Effects of Cardiorespiratory Exercise on Cognition in Older Women Exposed to Air Pollution
Abstract
1. Introduction
2. Materials and Methods
3. Results
4. Discussion
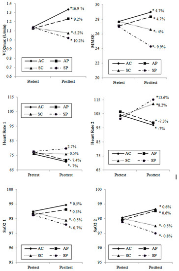
4.1. Cognitive State Variables
4.2. Physiological Variables
5. Conclusions and Perspectives
Author Contributions
Funding
Acknowledgments
Conflicts of Interest
References
- Nyqvist, F.; Forsman, A.K.; Giuntoli, G.; Cattan, M. Social capital as a resource for mental well-being in older people: A systematic review. Aging Ment. Health 2013, 17, 394–410. [Google Scholar] [CrossRef] [PubMed]
- Dales, R.E.; Cakmak, S.; Vidal, C.B. Air pollution and hospitalization for headache in Chile. Am. J. Epidemiol. 2009, 170, 1057–1066. [Google Scholar] [CrossRef]
- Bonzini, M.; Tripodi, A.; Artoni, A.; Tarantini, L.; Marinelli, B.; Bertazzi, P.A.; Apostoli, P.; Baccarelli, A. Effects of inhalable particulate matter on blood coagulation. J. Thromb. Haemost. 2010, 8, 662–668. [Google Scholar] [CrossRef] [PubMed]
- Jianghong, L.; Lewis, G. Environmental toxicity and poor cognitive outcomes in children and adults. J. Environ. Health 2014, 76, 130–138. [Google Scholar]
- Ailshire, J.A.; Crimmins, E.M. Fine particulate matter air pollution and cognitive function among older us adults. Am. J. Epidemiol. 2014, 180, 359–366. [Google Scholar] [CrossRef] [PubMed]
- Wellenius, G.A.; Boyle, L.D.; Coull, B.A.; Milberg, W.P.; Gryparis, A.; Schwartz, J.; Mittleman, M.A.; Lipsitz, L.A. Residential proximity to nearest major roadway and cognitive function in community-dwelling seniors: Results from the MOBILIZE Boston Study. J. Am. Geriatr. Soc. 2012, 60, 2075–2080. [Google Scholar] [CrossRef] [PubMed]
- Weuve, J.; Puett, R.C.; Schwartz, J.; Yanosky, J.D.; Laden, F.; Grodstein, F. Exposure to particulate air pollution and cognitive decline in older women. Arch. Intern. Med. 2012, 172, 219–227. [Google Scholar] [CrossRef] [PubMed]
- Tzivian, L.; Winkler, A.; Dlugaj, M.; Schikowski, T.; Vossoughi, M.; Fuks, K.; Weinrnayr, G.; Hoffmann, B. Effect of long-term outdoor air pollution and noise on cognitive and psychological functions in adults. Int. J. Hyg. Environ. Health 2015, 218, 1–11. [Google Scholar] [CrossRef]
- Bos, I.; De Boever, P.; Panis, L.I.; Meeusen, R. Physical activity, air pollution and the brain. Sports Med. 2014, 44, 1505–1518. [Google Scholar] [CrossRef] [PubMed]
- Jung Eun, Y.; Suk Min, L.; Hee Sung, L.; Tae Hoon, K.; Ji Kye Ng, J.; Mee Hyang, M. The Effects of cognitive activity combined with active extremity exercise on balance, walking activity, memory level and quality of life of an older adult sample with dementia. J. Phys. Ther. Sci. 2013, 25, 1601–1604. [Google Scholar]
- Vidoni, E.D.; Johnson, D.K.; Morris, J.K.; Van Sciver, A.; Greer, C.S.; Billinger, S.A.; Donnelly, J.E.; Burns, J.M. Dose-Response of aerobic exercise on cognition: a community-based, pilot randomized controlled trial. PLoS ONE 2015, 10, e0131647. [Google Scholar] [CrossRef] [PubMed]
