Scholar] [CrossRef]
- Peçanha, T.; Bartels, R.; Brito, L.C.; Paula-Ribeiro, M.; Oliveira, R.S.; Goldberger, J.J. Methods of assessment of the post-exercise cardiac autonomic recovery: A methodological review. Int. J. Cardiol. 2017, 227, 795–802. [Google Scholar] [CrossRef]
- Maddox, T.M.; Ross, C.; Ho, P.M.; Masoudi, F.A.; Magid, D.; Daugherty, S.L.; Peterson, P.; Rumsfeld, J.S. The prognostic importance of abnormal heart rate recovery and chronotropic response among exercise treadmill test patients. Am. Heart J. 2008, 156, 736–744. [Google Scholar] [CrossRef]
- Tanaka, H.; Monahan, K.D.; Seals, D.R. Age-Predicted maximal heart rate revisited. J. Am. Coll. Cardiol. 2001, 37, 153–156. [Google Scholar] [CrossRef]
- Bentley, D.J.; McNaughton, L.R. Comparison of Wpeak, VO2peak and the ventilation threshold from two different incremental exercise tests: Relationship to endurance performance. J. Sci. Med. Sport 2003, 6, 422–435. [Google Scholar] [CrossRef]
- Jamnick, N.A.; Botella, J.; Pyne, D.B.; Bishop, D.J. Manipulating graded exercise test variables affects the validity of the lactate threshold and VO2peak. PLoS ONE 2018, 13, e0199794. [Google Scholar] [CrossRef] [PubMed]
- Buchheit, M.; Laursen, P.B. High-Intensity interval training, solutions to the programming puzzle. Sports Med. 2013, 43, 927–954. [Google Scholar] [CrossRef] [PubMed]
- Mauger, A.R.; Sculthorpe, N. A new VO2max protocol allowing self-pacing in maximal incremental exercise. Br. J. Sports Med. 2012, 46, 59–63. [Google Scholar] [CrossRef] [PubMed]
- Roffey, D.M.; Byrne, N.M.; Hills, A.P. Effect of stage duration on physiological variables commonly used to determine maximum aerobic performance during cycle ergometry. J. Sports Sci. 2007, 25, 1325–1335. [Google Scholar] [CrossRef] [PubMed]
- Da Cunha, F.A.; Farinatti, P.D.T.V.; Midgley, A.W. Methodological and practical application issues in exercise prescription using the heart rate reserve and oxygen uptake reserve methods. J. Sci. Med. Sport 2011, 14, 46–57. [Google Scholar] [CrossRef] [PubMed]
- Bishop, D.; Jenkins, D.G.; Mackinnon, L.T. The effect of stage duration on the calculation of peak VO2 during cycle ergometry. J. Sci. Med. Sport 1998, 1, 171–178. [Google Scholar] [CrossRef]
- Midgley, A.W.; Carroll, S.; Marchant, D.; McNaughton, L.R.; Siegler, J. Evaluation of true maximal oxygen uptake based on a novel set of standardized criteria. Appl. Physiol. Nutr. Metab. 2009, 34, 115–123. [Google Scholar] [CrossRef]
- Coyle, E.F. Cardiovascular drift during prolonged exercise and the effects of dehydration. Int. J. Sports Med. 1998, 19, S121–S124. [Google Scholar] [CrossRef]
- Boudet, G.; Albuisson, E.; Bedu, M.; Chamoux, A. Heart rate running speed relationships during exhaustive bouts in the laboratory. Can. J. Appl. Physiol. 2004, 29, 731–742. [Google Scholar] [CrossRef]
- Otsuki, T.; Maeda, S.; Iemitsu, M.; Saito, Y.; Tanimura, Y.; Sugawara, J.; Ajisaka, R.; Miyauchi, T. Postexercise heart rate recovery accelerates in Strength-Trained athletes. Med. Sci. Sports Exerc. 2007, 39, 365–370. [Google Scholar] [CrossRef]
- Antelmi, I.; Chuang, EY.; Grupi, C.J.; Latorre, M.D.; Mansur, A.J. Heart rate recovery after treadmill electrocardiographic exercise stress test and 24-Hour heart rate variability in healthy individuals. Arq. Bras. Cardiol. 2008, 90, 380–385. [Google Scholar] [PubMed]
- Maeder, M.T.; Ammann, P.; Rickli, H.; Brunner-La Rocca, H.P. Impact of the exercise mode on heart rate recovery after maximal exercise. Eur. J. Appl. Physiol. 2009, 105, 247–255. [Google Scholar] [CrossRef] [PubMed]