- Erickson, K.I.; Kramer, A.F. Aerobic exercise effects on cognitive and neural plasticity in older adults. Br. J. Sports Med. 2009, 43, 22–24. [Google Scholar] [CrossRef] [PubMed]
- Stroth, S.; Hille, K.; Spitzer, M.; Reinhardt, R. Aerobic endurance exercise benefits memory and affect in young adults. Neuropsychol. Rehabil. 2009, 19, 223–243. [Google Scholar] [CrossRef] [PubMed]
- Bos, I.; De Boever, P.; Vanparijs, J.; Pattyn, N.; Panis, L.I.; Meeusen, R. Subclinical effects of aerobic training in urban environment. Med. Sci. Sports Exerc. 2013, 45, 439–447. [Google Scholar] [CrossRef] [PubMed]
- Giles, L.V.; Koehle, M.S. The health effects of exercising in air pollution. Sports Med. 2014, 44, 223–249. [Google Scholar] [CrossRef]
- Vidoni, E.D.; Gayed, M.R.; Honea, R.A.; Savage, C.R.; Hobbs, D.; Burns, J.M. Alzheimer disease alters the relationship of cardiorespiratory fitness with brain activity during the stroop task. Phys. Ther. 2013, 93, 993–1002. [Google Scholar] [CrossRef]
- Longo, B.M. Adverse health effects associated with increased activity at kīlauea volcano: A repeated population-based survey. ISRN Public Health 2013, 2013, 475962. [Google Scholar] [CrossRef]
- Folstein, M.F.; Folstein, S.E.; McHugh, P.R. Mini-mental State—Practical method for grading cognitive state of patients for the clinician. J. Psychiatr. Res. 1975, 12, 189–198. [Google Scholar] [CrossRef]
- Quiroga, P.; Albala, C.; Klaasen, G. Validation of a screening test for age associated cognitive impairment, in Chile. Rev. Med. Chil. 2004, 132, 467–478. [Google Scholar]
- Lourenço, R.A.; Veras, R.P. Mini-Mental state examination: Psychometric characteristics in elderly outpatients. Rev. Saude Publica 2006, 40, 712–719. [Google Scholar] [CrossRef]
- Rikli, R.E.; Jones, C.J. The reliability and validity of a 6-minute walk test as a measure of physical endurance in older adults. J. Aging Phys. Act. 1998, 6, 363–375. [Google Scholar] [CrossRef]
- Laskin, J.J.; Bundy, S.; Marron, H.; Moore, H.; Swanson, M.; Blair, M.; Humphrey, R. Using a treadmill for the 6-minute walk test: Reliability and validity. J. Cardiopulm. Rehabil. Prev. 2007, 27, 407–410. [Google Scholar] [CrossRef] [PubMed]
- Sebbane, M.; Claret, P.-G.; Mercier, G.; Lefebvre, S.; Thery, R.; Dumont, R.; Maille, M.; Richard, J.-P.; Eledjam, J.-J.; de La Coussaye, J.-E. Emergency department management of suspected carbon monoxide poisoning: role of pulse co-oximetry. Respir. Care 2013, 58, 1614–1620. [Google Scholar] [CrossRef]
- World Medical Association (WMA). Declaration of Helsinki—Ethical Principles for Medical Research Involving Human Subjects. Available online: http://www.wma.net/en/30publications/10policies/b3/index.html (accessed on 1 August 2018).
- Cortés, A.R.; Villarreal, E.; Galicia, L.; Martínez, L.; Vargas, E.R. Evaluación geriátrica integral del adulto mayor. Rev. Med. Chil. 2011, 139, 725–731. [Google Scholar] [CrossRef]
- Solomon, C.; Poole, J.; Jarup, L.; Palmer, K.; Coggon, D. Cardio-respiratory morbidity and long-term exposure to particulate air pollution. Int. J. Environ. Health Res. 2003, 13, 327–335. [Google Scholar] [CrossRef] [PubMed]
- Blanco-Becerra, L.C.; Miranda-Soberanis, V.; Hernández-Cadena, L.; Barraza-Villarreal, A.; Junger, W.; Hurtado-Díaz, M.; Romieu, I. Effect of particulate matter less than 10µm (PM10) on mortality in Bogota, Colombia: A time-series analysis, 1998–2006. Salud Publica Mex. 2014, 56, 363–370. [Google Scholar] [CrossRef] [PubMed]
- Guxens, M.; Sunyer, J. A review of epidemiological studies on neuropsychological effects of air pollution. Swiss Med. Wkly. 2012, 141. [Google Scholar] [CrossRef]
- Power, M.C.; Weisskopf, M.G.; Alexeeff, S.E.; Coull, B.A.; Spiro, A., III; Schwartz, J. Traffic-Related air pollution and cognitive function in a cohort of older men. Environ. Health Perspect. 2011, 119, 682–687. [Google Scholar] [CrossRef]
- Wendell, C.R.; Gunstad, J.; Waldstein, S.R.; Wright, J.G.; Ferrucci, L.; Zonderman, A.B. Cardiorespiratory fitness and accelerated cognitive decline with aging. J. Gerontol. A Biol. Sci. Med. Sci. 2014, 69, 455–462. [Google Scholar] [CrossRef] [PubMed]
- Ihara, M.; Okamoto, Y.; Hase, Y.; Takahashi, R. Association of physical activity with the visuospatial/executive functions of the montreal cognitive assessment in patients with vascular cognitive impairment. J. Stroke Cerebrovasc. Dis. 2013, 22, E146–E151. [Google Scholar] [CrossRef]
- Sefa, L.; Neslihan, L. An analysis of the effects of the physical activities on the cognitive functions of the old people with mild cognitive impairment. Eur. Psychiatry 2015, 30, 1432. [Google Scholar] [CrossRef]
- Betik, A.C.; Hepple, R.T. Determinants of VO(2 max) decline with aging: An integrated perspective. Appl. Physiol. Nutr. Metab. 2008, 33, 130–140. [Google Scholar] [CrossRef] [PubMed]
- Layec, G.; Haseler, L.J.; Richardson, R.S. Reduced muscle oxidative capacity is independent of O-2 availability in elderly people. Age 2013, 35, 1183–1192. [Google Scholar] [CrossRef]
- Steinvil, A.; Cohen, M.; Shapira, I.; Berliner, S.; Rogowski, O.; Fireman, E.; Kordova-Biezuner, L. Environmental air pollution has decremental effects on pulmonary function test parameters up to one week after exposure. Am. J. Med. Sci. 2009, 338, 273–279. [Google Scholar] [CrossRef]
- Martins, R.A.; Verissimo, M.T.; Coelho e Silva, M.J.; Cumming, S.P.; Teixeira, A.M. Effects of aerobic and strength-based training on metabolic health indicators in older adults. Lipids Health Dis. 2010, 9, 76. [Google Scholar] [CrossRef] [PubMed]