- Ostojic, S.M.; Markovic, G.; Calleja-Gonzalez, J.; Jakovljevic, D.G.; Vucetic, V.; Stojanovic, M.D. Ultra Short-Term heart rate recovery after maximal exercise in continuous versus intermittent endurance athletes. Eur. J. Appl. Physiol. 2010, 108, 1055–1059. [Google Scholar] [CrossRef] [PubMed]
- Daanen, H.A.; Lamberts, R.P.; Kallen, V.L.; Jin, A.; Van Meeteren, N.L. A systematic review on Heart-Rate recovery to monitor changes in training status in athletes. Int. J. Sports. Physiol. Perform. 2012, 7, 251–260. [Google Scholar] [CrossRef]
- Buchheit, M.; Chivot, A.; Parouty, J.; Mercier, D.; Al Haddad, H.; Laursen, P.B.; Ahmaidi, S. Monitoring endurance running performance using cardiac parasympathetic function. Eur. J. Appl. Physiol. 2010, 108, 1153–1167. [Google Scholar] [CrossRef]
- Buchheit, M.; Al Haddad, H.; Laursen, P.B.; Ahmaidi, S. Effect of body posture on postexercise parasympathetic reactivation in men. Exp. Physiol. 2009, 94, 795–804. [Google Scholar] [CrossRef]


| Variables | Value |
|---|---|
| Age (years) | 22.75 ± 2.88 |
| Body height (cm) | 181.90 ± 4.95 |
| BM (kg) | 79.73 ± 8.73 |
| %FM (%) | 17.65 ± 3.73 |
| Physical activity (h per week) | 9.13 ± 6.47 |
| Variables | 0.278 W·s−1 | 0.556 W·s−1 |
|---|---|---|
| Time (min:s) | 20:29 ± 2:36 | 11:47 ± 1:26 * |
| PPO (W) | 341.31 ± 43.33 | 393.00 ± 47.79 * |
| PPO (W·kg−1) | 4.33 ± 0.72 | 5.01 ± 0.81 * |
| Wtot (kJ) | 212.89 ± 54.88 | 140.96 ± 34.62 * |
| HRrest (bpm) | 87.62 ± 11.56 | 90.16 ± 13.96 |
| HRmax (bpm) | 196.05 ± 6.94 | 192.75 ± 6.84 * |
| HRR60 (bpm) | 27.10 ± 9.83 | 24.65 ± 6.88 |
| La− (mmol·L−1) | 13.05 ± 2.30 | 13.01 ± 2.45 |
| Power (W) | 0.278 W·s−1 | 0.556 W·s−1 |
|---|---|---|
| 50 (%) | 57.69 ± 6.76 | 59.05 ± 6.64 |
| 100 (%) | 63.85 ± 7.10 | 62.38 ± 6.69 |
| 150 (%) | 72.37 ± 7.39 | 70.06 ± 7.03 * |
| 200 (%) | 79.94 ± 8.58 | 77.34 ± 7.18 * |
| 250 (%) | 89.01 ± 5.73 | 84.65 ± 6.35 * |
© 2019 by the authors. Licensee MDPI, Basel, Switzerland. This article is an open access article distributed under the terms and conditions of the Creative Commons Attribution (CC BY) license (http://creativecommons.org/licenses/by/4.0/).
Share and Cite
Michalik, K.; Korta, K.; Danek, N.; Smolarek, M.; Zatoń, M. Influence of Intensity RAMP Incremental Test on Peak Power, Post-Exercise Blood Lactate, and Heart Rate Recovery in Males: Cross-Over Study. Int. J. Environ. Res. Public Health 2019, 16, 3934. https://doi.org/10.3390/ijerph16203934
Michalik K, Korta K, Danek N, Smolarek M, Zatoń M. Influence of Intensity RAMP Incremental Test on Peak Power, Post-Exercise Blood Lactate, and Heart Rate Recovery in Males: Cross-Over Study. International Journal of Environmental Research and Public Health. 2019; 16(20):3934. https://doi.org/10.3390/ijerph16203934
Chicago/Turabian StyleMichalik, Kamil, Kuba Korta, Natalia Danek, Marcin Smolarek, and Marek Zatoń. 2019. "Influence of Intensity RAMP Incremental Test on Peak Power, Post-Exercise Blood Lactate, and Heart Rate Recovery in Males: Cross-Over Study" International Journal of Environmental Research and Public Health 16, no. 20: 3934. https://doi.org/10.3390/ijerph16203934
APA StyleMichalik, K., Korta, K., Danek, N., Smolarek, M., & Zatoń, M. (2019). Influence of Intensity RAMP Incremental Test on Peak Power, Post-Exercise Blood Lactate, and Heart Rate Recovery in Males: Cross-Over Study. International Journal of Environmental Research and Public Health, 16(20), 3934. https://doi.org/10.3390/ijerph16203934