- Simar, D.; Malatesta, D.; Dauvilliers, Y.; Prefaut, C.; Varray, A.; Caillaud, C. Aerobic and functional capacities in a selected active population of European octogenarians. Int. J. Sports Med. 2005, 26, 128–133. [Google Scholar] [CrossRef] [PubMed]
- Bind, M.A.; Peters, A.; Koutrakis, P.; Coull, B.; Vokonas, P.; Schwartz, J. Quantile regression analysis of the distributional effects of air pollution on blood pressure, heart rate variability, blood lipids, and biomarkers of inflammation in elderly American men: The Normative Aging Study. Environ. Health Perspect. 2016, 124, 1189–1198. [Google Scholar] [CrossRef]
- Ward-Caviness, C.K.; Nwanaji-Enwerem, J.C.; Wolf, K.; Wahl, S.; Colicino, E.; Trevisi, L.; Kloog, I.; Just, A.C.; Vokonas, P.; Cyrys, J.; et al. Long-term exposure to air pollution is associated with biological aging. Oncotarget 2016, 7, 74510–74525. [Google Scholar] [CrossRef] [PubMed]
- Kargarfard, M.; Poursafa, P.; Rezanejad, S.; Mousavinasab, F. Effects of exercise in polluted air on the aerobic power, serum lactate level and cell blood count of active individuals. Int. J. Prev. Med. 2011, 2, 145–150. [Google Scholar]
- Chung, S.-C.; Lim, D.-W. Changes in memory performance, heart rate, and blood oxygen saturation due to 30% oxygen administration. Int. J. Neurosci. 2008, 118, 593–606. [Google Scholar] [CrossRef]
- Choi, M.-H.; Kim, H.-J.; Kim, J.-H.; Kim, H.-S.; Choi, J.-S.; Yi, J.-H.; Tack, G.-R.; Chung, Y.-S.; Son, I.; Chung, S.-C. Correlation between cognitive ability measured by response time of 1-back task and changes of SpO2 by supplying three different levels of oxygen in the elderly. Geriatr. Gerontol. Int. 2013, 13, 384–387. [Google Scholar] [CrossRef]
- Chung, S.-C.; Iwaki, S.; Tack, G.-R.; Yi, J.-H.; You, J.-H.; Kwon, J.-H. Effect of 30% oxygen administration on verbal cognitive performance, blood oxygen saturation and heart rate. Appl. Psychophysiol. Biofeedback 2006, 31, 281–292. [Google Scholar] [CrossRef]
- Moss, M.; Franks, M.; Briggs, P.; Kennedy, D.; Scholey, A. Compromised arterial oxygen saturation in elderly asthma sufferers results in selective cognitive impairment. J. Clin. Exp. Neuropsychol. 2005, 27, 139–150. [Google Scholar] [CrossRef] [PubMed]
- Brook, R.D.; Bard, R.L.; Morishita, M.; Dvonch, T.; Wang, L.; Yang, H.-y.; Spino, C.; Mukherjee, B.; Kaplan, M.J.; Yalavarthi, S.; et al. Hemodynamic, autonomic, and vascular effects of exposure to coarse particulate matter air pollution from a rural location. Environ. Health Perspect. 2014, 122, 624–630. [Google Scholar] [CrossRef] [PubMed]
- Lin, L.Y.; Lin, C.Y.; Lin, Y.C.; Chuang, K.J. The effects of indoor particles on blood pressure and heart rate among young adults in Taipei, Taiwan. Indoor Air 2009, 19, 482–488. [Google Scholar] [CrossRef] [PubMed]
- Ibald-Mulli, A.; Timonen, K.L.; Peters, A.; Heinrich, J.; Wolke, G.; Lanki, T.; Buzorius, G.; Kreyling, W.G.; de Hartog, J.; Hoek, G.; et al. Effects of particulate air pollution on blood pressure and heart rate in subjects with cardiovascular disease: A multicenter approach. Environ. Health Perspect. 2004, 112, 369–377. [Google Scholar] [CrossRef] [PubMed]
- Cakmak, S.; Kauri, L.; Shutt, R.; Liu, L.; Green, M.S.; Mulholland, M.; Stieb, D.; Dales, R. The association between ambient air quality and cardiac rate and rhythm in ambulatory subjects. Environ. Int. 2014, 73, 365–371. [Google Scholar] [CrossRef]
- Bartell, S.M.; Longhurst, J.; Tjoa, T.; Sioutas, C.; Delfino, R.J. Particulate air pollution, ambulatory heart rate variability, and cardiac arrhythmia in retirement community residents with coronary artery disease. Environ. Health Perspect. 2013, 121, 1135–1141. [Google Scholar] [CrossRef]


| Cycle | Training Protocol | Training Intensity | |||||||||||
|---|---|---|---|---|---|---|---|---|---|---|---|---|---|
| Exercise Time (minute) (VO2max (%)) | Metabolic Equivalents (METs) | Speed (km/h) | Caloric Expenditure (kcal/minute) | ||||||||||
| Cycle 1 | 10 (40) | 5 (50) | 10 (40) | 5 (50) | Rest 5 minute | 5 (40) | 10 (50) | 5 (40) | 10 (50) | 1.9–2.4 | 2–3 | 2.3–2.9 | |
| Cycle 2 | 10 (40) | 5 (50) | 10 (40) | 5 (50) | Rest 5 minute | 5 (40) | 10 (50) | 5 (40) | 10 (50) | 2.4–2.9 | 3–4 | 2.9–3.5 | |
| Cycle 3 | 10 (60) | 5 (70) | 10 (60) | 5 (70) | Rest 5 minute | 5 (60) | 10 (70) | 5 (60) | 10 (70) | 3.4–3.6 | 4–5 | 3.5–4 | |
| Cycle 4 | 10 (70) | 5 (75) | 10 (70) | 5 (75) | Rest 5 minute | 5 (70) | 10 (75) | 5 (70) | 10 (75) | 3.4–3.6 | 5–5.5 | 4–4.3 | |
| Reference | PM10 µg/m3 | PM2.5 µg/m3 | NO2 µg/m3 | O3 µg/m3 | SO2 µg/m3 |
|---|---|---|---|---|---|
| Pudahuel | 63.8 | 28.0 | 38.9 | * 112 | NI |
| Viña del Mar | 34.3 | 12.8 | NI | NI | NI |
| Chile | ** 50 | ** 20 | ** 100 | * 120 | 80/24 h |
| WHO | ** 20 | ** 10 | ** 40 | * 100 | 20/24 h |
| Active Clean (n = 45) | Active Pollution (n = 47) | Sedentary Clean (n = 45) | Sedentary Pollution (n = 44) | Intergroup Comparisions § | |||||||||||
|---|---|---|---|---|---|---|---|---|---|---|---|---|---|---|---|
| M ± SD | CI (95%) | M ± SD | CI (95%) | M ± SD | CI (95%) | M ± SD | CI (95%) | F | p-value | Partial Eta 2 | |||||
| VO2max (a) | 1.14 ± 0.1 | 1.12–1.16 | 1.13 ± 0.1 | 1.11–1.15 | 1.13 ± 0.06 | 1.12–1.15 | 1.14 ± 0.07 | 1.12–1.16 | 0.447 | 0.720 | 0.01 | ||||
| HRPre-1 (a) | 76.1 ± 1.9 | 74.5–77.7 | 77.5 ± 4.9 | 76–79.1 | 76.3 ± 3.4 | 74.7–77.9 | 77.7 ± 8.9 | 76.1–79.3 | 1.081 | 0.358 | 0.02 | ||||
| HRPre-2 (a) | 104.2 ± 8.2 | 101.3–107.1 | 106.5 ± 8.9 | 103.7–109.4 | 103.6 ± 10.7 | 100.7–106.4 | 101.5 ± 11.1 | 98.6–104.4 | 2.081 | 0.104 | 0.03 | ||||
| SaO2Pre-1 (a) | 98.5 ± 0.5 | 98.3–98.7 | 98.3 ± 0.6 | 98.1–98.4 | 98.4 ± 0.5 | 98.2–98.6 | 98.3 ± 0.8 | 98.1–98.4 | 1.595 | 0.192 | 0.03 | ||||
| SaO2Pre-2 (a) | 98.1 ± 0.5 | 97.8–98.3 | 97.9 ± 0.8 | 97.7–98.1 | 98.1 ± 0.7 | 97.8–98.2 | 97.8 ± 0.8 | 97.6–97.9 | 1.545 | 0.204 | 0.03 | ||||
| Time Orientation (b) | 4.87 ± 0.34 | 4.78–4.96 | 4.85 ± 0.36 | 4.76–4.94 | 5.0 ± 0.0 | 4.91–5.09 | 4.86 ± 0.35 | 4.77–4.95 | 2.41 | 0.07 | 0.04 | ||||
| Spatial Orientation (b) | 4.91 ± 0.36 | 4.81–5.02 | 4.91 ± 0.35 | 4.81–5.02 | 4.98 ± 0.15 | 4.87–5.08 | 4.82 ± 0.50 | 4.71–4.93 | 1.49 | 0.22 | 0.02 | ||||
| Registration (b) | 2.96 ± 0.21 | 2.89–3.02 | 2.98 ± 0.15 | 2.92–3.04 | 2.98 ± 0.15 | 2.92–3.04 | 2.95 ± 0.30 | 2.89–3.02 | 0.19 | 0.91 | 0.00 | ||||
| Calculation (b) | 4.04 ± 1.26 | 3.66–4.43 | 3.74 ± 1.48 | 3.37–4.12 | 3.89 ± 1.15 | 3.50–4.28 | 3.77 ± 1.34 | 3.38–4.16 | 0.49 | 0.69 | 0.01 | ||||
| Recall (b) | 2.76 ± 0.48 | 2.60–2.91 | 2.66 ± 0.56 | 2.51–2.81 | 2.73 ± 0.45 | 2.58–2.89 | 2.61 ± 0.58 | 2.46–2.77 | 0.71 | 0.55 | 0.01 | ||||
| Language (b) | 8.16 ± 0.85 | 7.88–8.43 | 8.00 ± 0.93 | 7.73–8.27 | 8.13 ± 1.01 | 7.86–8.41 | 7.95 ± 0.91 | 7.68–8.23 | 0.51 | 0.68 | 0.01 | ||||
| MMSE (b) | 27.7 ± 1.82 | 27.1–28.3 | 27.1 ± 2.19 | 26.5–27.8 | 27.7 ± 2.0 | 27.1–28.3 | 26.98 ± 2.4 | 26.3–27.6 | 1.41 | 0.24 | 0.02 | ||||
| Active Clean (n = 45) | Active Pollution (n = 47) | Sedentary Clean (n = 45) | Sedentary Pollution (n = 44) | Intergroup Comparisions § | |||||||||||
|---|---|---|---|---|---|---|---|---|---|---|---|---|---|---|---|
| M ± SD | CI (95%) | M ± SD | CI (95%) | M ± SD | CI (95%) | M ± SD | CI (95%) | F | p-value | Partial Eta 2 | |||||
| VO2max (a) | 1.34 ± 0.0 abc | (1.33–1.35) | 1.23 ± 0.1 ade | (1.21–1.25) | 1.08 ± 0.1 bdf | (1.05–1.10) | 1.02 ± 0.1 cef | (0.99–1.05) | 160.1 | 0.000 | 0.73 | ||||
| HRPost-1 (a) | 70.8 ± 5.8 ab | (69.05–72.51) | 71.8 ± 7.8 cd | (69.5–74.1) | 75.9 ± 5.1 ace | (74.4–77.4) | 79.8 ± 7.1 bde | (77.6–81.9) | 17.6 | 0.000 | 0.23 | ||||
| HRPost-2 (a) | 97.0 ± 3.1 ab | (96.02–97.89) | 98.7 ± 5.3 cd | (97.2–100.3) | 112.0 ± 9.4 ac | (109.2–114.9) | 115.3 ± 8.4 bd | (112.8–117.9) | 79.4 | 0.000 | 0.57 | ||||
| SaO2Post-1 (a) | 98.9 ± 0.3 abc | (98.86–99.01) | 98.6 ± 0.6 ade | (98.4–98.8) | 97.9 ± 1 bd | (97.6–98.2) | 97.6 ± 0.9 ce | (97.3–97.9) | 31.8 | 0.000 | 0.35 | ||||
| SaO2Post-2 (a) | 98.6 ± 0.5 ab | (98.50–98.79) | 98.5 ± 0.5 cd | (98.4–98.7) | 97.5 ± 1.3 ac | (97.1–97.9) | 97.0 ± 1.3 bd | (96.6–97.4) | 29.6 | 0.000 | 0.33 | ||||
| Time Orientation (b) | 4.96 ± 0.21 a | (4.76–5.15) | 4.83 ± 0.38 b | (4.64–5.02) | 4.80 ± 0.50 c | (4.61–4.99) | 4.18 ± 0.71 abc | (3.99–4.37) | 12.70 | 0.000 | 0.177 | ||||
| Spatial Orientation (b) | 5 ± 0.0 a | (4.87–5.13) | 5 ± 0.0 b | (4.88–5.12) | 4.84 ± 0.42 | (4.72–4.97) | 4.73 ± 0.44 ab | (4.60–4.86) | 4.27 | 0.006 | 0.068 | ||||
| Registration (b) | 2.97 ± 0.15 a | (2.87–3.08) | 2.98 ± 0.14 b | (2.88–3.08) | 2.76 ± 0.57 ab | (2.65–2.86) | 2.86 ± 0.36 | (2.76–2.97) | 4.28 | 0.006 | 0.068 | ||||
| Calculation (b) | 4.58 ± 0.81 ab | (4.23–4.93) | 4.17 ± 1.03 c | (3.83–4.51) | 3.84 ± 1.11 ad | (3.50–4.19) | 2.68 ± 1.37 bcd | (2.33–3.03) | 20.99 | 0.000 | 0.262 | ||||
| Recall (b) | 2.96 ± 0.21 ab | (2.80–3.11) | 2.89 ± 0.31 cd | (2.74–3.04) | 2.56 ± 0.69 ac | (2.40–2.71) | 2.59 ± 0.55 bd | (2.44–2.75) | 6.97 | 0.000 | 0.106 | ||||
| Language (b) | 8.53 ± 0.79 ab | (8.22–8.84) | 8.49 ± 0.59 cd | (8.19–8.79) | 7.80 ± 1.20 ac | (7.49–8.11) | 7.27 ± 1.16 bd | (6.96–7.58) | 14.81 | 0.000 | 0.201 | ||||
| MMSE (b) | 29 ± 1.3 ab | (28.3–29.6) | 28.4 ± 1.5 cd | (27.7–29) | 26.6 ± 2.1 ace | (25.9–27.2) | 24.32 ± 2.85 bde | (23.7–24.9) | 39.80 | 0.000 | 0.403 | ||||
© 2019 by the authors. Licensee MDPI, Basel, Switzerland. This article is an open access article distributed under the terms and conditions of the Creative Commons Attribution (CC BY) license (http://creativecommons.org/licenses/by/4.0/).
Share and Cite
Molina-Sotomayor, E.; González Orb, M.; Pradas de la Fuente, F.; Carozzi Figueroa, G.; Sánchez-Oliver, A.J.; González-Jurado, J.A. Effects of Cardiorespiratory Exercise on Cognition in Older Women Exposed to Air Pollution. Int. J. Environ. Res. Public Health 2019, 16, 245. https://doi.org/10.3390/ijerph16020245
Molina-Sotomayor E, González Orb M, Pradas de la Fuente F, Carozzi Figueroa G, Sánchez-Oliver AJ, González-Jurado JA. Effects of Cardiorespiratory Exercise on Cognition in Older Women Exposed to Air Pollution. International Journal of Environmental Research and Public Health. 2019; 16(2):245. https://doi.org/10.3390/ijerph16020245
Chicago/Turabian StyleMolina-Sotomayor, Edgardo, Marcelo González Orb, Francisco Pradas de la Fuente, Giovanni Carozzi Figueroa, Antonio Jesús Sánchez-Oliver, and José Antonio González-Jurado. 2019. "Effects of Cardiorespiratory Exercise on Cognition in Older Women Exposed to Air Pollution" International Journal of Environmental Research and Public Health 16, no. 2: 245. https://doi.org/10.3390/ijerph16020245
APA StyleMolina-Sotomayor, E., González Orb, M., Pradas de la Fuente, F., Carozzi Figueroa, G., Sánchez-Oliver, A. J., & González-Jurado, J. A. (2019). Effects of Cardiorespiratory Exercise on Cognition in Older Women Exposed to Air Pollution. International Journal of Environmental Research and Public Health, 16(2), 245. https://doi.org/10.3390/ijerph16020245

